Információk az előrejelzési versenyhez
Versenyinformációk
A VERSENYSZABÁLYZATÚj előrejelzés elküldése az előrejelzési versenybe
A legutóbbi forduló eredménye
A verseny összesített állása
A 3 kieső fordulót nem tartalmazó összesített lista
A synop-kódok értelmezéséhez egy kis segítség
Szélirány-meghatározáshoz segítség
Stelvio segítségével megjelenített összesített ranglista
Stelvio segítségével megjelenített örökranglista
Stelvio segítségével megjelenített dicsőséglista
A meteorológiai állomások elhelyezkedése
A meteorológiai állomások beosztása
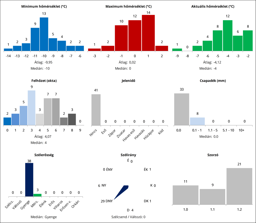
Összfelhőzet: 7 okta
Jelenidő: Nincs.
T min: 1,2°C
T akt: 1,7°C
Szélirány: 350° (északi)
Erőssége: 6 m/s (mérsékelt)
Jelenidő: Nincs.
T min: 1,2°C
T akt: 1,7°C
Szélirány: 350° (északi)
Erőssége: 6 m/s (mérsékelt)
Úgy néz ki, a jelenidő késett, ez van, engem jobban fog idegesíteni ha 1,4°C lesz a min., már megint a tizedes, meg a többiek
7:03-kor meg már esőt észleltek. Alighanem befejezem a jelenídő előrejelzését. Nincs értelme ilyen szabályok mellett.
Az automata méréseiből meg mérsékelt északi szélre és 1 fokos Tmin-re lehet következtetni.
Közben Imivel összeköttük a
bajszot, mákostészta, vagy dióstészta. Legutóbb egy recöptel a tejfölös- vaníliás palacsintáról, ledöndöltem magamat, meg a nejemet.
Hajrá hózápor, a +5 pontért!
bajszot, mákostészta, vagy dióstészta. Legutóbb egy recöptel a tejfölös- vaníliás palacsintáról, ledöndöltem magamat, meg a nejemet.
Hajrá hózápor, a +5 pontért!
Közben letelt az 1.2-es határidő, de most kivételesen sikerült nem elfelejteni és még fent is lenni időben
Úgy tudom Pitom egy raklapnyi bálamadzaggal jól körülvett MelegLevegőt hoz haza transver Bp.-re, megosztva az ország területére még ha +0,19 lenne az átlag. 
Februári beosztás valamikor csak a hét vége felé lesz, ha zseeggee beosztásos állomást szeretne választani.
Pitomkának haza kell érnie a trópusokról visszarázódni ebbe a gyönyörű évszakba és utána tudom zaklatni ilyenekkel.
Pitomkának haza kell érnie a trópusokról visszarázódni ebbe a gyönyörű évszakba és utána tudom zaklatni ilyenekkel.
Igen, pontozok is.
A fordulót gulyasme és honza nyerte. Gratulálok neki és mindenkinek, aki elégedett a teljesítményével!
Forduló: Link
Összetett: Link
A következő kiró zseegee lesz. Szeretnénk kérni egy helyszínt és egy időpontot.
Választható helyszínek:
Budapest-Újpest [metnet-es észlelő]
Csíkszereda (Miercurea Ciuc) [15170]
Debrecen [12882]
Kecskemét [12970]
Kékestető [12851]
Nagykanizsa [12925]
Pécs-Egyetem [38528]
Siófok [metnet-es észlelő]
Sopron-Kurucdomb [nincs kódja]
Meteorológiai állomások beosztása: Link
A fordulót gulyasme és honza nyerte. Gratulálok neki és mindenkinek, aki elégedett a teljesítményével!
Forduló: Link
Összetett: Link
A következő kiró zseegee lesz. Szeretnénk kérni egy helyszínt és egy időpontot.
Választható helyszínek:
Budapest-Újpest [metnet-es észlelő]
Csíkszereda (Miercurea Ciuc) [15170]
Debrecen [12882]
Kecskemét [12970]
Kékestető [12851]
Nagykanizsa [12925]
Pécs-Egyetem [38528]
Siófok [metnet-es észlelő]
Sopron-Kurucdomb [nincs kódja]
Meteorológiai állomások beosztása: Link
Köszi!
A pontozással én megvárnám a reggelt, az esély elhanyagolható, de mégsem 0.
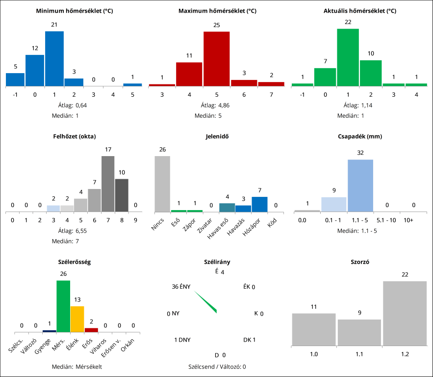
Tmin: -12
Tmax: 0
Takt: -6
Felhőzet: 7 okta
Jelenidő: nincs
Szél: gyenge déli
A pontozással én megvárnám a reggelt, az esély elhanyagolható, de mégsem 0.
Tmin: -12
Tmax: 0
Takt: -6
Felhőzet: 7 okta
Jelenidő: nincs
Szél: gyenge déli
Úgy látom kettőnk közt az arany középút győzik, a felhőzet kivételével. 
Azt kevesen találták el, bár télen erősen lutri ennek az eltalálása.
Azt kevesen találták el, bár télen erősen lutri ennek az eltalálása.
Egyetlen 10 perces mérés erejéig
Úgyhogy 99,9999 %, hogy 0 fok a max.
Ha jól tudom, a versenyben arra törekszünk, hogy minden fordulóban észlelővel ellátott állomást válasszunk, azaz ne távészlelős állomást.
Ezért készül mindig az állomások havi beosztása, mely szerint Békéscsabán ma 24 órás észlelés van:
Link
A legalább -0,5°C könnyen összejöhet, talán a +0,6°C is, de ahhoz még rendesen erölkődnie kell...
Ezért készül mindig az állomások havi beosztása, mely szerint Békéscsabán ma 24 órás észlelés van:
Link
A legalább -0,5°C könnyen összejöhet, talán a +0,6°C is, de ahhoz még rendesen erölkődnie kell...
Az előző hsz.-emben lemaradt a " honnét tudja".
Hát pótolom, az a metész észlelői felületen un. távészlelés kategória, tehát a telepített műszerek adatait közli le egy erre a területre beosztott (OMSZ) meteorlógus, jelen esetben Mojdisz István.
Tehát ha lehet zárójelben () irjuk be az észlelés eredetét, a további viták elkerülése érdekében.
Pl:
[table]2022. január 25. 11:52 5600 Békéscsaba [mojdisz istván] [3] (OMSZ-ÉSZ) -2.4 °C
erősen felhős
Látástávolság
> 10 km
Összfelhőzet: 7 okta. Felhőzet: 7 okta Sc (1500-2000 m)[table]
Amúgy jó lenne elcsípni azt a +1 fokot maxnak. Haladunk.. felfelé
Hát pótolom, az a metész észlelői felületen un. távészlelés kategória, tehát a telepített műszerek adatait közli le egy erre a területre beosztott (OMSZ) meteorlógus, jelen esetben Mojdisz István.
Tehát ha lehet zárójelben () irjuk be az észlelés eredetét, a további viták elkerülése érdekében.
Pl:
[table]2022. január 25. 11:52 5600 Békéscsaba [mojdisz istván] [3] (OMSZ-ÉSZ) -2.4 °C
erősen felhős
Látástávolság
> 10 km
Összfelhőzet: 7 okta. Felhőzet: 7 okta Sc (1500-2000 m)[table]
Amúgy jó lenne elcsípni azt a +1 fokot maxnak. Haladunk.. felfelé
Jobb híján 4 oktára lőttem be a kettö közé. Nem jött be.
A szél gyenge déli lett, 170°, 3 m/s
A szél gyenge déli lett, 170°, 3 m/s
Päros felé, ha negatív a szám, ha pozitív, mindegy.
Egy -5,5°C még nem kizárt....
Egy -5,5°C még nem kizárt....
Szintén. Elmerültem a Magas-Tátra csodálatos, havas tájában. Na ez van...
Elkészült az összefoglaló: Link
Én is most 1.1-es szorzóval vágtam neki a fordulónak, nagy dilemmázás után inkább a módosítás mellett döntöttem, remélem bejön a számításom.
Azért a felhőzetnél lesznek izgalmak.
Én is most 1.1-es szorzóval vágtam neki a fordulónak, nagy dilemmázás után inkább a módosítás mellett döntöttem, remélem bejön a számításom.
Azért a felhőzetnél lesznek izgalmak.

Na erről jól lemaradtam...
Gyerek felvételije volt a fókuszban hétvégén.
Plusz egy kieső forduló... Többieknek sok sikert!
Plusz egy kieső forduló... Többieknek sok sikert!
Hálás köszönet érte!
1x elfelejtve, 1x későn kelve, így marad az 1.0-s. Hátha valami nem látszott eddig
1x elfelejtve, 1x későn kelve, így marad az 1.0-s. Hátha valami nem látszott eddig
Kiesők nélküli összetett féltávnál:
1. MacBook 131,6
2. Gordonka 131,4
3. Pestimet 130,8
4. stelvio 129,2
5. Brighty 128,4
6. honza 128,1
7. Tullner_Job 126,9
8. coontac 125,4
9. Lesliecius 125,2
10. herbary 124,8
11. zseegee 124,1
12. met4ever 123,8
13. BKrisz 123,6
14. Zorro 123,5
15. Imi1995 122,8
16. Goldman 120,6
17. hófúvás 119,0
18. Perico 118,4
19. kahdra 116,8
20. vizipók 116,6
----------------------------------------
21. Télember 116,0
22. satya 115,7
23. Blizzard 114,9
deco05 114,9
25. Hidegcsepp95 114,2
26. Templar 113,6
27. Fecc 113,5
matyi06 113,5
29. szabóka 113,3
30. Phileas 110,4
31. Zivipötty 109,0
32. Kaszabubu 108,4
33. dabrony 107,8
34. jocika8627 106,8
35. KiZo 106,6
36. Lactarius 104,8
37. mikahock 103,8
38. mzs 103,4
39. Gurden 102,8
40. balintaj 102,2
41. paleopapa 99,3
Bakonyvár 99,3
43. Misimókus 97,2
44. gulyasme 86,7
Hibák természetesen előfordulhatnak, ne haragudjatok érte.
1. MacBook 131,6
2. Gordonka 131,4
3. Pestimet 130,8
4. stelvio 129,2
5. Brighty 128,4
6. honza 128,1
7. Tullner_Job 126,9
8. coontac 125,4
9. Lesliecius 125,2
10. herbary 124,8
11. zseegee 124,1
12. met4ever 123,8
13. BKrisz 123,6
14. Zorro 123,5
15. Imi1995 122,8
16. Goldman 120,6
17. hófúvás 119,0
18. Perico 118,4
19. kahdra 116,8
20. vizipók 116,6
----------------------------------------
21. Télember 116,0
22. satya 115,7
23. Blizzard 114,9
deco05 114,9
25. Hidegcsepp95 114,2
26. Templar 113,6
27. Fecc 113,5
matyi06 113,5
29. szabóka 113,3
30. Phileas 110,4
31. Zivipötty 109,0
32. Kaszabubu 108,4
33. dabrony 107,8
34. jocika8627 106,8
35. KiZo 106,6
36. Lactarius 104,8
37. mikahock 103,8
38. mzs 103,4
39. Gurden 102,8
40. balintaj 102,2
41. paleopapa 99,3
Bakonyvár 99,3
43. Misimókus 97,2
44. gulyasme 86,7
Hibák természetesen előfordulhatnak, ne haragudjatok érte.
Qlbász helyett én meg a csontfaragással bíbelődtem a vasárnapi zöldség-csontleves alapjaként, oszt 8.55-kor ültem ide. 
Egy hajnali 5-ös fejbe ramozott tippsort azért gyorsan beírtam.
Egy hajnali 5-ös fejbe ramozott tippsort azért gyorsan beírtam.
Na, a havas élvezetek miatt lekéstem a szorzóról, de most azt mondom, nem bánom. Végre esett 6-7 centi hó...
Coonti ugye kedd, akkor Belgium, vs. Békéscsaba.
Legyél má aznap észlelő, és adjad az adatokat, mint az induló train-tran Várárhelyről, óra 40-kor.
Legyél má aznap észlelő, és adjad az adatokat, mint az induló train-tran Várárhelyről, óra 40-kor.
Hopp, elúszott az 1,2-es szorzó...
...fogják mondani ezt néhányan holnap ilyenkor, ha nem figyelnek!
...fogják mondani ezt néhányan holnap ilyenkor, ha nem figyelnek!
Gratulálok Zseegee-nek a győztes tippsorhoz! 
Ezt a nyertes tippsort én is leadtam, apró különbség, hogy csak 1,0-val.
Ezt a nyertes tippsort én is leadtam, apró különbség, hogy csak 1,0-val.

