Információk az előrejelzési versenyhez
Versenyinformációk
A VERSENYSZABÁLYZATÚj előrejelzés elküldése az előrejelzési versenybe
A legutóbbi forduló eredménye
A verseny összesített állása
A 3 kieső fordulót nem tartalmazó összesített lista
A synop-kódok értelmezéséhez egy kis segítség
Szélirány-meghatározáshoz segítség
Stelvio segítségével megjelenített összesített ranglista
Stelvio segítségével megjelenített örökranglista
Stelvio segítségével megjelenített dicsőséglista
A meteorológiai állomások elhelyezkedése
A meteorológiai állomások beosztása
Összfelhőzet: 6 okta
Jelenidő: Nincs
T akt: 21,3°C
T min: 16,5°C
T max: 22,8°C
Szélirány: 200° (déli)
Erőssége: 2 m/s (gyenge)
Jelenidő: Nincs
T akt: 21,3°C
T min: 16,5°C
T max: 22,8°C
Szélirány: 200° (déli)
Erőssége: 2 m/s (gyenge)
Azóta a 10 percesekben megvolt a kerekített 23, majd le 17-re, s onnan ismét fel, legutobb 19 fok volt.
Lehet a 18 órás észlelés épp 2 góc közé fog esni, de azért még reménykedem egy harmatgyenge záporban akkorra....
Lehet a 18 órás észlelés épp 2 góc közé fog esni, de azért még reménykedem egy harmatgyenge záporban akkorra....
10,0 mm-t vártam csak
A 22 fok már megvan, köv. gócok elött még tovább mehet fel kicsit....
A 22 fok már megvan, köv. gócok elött még tovább mehet fel kicsit....
Becsülni is nehéz ilyen konvektív csapadék esetén, főleg úgy, hogy a mérés gyakorlatilag a város másik felén (Debrecentől ÉÉNY-ra néhány km-re) van. Viszont úgy tűnik, hogy egy piros paca most fog átvonulni.
Slussz! 
Tudom ,többet kellett volna adnom, olyan 5 felettit. na jó ez az 1 pont is. (előre számolok.)
Tudom ,többet kellett volna adnom, olyan 5 felettit. na jó ez az 1 pont is. (előre számolok.)
202306090600 AAXX 09061 12882 16/// /1402 10174 20161 30005 40133 52002 69952 333 20165 55124 70005
555 10092 6994/=
Akkor ez a mértékadó jelentés?
555 10092 6994/=
Akkor ez a mértékadó jelentés?
16,5 fok, így 16 lett a minimum.
Köszi Imi, azt lehet tudni, hogy miért nem a reptéri adattal “dolgozunk”, ott nincs kézi mérés? A többi adat az egyébként mind a reptérre vonatkozik? (Jelenidő, T, szél)
Köszi Imi, azt lehet tudni, hogy miért nem a reptéri adattal “dolgozunk”, ott nincs kézi mérés? A többi adat az egyébként mind a reptérre vonatkozik? (Jelenidő, T, szél)
Debrecen-Józsán történik a csapadékmérés. Ha "homan" beírja ide este főterminuskor a csapadékot, akkor tudni fogjuk, ha nem akkor a reggeli mérés lesz a mérvadó.
A csapadékmérés még mindig nem az állomáson történik? Ha nem, akkor tudunk meg onnan időközi adatokat vagy majd csak a reggeli leolvasásnál?
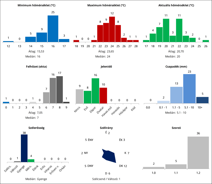
Elkészült az összefoglaló.
Link
Nem lesz ez egy piskóta forduló.
Ahogy nézem, a jelenidőn lehet majd nagyot kaszálni vagy éppen nagyot bukni.
A szélrózsa is érdekes lett, bár a délkeleti irány dominál, de a többiből is van mindenféle mennyiség. 
Nem lesz ez egy piskóta forduló.

Ezt mondom én is
Monnyuk télen is hullanak hókristályok derült ég mellett
Az eszmélés időpontja 18:01
Monnyuk télen is hullanak hókristályok derült ég mellett
Az eszmélés időpontja 18:01
Nekem mindegyik üresen maradt. Mondjuk visszaigazolás sem jött, nem volt miről.
Mondom én, hogy köllene a fonál, de már inkább egy hajókötél
Tegnap 17:59-kor riadtam, hogy tippelni kellene, ugye nem kell ecsetelnem...
Ma 17 óra körül sikerült, nem néztem meg a visszaigazolást (balfax), mondván, 6 előtt úgyis ránézek...
Hát ránéztem persze mikor?,18:10-kor, és látom, hogy az egyik sor üresen maradt
Tegnap 17:59-kor riadtam, hogy tippelni kellene, ugye nem kell ecsetelnem...
Ma 17 óra körül sikerült, nem néztem meg a visszaigazolást (balfax), mondván, 6 előtt úgyis ránézek...
Hát ránéztem persze mikor?,18:10-kor, és látom, hogy az egyik sor üresen maradt
Gratulálok Gordonkának.
Jövö héten látogassunk el Debrecenbe, jún.9-én, pénteken, 16 UTC-kor.
Jövö héten látogassunk el Debrecenbe, jún.9-én, pénteken, 16 UTC-kor.
Ha nem felejtem el és leadom 1,2-es szorzóval, akkor előkelő helyen végeztem volna, az első tízben.
Így meg az utolsó tízben
Így meg az utolsó tízben
Basszus, akkor 2 hét múlva Eger 
Ott majd újra felvesszük a a fonalat
Ott majd újra felvesszük a a fonalat
Szerintem Egerben hagytad el! Ott még elég "fonalas" eredményed volt.! 
---------------------
Gratulálok én is Gordonkának!
A magam eredményével nem igazán vagyok elégedett, még úgy sem, hogy a 13,2 pont most nem is számított alacsonynak. A 12,65-ös versenyátlagomat meg inkább hagyjuk. Az én fonalam vajon merre járhat...?
---------------------
Gratulálok én is Gordonkának!
A magam eredményével nem igazán vagyok elégedett, még úgy sem, hogy a 13,2 pont most nem is számított alacsonynak. A 12,65-ös versenyátlagomat meg inkább hagyjuk. Az én fonalam vajon merre járhat...?
Gratulálok 
Valahol elvesztettem a fonalat, nem találta meg senki?
Valahol elvesztettem a fonalat, nem találta meg senki?
Köszönöm a gratulációkat, igazán meglepett, hogy 16,8 pont forduló győzelmet hoz. Én is gondolkoztam a szélcsendet beadni, de Zágráb igazán jól mérte a gyenge szeleket az utóbbi időben, így maradt a nyerő tipp.
Coontac:" vagyunk így egy páran" De tedd magad túl, nehogy abbahagyd! 
Meg Nyuli se.
Meg Nyuli se.
Még ennyire utolsó se voltam, pedig a gfs meg az ecm segítségével csináltam. Kar, hogy ennyire rosszak a modellek ilyen rövid távra:/
A zágrábi fordulót Gordonka nyerte. Gratulálok neki!
Forduló: Link
Összetett: Link
A következő kiíró met4ever lesz, így szeretnénk kérni egy helyszínt és egy időpontot.
Választható helyszínek:
Bécs (Wien-Hohe Warte) [11035]
Békéscsaba [12992]
Budapest-Újpest [metnet-es észlelő]
Csíkszereda (Miercurea Ciuc) [15170]
Debrecen [12882]
Felcsút [metnet-es észlelő]
Kecskemét [12970]
Lomnici-csúcs (Lomnicky Stít) [11930]
Miskolc-Diósgyőr [12772]
Paks [12950]
Pécs-Egyetem [38528]
Siófok [metnet-es észlelő]
Sopron-Kurucdomb [13704]
Szeged [12982]
Szolnok [12860]
Szombathely [12812]
Meteorológiai állomások beosztása a fejlécben.
Forduló: Link
Összetett: Link
A következő kiíró met4ever lesz, így szeretnénk kérni egy helyszínt és egy időpontot.
Választható helyszínek:
Bécs (Wien-Hohe Warte) [11035]
Békéscsaba [12992]
Budapest-Újpest [metnet-es észlelő]
Csíkszereda (Miercurea Ciuc) [15170]
Debrecen [12882]
Felcsút [metnet-es észlelő]
Kecskemét [12970]
Lomnici-csúcs (Lomnicky Stít) [11930]
Miskolc-Diósgyőr [12772]
Paks [12950]
Pécs-Egyetem [38528]
Siófok [metnet-es észlelő]
Sopron-Kurucdomb [13704]
Szeged [12982]
Szolnok [12860]
Szombathely [12812]
Meteorológiai állomások beosztása a fejlécben.
202306011800 AAXX 01181 14240 12670 43402 10213 20162 39983 40131 55006 60002 82802 333 10259==
202306020600 AAXX 02061 14240 12680 20000 10195 20147 39981 40130 51004 60002 82130 333 20136 31012 70000==
Csapadék nem sok volt... 60002 => semmi
5 és 6 óra között a szlovén és horvát radar szerint is volt egy zápor a város felett. Tudja valaki, hogy hol található az állomás? Az állomás nevéből következtetve a Maksimir parkra tippelnék (radar alapján itt volt a legintenzívebb része), de még az elmúlt időben sincs a synopban utalás arra, hogy esett volna ebből bármi is.
