Információk az előrejelzési versenyhez
Versenyinformációk
A VERSENYSZABÁLYZATÚj előrejelzés elküldése az előrejelzési versenybe
A legutóbbi forduló eredménye
A verseny összesített állása
A 3 kieső fordulót nem tartalmazó összesített lista
A synop-kódok értelmezéséhez egy kis segítség
Szélirány-meghatározáshoz segítség
Stelvio segítségével megjelenített összesített ranglista
Stelvio segítségével megjelenített örökranglista
Stelvio segítségével megjelenített dicsőséglista
A meteorológiai állomások elhelyezkedése
A meteorológiai állomások beosztása
"A csapadékmennyiség mérésénél a 2018. nyári versenykörtől kezdődően az OMSZ, valamint MetNet állomások esetében egész évben a helyi idő szerinti 06:45-06:45 közötti időintervallumot vesszük figyelembe, azaz a versenynap 06:45-től a versenynap utáni nap 06:45-ig számít a lehulló csapadék mennyisége.
A külhoni állomások esetében továbbra is 06 UTC-től másnap 06 UTC-ig számít a csapadékmennyiség."
5,4 millimétert mért eddig reggel óta az automata. Reggel kiderül majd a kézi is.
A külhoni állomások esetében továbbra is 06 UTC-től másnap 06 UTC-ig számít a csapadékmennyiség."
5,4 millimétert mért eddig reggel óta az automata. Reggel kiderül majd a kézi is.
Met.hu-n órás csapadékból 4,9mm-t lehet összeszámolni
nagyon sávhatáron lesz!
Nincs is már olyan messze az a napsütés! Link
Kérdés, hogy ilyen alacsony napállás mellett marad e annyi erő benne, hogy bemelegedjen
Kérdés, hogy ilyen alacsony napállás mellett marad e annyi erő benne, hogy bemelegedjen
Lehet ezzel szerencsénk is lesz, nem sokat adnék egy 9 fokos Tmax-nak jelenleg.
Gondoltam, majd dél körül Ny-Dny-assá válik a szél, és "tódul" majd be a meleg. Már nem vagyok benne biztos. Lehet meg is áll majd 8 foknál
1323 új hsz,rég jártam erre és úgy látom az első fordulóról le is csúsztam 
A továbbiakban beszállok én is a téli körre
A továbbiakban beszállok én is a téli körre
Erre mondanám, hogy "Hát igyunk pajtások, johó!", de száraz novembert tartok. 

Hajrá!
Hajrá!
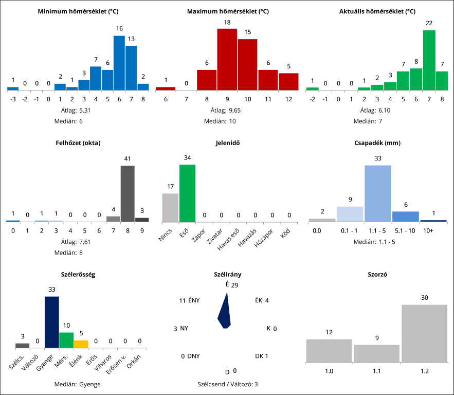
Jó újra látni a diagrammokat 
2 órával kezdés elött: 8,8/8,2°C, borult, gyenge déli szél
2 órával kezdés elött: 8,8/8,2°C, borult, gyenge déli szél
Átlag... Nem is tudom miért azt írtam. Köszi, hogy írtad, móduszra gondoltam én is!
Én szerintem 10-12 éve nem vettem részt, most végre sikerült nem lemaradnom a kezdésről, hála Imi met társalgós promojának.
Igyekszem ezt végigtolni!
Nekem meg sikerült mindenhol a módusz (vagyis az adott diagramon a legtöbbször előforduló érték) tippjét leadni.
Mondjuk kezdésnek ez az 50 viszonylag szokványos, sajnos sokan le szoktak morzsolódni az első pár forduló alatt.
Innen is üzenem mindenkinek, hogy egy-egy rosszabbul sikerült forduló ne szegje a kedveteket, 20 forduló alatt bármi megtörténhet.
Na meg ott van a 3 kiesős tipp is, szóval a legrosszabb fordulók a legvégén amúgy sem lesznek figyelembe véve.
Hajrá mindenkinek!
Szuper, egy Tmax 1 fokos eltérésen kívül mindenben a tippek átlagát adtam.
Ezzel csak egy gond van, az 1.0-ás szorzó ...
Írtátok, hogy fel kellene valahogy dobni a versenyt, hogy visszacsábuljanak az emberek. Azt hittem lesz vagy 10-20 versenyző, de ez az 50+ nagyon jó!
Persze ne a 10-15 évvel ezelőtti fénykorhoz (100-120) viszonyítsunk
Írtátok, hogy fel kellene valahogy dobni a versenyt, hogy visszacsábuljanak az emberek. Azt hittem lesz vagy 10-20 versenyző, de ez az 50+ nagyon jó!
Persze ne a 10-15 évvel ezelőtti fénykorhoz (100-120) viszonyítsunk
Üdv mindenkinek újra itt!
Elkészült a téli kör első összefoglalója. Összesen 51 tipp érkezett be, remélem, hogy minél többen kitartunk majd a végéig. 

Elég sok jelenidő van, én persze nem adtam, mindegy, ha bejön, elég sok jó eredmény lehet már rögtön az első fordulóban
Akarsz beszélni az ellentétről, ami mérgezi a viszonyunkat? 

Jó látni ezt a sok nevet, hajrá mindenkinek! Az első körök esetleges kudarca ne tántorítson el senkit, minden új fordulóban ott az esély a győzelemre
Jó látni ezt a sok nevet, hajrá mindenkinek! Az első körök esetleges kudarca ne tántorítson el senkit, minden új fordulóban ott az esély a győzelemre
51 tipp, maradjon is így végig
Bár nem vagyok túl joban coontaccal
, most neki szurkolok
Ahogy nézem, még páran ugyanazt a tippet adták le.
Sok havas jelenidőt a téli versenyre
Bár nem vagyok túl joban coontaccal
Ahogy nézem, még páran ugyanazt a tippet adták le.
Sok havas jelenidőt a téli versenyre
Már el is felejtettem milyen érzés ez a modellnézegetés, agyalás, és "na most mi a ... legyen?!" felsóhajtás...
Normál esetben abba esne, de itt a versenyben a versenyforduló napja, azaz most NOVEMBER 11. a kulcs. Minden paramétert a versenynapra adunk meg és a csapadék intervalluma most így valóban kívül esik a konkrét versenyidőponttól, vagyis akár az általad felvázolt eset is megtörténhet.
Tmin: 11.10. 18 UTC - 11.11. 06 UTC-ig
Tmax: 11.11. 06 UTC - 11.11. 18 UTC-ig
Csapi: 11.11. 06 UTC- 11.12. 06 UTC-ig
Minden más: 11.11. 03 UTC.
Meg most a szorzó is 1.1. (sajna már nekem is...
)
Hajrá Mindenkinek! Gyertek minél többen!
Tmax: 11.11. 06 UTC - 11.11. 18 UTC-ig
Csapi: 11.11. 06 UTC- 11.12. 06 UTC-ig
Minden más: 11.11. 03 UTC.
Meg most a szorzó is 1.1. (sajna már nekem is...
Hajrá Mindenkinek! Gyertek minél többen!
Évek óta nem játszottam, a tudásom is megkopott... De most rápróbalok!
Mégha az időpont miatt jól bele is keveredtem, hogy most akkor mi melyik napra szól... Tmin/max, csapadék stb
Mégha az időpont miatt jól bele is keveredtem, hogy most akkor mi melyik napra szól... Tmin/max, csapadék stb
Megnyugtatlak, én is 1,6-ossal indítottam, csak az idő közeledtével elfelejtettem frissíteni. Úgy gondoltam, majd szerdán ráér, de a ravasz időpont miatt szerdán már reggel is késő volt
Bizony, bizony.
Rakjatok csak gyorsan előrébb engem ebben a dicsőséglistában.
Ha már olyan sokszor/sok helyütt/sok mindenben voltam a rosszak közt....
Rakjatok csak gyorsan előrébb engem ebben a dicsőséglistában.
Ha már olyan sokszor/sok helyütt/sok mindenben voltam a rosszak közt....
Úgy látom elfelejtettem elküldeni pár hibát, amit találtam az új féle dicsőséglistában az örökranglista alapján látható kihagyott fordulók száma alapján (az örökranglistában szereplő összes teljesített fordulóban van a hiba, innen kerülhetett a dicsőséglistába)
Ezek lennének a helyesek:
vizipók 39/34
met4ever 39/33
Télember 39/36
paleopapa 39/32
Köszönet a listákért és hajrá téli kör!
Ezek lennének a helyesek:
vizipók 39/34
met4ever 39/33
Télember 39/36
paleopapa 39/32
Köszönet a listákért és hajrá téli kör!
Sajnos igen 
Nem titok, Imivel hónapok (de talán most már évek) óta próbálunk kitalálni valamit, hogy hogyan lehetne népszerűsíteni (vagy legalább érdemben életben tartani) a versenyt, és bár ötleteink vannak, de a siker több mint kétséges. Egy próbát azonban mindenképp megér, ezért a következő nyári kört már egy ráncfelvarrott lebonyolítással szeretnénk majd megkezdeni. Ezt a mostani téli kört még változatlan körülmények között visszük végig.
Ha majd közeledünk a nyári körhöz, természetesen titeket is be fogunk vonni az ötletelésbe/véleményezésbe
Addig is hajrá, havas, hideg téli kört kívánok mindenkinek
Nem titok, Imivel hónapok (de talán most már évek) óta próbálunk kitalálni valamit, hogy hogyan lehetne népszerűsíteni (vagy legalább érdemben életben tartani) a versenyt, és bár ötleteink vannak, de a siker több mint kétséges. Egy próbát azonban mindenképp megér, ezért a következő nyári kört már egy ráncfelvarrott lebonyolítással szeretnénk majd megkezdeni. Ezt a mostani téli kört még változatlan körülmények között visszük végig.
Ha majd közeledünk a nyári körhöz, természetesen titeket is be fogunk vonni az ötletelésbe/véleményezésbe
Addig is hajrá, havas, hideg téli kört kívánok mindenkinek
Gyanítom, hogy a versenyben résztvevők száma és a meteorológiai társalgó színvonala (nevesítve: a meteorológia iránt valóban érdeklődő, az előrejelzéseket használni tudó és ebben, de általában is fejlődni akarók) közt fordított az arány.
Köszönöm én is a ranglisták frissítését!
Annak idején nekem is becsúszott egy 80. hely, ami úgy jött ki, hogy abban a szezonban sok fordulót kihagytam és akkor még nem a volt a 3 kieső forduló (pontosabban a legjobb 17 forduló) alapján történő számítás. Akkor valószínűleg nem is lett volna érvényes eredményem abban a versenykiírásban.
És igen, akkoriban még jóval többen voltunk.... [sóhaj]
És igen, akkoriban még jóval többen voltunk.... [sóhaj]
Ezer köszönet ezekért a listákét, csodálatos (mindhármon fent vagyok
, de nem ez a lényeg), az viszont elszomorító, hogy egyre kevesebben vagyunk itt lelkes játékosok, legjobban az örökranglista szemlélteti, hogy mennyire kevesen vagyunk....
Volt olyan év, hogy a 90. helyen végeztem, tehát legalább ennyien játszottunk.
Volt olyan év, hogy a 90. helyen végeztem, tehát legalább ennyien játszottunk.
Hófúvás segített a két csonka ranglista teljes változatával, köszönet neki!!!
Wow, akkor meglett minden hiányzó kör (a régen elveszetteken kívül), nagyszerű! Örök hála a fáradozásaidért. Idén kétszer lesz karácsony
Jó hírem van elvtársak! (Aki kellően megszállott előrejelző, az nekem elveimben társam
) Elkészült az összesített és az örökranglista, már csak még egyszer át kell futni, hogy minél kevesebb hiba maradjon benne. Sőt egy harmadik listát - dicsőséglistát - is készítettem, ahol a legalább 30 fordulóban (15 évet játszók) szerepelnek, Coubertin szellemében az eredményességtől függetlenül, csak a részvételi szám alapján kialakuló sorrendben. Mondjuk szabóka az örökranglistán és ezen is az élen áll
Most viszont egy kis szünetet kell tartanom estig, tele a fejem számokkal. Egy kis gombászás közben kifújatom a felesleget a széllel a fejemből, és este küldöm az illetékeseknek a ranglistákat.
Most viszont egy kis szünetet kell tartanom estig, tele a fejem számokkal. Egy kis gombászás közben kifújatom a felesleget a széllel a fejemből, és este küldöm az illetékeseknek a ranglistákat.