Információk az előrejelzési versenyhez
Versenyinformációk
A VERSENYSZABÁLYZATÚj előrejelzés elküldése az előrejelzési versenybe
A legutóbbi forduló eredménye
A verseny összesített állása
A 3 kieső fordulót nem tartalmazó összesített lista
A synop-kódok értelmezéséhez egy kis segítség
Szélirány-meghatározáshoz segítség
Stelvio segítségével megjelenített összesített ranglista
Stelvio segítségével megjelenített örökranglista
Stelvio segítségével megjelenített dicsőséglista
A meteorológiai állomások elhelyezkedése
A meteorológiai állomások beosztása
Gratulálok a nyerteseknek!
Nekem egy viszonylag jól kinéző fordulóból sikerült egy elég rosszat kihozni. Kezdve az 1,2-esről való lecsúszással, egészen a 9,1 mm-es csapadékig. Főleg az utóbbit sajnálom, közel volt a 10 mm, sőt 15, 20 mm feletti 24 órás csapadék határa....
Nekem egy viszonylag jól kinéző fordulóból sikerült egy elég rosszat kihozni. Kezdve az 1,2-esről való lecsúszással, egészen a 9,1 mm-es csapadékig. Főleg az utóbbit sajnálom, közel volt a 10 mm, sőt 15, 20 mm feletti 24 órás csapadék határa....

Kiesős lista friss a fenti linken (mozgásokkal teli le is, föl is). 10 embernek lett kieső a szolnoki forduló. Tévedésem esetén a reklamációt kérem ide!
Köszönöm szépen! Nem gondoltam volna, hogy valaha fordulót nyerek.
Neked is grat!
A fordulót Goldman nyerte valamint nekem is ugyanannyi pontom lett. Gratulálok neki és minden elégedettnek.
Forduló: Link
Összetett: Link
A következő kiíró jocika8627. Szeretnénk kérni egy helyszínt és egy időpontot.
Választható helyszínek:
Békéscsaba [12992]
Budapest Liszt Ferenc Nemzetközi Repülőtér [lhbp]
Budapest-Újpest [metnet-es észlelő]
Csíkszereda (Miercurea Ciuc) [15170]
Debrecen [12882]
Felcsút [metnet-es észlelő]
Kecskemét [12970]
Kékestető [12851]
Siófok [metnet-es észlelő]
Meteorológiai állomások beosztása: Link
Februári beosztás szombaton lesz. Szóval még erre a hétre ki kellene írni a fordulót feltéve, ha beosztásos állomás lesz választva. Vagy azt is lehet akár csinálni, hogy kihagyunk egy hétvégét aztán addig hátha megoldódnak a hazai állomások SYNOP táviratok problémái.
Forduló: Link
Összetett: Link
A következő kiíró jocika8627. Szeretnénk kérni egy helyszínt és egy időpontot.
Választható helyszínek:
Békéscsaba [12992]
Budapest Liszt Ferenc Nemzetközi Repülőtér [lhbp]
Budapest-Újpest [metnet-es észlelő]
Csíkszereda (Miercurea Ciuc) [15170]
Debrecen [12882]
Felcsút [metnet-es észlelő]
Kecskemét [12970]
Kékestető [12851]
Siófok [metnet-es észlelő]
Meteorológiai állomások beosztása: Link
Februári beosztás szombaton lesz. Szóval még erre a hétre ki kellene írni a fordulót feltéve, ha beosztásos állomás lesz választva. Vagy azt is lehet akár csinálni, hogy kihagyunk egy hétvégét aztán addig hátha megoldódnak a hazai állomások SYNOP táviratok problémái.
Eddig 1,3 mm körül járhatunk, de ugye még nagyon sok van hátra reggelig: Időből és potenciális csapadékból is...
Ezt a 6.30-as 3 fokot nem láttam. Valójában hány állomás van Szolnokon ? Ha nálunk 3,6 a T akt, de az OMSZ 3-at ad, akkor az egy másik szolnoki állomás ? A methu 10 perceseiben melyik van ?
Direkt úgy írtam, mert 10-et adtam Tmax-nak
De úgy tűnik, hogy a kerekített 9 sem biztos, hogy meglett...
A 7 fok már megvan, fogyatkoznak a felhők, a szél még nem északias arrafelé... Hajrá 9 fok! 
Kár, hogy csapadékra csak 1-5 mm-t tettem. Épp Szolnok térségében vonulhat éjjel a medi legintenzívebb csapadéksávja. Na, mindegy, medi, úgyhogy ki tudja, még akár jó is lehet...
Kár, hogy csapadékra csak 1-5 mm-t tettem. Épp Szolnok térségében vonulhat éjjel a medi legintenzívebb csapadéksávja. Na, mindegy, medi, úgyhogy ki tudja, még akár jó is lehet...
Itt a versenyben a 18 és 06 UTC közötti időszak minimumát ill. a 06 és 18 UTC közötti időszak maximumát vesszük (szinoptikus minimum/maximum).
Jelen esetben 06 UTC (7 óra) előtt is volt kerekített 3 fok, pl. 6:30-kor.
Jelen esetben 06 UTC (7 óra) előtt is volt kerekített 3 fok, pl. 6:30-kor.
Lemaradtam a versenyről (de tegnap 7 után játékon kívül leírtam egy "lottó" tippet magamnak) , így különösebben nem zavar, de a 6:45-ös metar 4 fokot ad, a 7órás mérés 3,6, 7:15-ös metar 3 fok. Biztosan nem 6 UTC után állt be a Tmin ? Persze azt sem értem, ha a T 7-kor 3,6, akkor miért van az OMSZ oldalon 7 órakor 3 fok.
Ezekért a dolgokért (mindig van valamilyen adattal zűr) nem veszem véresen komolyan az egészet. Mivel esőt és borút adtam volna, ezért lehet, hogy jobb is , hogy most lemaradtam. Persze 2 óra múlva az volt és 5 fok valamint dny-i szél amit vártam.
Ezekért a dolgokért (mindig van valamilyen adattal zűr) nem veszem véresen komolyan az egészet. Mivel esőt és borút adtam volna, ezért lehet, hogy jobb is , hogy most lemaradtam. Persze 2 óra múlva az volt és 5 fok valamint dny-i szél amit vártam.
Mondjuk az eddig is ismert volt, hogy a met.hu-s adatokkal lehet eltérés, mivel katonai reptér lévén az óra 45-ös adatok számítanak. De, hogy két szélmérő van és a metarban szereplő adat végül nem egyezik a synopban találhatóval, hááát... Amikor azt gondolnád, már minden helyzettel találkoztunk a verseny során, mindig megtudunk valami újat.:Đ
A felhőzetnek nem örülök, de a többi az nagyon OK 
Mondjuk a felhőzet így mindenkinek pont nélkül kiesik...
Mondjuk a felhőzet így mindenkinek pont nélkül kiesik...
A pontos szél és felhőzet adatok kiderítéséig, a Tmin: 3fok, Takt: 4fok maradt? Link
Szerk.:
Nagyon lassú voltam... ellenben Pitommal
Szerk.:
Nagyon lassú voltam... ellenben Pitommal
Na pitom gyors segítségét köszönjük!
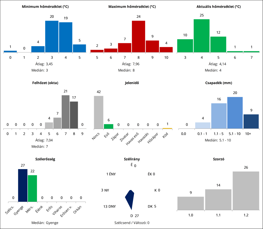
Összfelhőzet: 2 okta (7 UTC-kor már 6 volt.
)
Jelenidő: Nincs
T akt: 3,6°C
T min: 3,2°C
Szélirány, szélsebesség: A déli mérő ami elvileg kimegy SYNOP-ba 202 fokos szelet ad 3,2 m/s átlagszéllel az északi mérő ugyanezt az irányt adta 3,7 m/s átlagszéllel. Mivel az első megy ki alapjáraton SYNOP-ba így az lesz a mérvadó.
Összfelhőzet: 2 okta (7 UTC-kor már 6 volt.
Jelenidő: Nincs
T akt: 3,6°C
T min: 3,2°C
Szélirány, szélsebesség: A déli mérő ami elvileg kimegy SYNOP-ba 202 fokos szelet ad 3,2 m/s átlagszéllel az északi mérő ugyanezt az irányt adta 3,7 m/s átlagszéllel. Mivel az első megy ki alapjáraton SYNOP-ba így az lesz a mérvadó.
A Metar "csak" 8 csomós szelet ad (4 m/s), de már az is mérsékelt kategória. Adatkavar...
Az automata adatai így alakultak szélirány, szélerősségnél
06:30-06:40: 201 fok 3,3 m/s
06:40-06:50: 202 fok 3,1 m/s
06:50-07:00: 197 fok 3,2 m/s
Nem tudom miből adódhat a 10 csomós (5 m/s) átlag szélsebesség a METAR-ban. De jó lenne egy synop távirat. Már csak azért is, mert felhő információk sincsenek. Megpróbálok pitom-tól segítséget kérni. Hátha ő most Szegeden jobban belelát a SYNOP-ba, ha már mi nem.
06:30-06:40: 201 fok 3,3 m/s
06:40-06:50: 202 fok 3,1 m/s
06:50-07:00: 197 fok 3,2 m/s
Nem tudom miből adódhat a 10 csomós (5 m/s) átlag szélsebesség a METAR-ban. De jó lenne egy synop távirat. Már csak azért is, mert felhő információk sincsenek. Megpróbálok pitom-tól segítséget kérni. Hátha ő most Szegeden jobban belelát a SYNOP-ba, ha már mi nem.
Nem tudom, mi az oka az eltérésnek a szélerősség esetén. Esetleg nem a reptér adata van a met.hu-s 10 perces térképen?
Mindenesetre a reptér adatai a Wetteronline-on, a Metar-okból véve végig erősebb szelet mutat:
Mindenesetre a reptér adatai a Wetteronline-on, a Metar-okból véve végig erősebb szelet mutat:

OMSZ széltérképén 11-12 km/h-s 10 perces átlagszál szerepel az adott időpontnál.
A 7 órás mérésnél 3 fok, 12 km/h 197 fokról.
A 7 órás mérésnél 3 fok, 12 km/h 197 fokról.
Takt: 4 fok
Tmin: 3 fok (99%, 10 percesekben egyszer szerepelt)
Jelenidő: nincs
Szél: mérsékelt déli (200/8kt) - kár érte, 6:20-tól gyenge volt minden tízperces érték.
METAR LHSN 240545Z 20008KT CAVOK 04/02 Q0997 NOSIG RMK BLU=
Tmin: 3 fok (99%, 10 percesekben egyszer szerepelt)
Jelenidő: nincs
Szél: mérsékelt déli (200/8kt) - kár érte, 6:20-tól gyenge volt minden tízperces érték.
METAR LHSN 240545Z 20008KT CAVOK 04/02 Q0997 NOSIG RMK BLU=
Épp írni akartam én is. Ogimetet mindig szoktam követni, jan.20-án este óta nincs új adat rajta magyar állomásokra. Vagy adattovábbítási problémára gondolok, vagy arra, hogy nem készülnek el már egyáltalán a synop táviratok. Erről tudsz valamit?
Az ember általi kevéske észlelés gondolom nem változott, itt más lehet a gond, mert az automata mérésekből készült synopok is hiányoznak, szóval kompletten.
Az ember általi kevéske észlelés gondolom nem változott, itt más lehet a gond, mert az automata mérésekből készült synopok is hiányoznak, szóval kompletten.
Intenzív délies áramlás, elég kevés +5 fokos min. és 10 fok körüli maxok... talán bejön.
7-kor átfutottam a tippeket és nem találtam a tiédet, akkor ezért... 
Hidegcsepp: este is nagyon jó lesz
Hidegcsepp: este is nagyon jó lesz
Én úgy érzékelem, hogy a téli körben a reggel 7 es időpont a vízválasztó, tavasszal a 6-18 , nyáron a tipikus 14-18 óra, ősszel pedig a fennmaradó 24 óra. 
Ha rajtam múlna, betiltanám a reggel 7-es kiírást. Fehér ember olyankor még alszik
6:57-kor jutott eszembe, mondjuk úgy, hogy nyers előrét adtam le... aztán majd meglátjuk
06 UTC, ejjj.... A napi ügyek megint felülírták az agyamban az időpontot. Annyira emlékeztem, hogy csütörtök
