Információk az előrejelzési versenyhez
Versenyinformációk
A VERSENYSZABÁLYZATÚj előrejelzés elküldése az előrejelzési versenybe
A legutóbbi forduló eredménye
A verseny összesített állása
A 3 kieső fordulót nem tartalmazó összesített lista
A synop-kódok értelmezéséhez egy kis segítség
Szélirány-meghatározáshoz segítség
Stelvio segítségével megjelenített összesített ranglista
Stelvio segítségével megjelenített örökranglista
Stelvio segítségével megjelenített dicsőséglista
A meteorológiai állomások elhelyezkedése
A meteorológiai állomások beosztása
Igen, rögtön az elején, ha jól emlékszem, herbary nem élt a lehetőséggel.
A fenti kiesős linken el is érhető. Fogom még ellenőrizni, de kiabáljatok, ha hibás.
Bennehagytam a téli kör végeredményét. Az excel neve ne tévesszen meg senkit, hogy 2020 van benne, ez azért van, hogy ne kelljen új link neki.
1995 dec. igen!
Bennehagytam a téli kör végeredményét. Az excel neve ne tévesszen meg senkit, hogy 2020 van benne, ez azért van, hogy ne kelljen új link neki.
1995 dec. igen!
Elöre is köszi!
Ha Veszprém és hó, akkor ha jól rémlik, 1995 december, szerintem hófúvás is volt rendesen
Valaki tudja a megfejtést arra, hogy miért csak a kilencedik forduló jön, ha Misimókus tizedik lett az elözö sorozatban, így tizedikként ad meg idöpontot/helyszínt? Kihagytunk valakit...?
Ha Veszprém és hó, akkor ha jól rémlik, 1995 december, szerintem hófúvás is volt rendesen
Valaki tudja a megfejtést arra, hogy miért csak a kilencedik forduló jön, ha Misimókus tizedik lett az elözö sorozatban, így tizedikként ad meg idöpontot/helyszínt? Kihagytunk valakit...?
Köszi! (a nickem az itt Veszprém-Nagyvázsony vonalon az évtizedek (egyre ritkább) során előforduló sok-sok hófúvásnak köszönhető, megéltem sokat). Gondolok rád majd akkor!
Met4ever: azt gyanítom, hogy a hivatalos kiesős változat tán már csak egy paraméterezésen múlhat. Azért hegesztek egyet a régi linkre, amíg az nem lesz élő.
Met4ever: azt gyanítom, hogy a hivatalos kiesős változat tán már csak egy paraméterezésen múlhat. Azért hegesztek egyet a régi linkre, amíg az nem lesz élő.
Gratula neked, bár a név szerint január 10.-én kellene tippelned, a szülinapomon.
Irány a viharok sarka, meg utána..
Irány a viharok sarka, meg utána..
Köszi! Csak most látom a kiesős oszlopt, hogy mondtad. Ha kell és mondjátok, szívesen csinálok kiesőst mint a legutóbbi körben.
Gratulalálok én is! Az összetettben is közel kerültél az első helyhez, bár a lista szerint még mindig azonos az összes kieső az összpontszámmal, így valójában mindenkinek nulla pontja van, erős holtverseny
Köszönöm!
Kb. 20-as oddsot adtam volna magamnak, hogy ebben a fordulóban élen végzem. Mák volt. Irány a Viharsarok!
Szuper! 
Akkor irány Békéscsaba! Az időpont pedig vasárnap (2021.07.11.) 20:00 legyen.
Köszönöm!
Akkor irány Békéscsaba! Az időpont pedig vasárnap (2021.07.11.) 20:00 legyen.
Köszönöm!
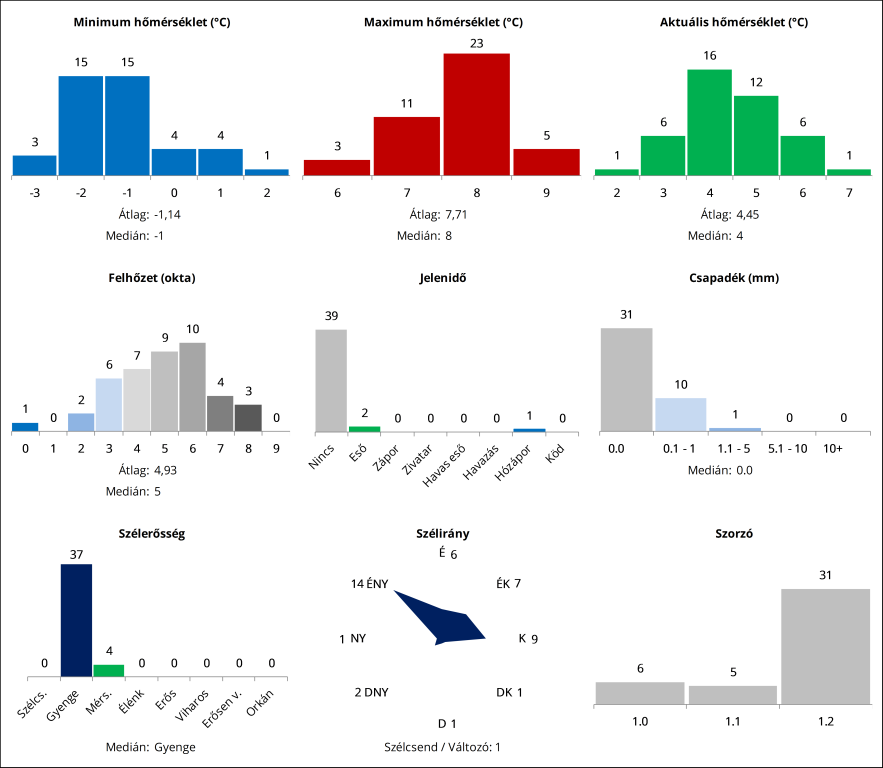
Köszönjük, lehet is tippelni: Link
Az 1.2-es szorzó csütörtök 20 óráig él!
Az 1.2-es szorzó csütörtök 20 óráig él!
Sziasztok!
Beleférhet egy vasárnap esti (20:00) békéscsabai forduló, vagy inkább válasszak jövő hét eleji időpontot?
Beleférhet egy vasárnap esti (20:00) békéscsabai forduló, vagy inkább válasszak jövő hét eleji időpontot?
Pontoztam, a fordulót magabiztosan hófúvás nyerte, gratula!
Forduló: Link
Összetett: Link
Gratulálok mindenkinek, aki elégedett volt a teljesítményével. A következő kiíró Misimókus lesz, így szeretnénk kérni egy helyszínt és egy időpontot.
Választható helyszínek:
Békéscsaba [12992]
Budapest-Újpest [metnet-es észlelő]
Felcsút [metnet-es észlelő]
Kecskemét [12970]
Kékestető [12851]
Lomnici-csúcs (Lomnicky Stít) [11930]
Miskolc-Diósgyőr [12772]
Nagykanizsa [12925]
Siófok [metnet-es észlelő]
Szeged [12982]
Szolnok [12860]
Zágráb-Maksimir [14240]
Meteorológiai állomások beosztása: Link
Forduló: Link
Összetett: Link
Gratulálok mindenkinek, aki elégedett volt a teljesítményével. A következő kiíró Misimókus lesz, így szeretnénk kérni egy helyszínt és egy időpontot.
Választható helyszínek:
Békéscsaba [12992]
Budapest-Újpest [metnet-es észlelő]
Felcsút [metnet-es észlelő]
Kecskemét [12970]
Kékestető [12851]
Lomnici-csúcs (Lomnicky Stít) [11930]
Miskolc-Diósgyőr [12772]
Nagykanizsa [12925]
Siófok [metnet-es észlelő]
Szeged [12982]
Szolnok [12860]
Zágráb-Maksimir [14240]
Meteorológiai állomások beosztása: Link
Ez igy logikusan hangzik. Megint egy rendkívül sikeres forduló volt....
A Met-Ész alapján 0 mm volt a csapadék. Valószínűleg egyébként pont 6:45 körül esett, amire az észlelő akkor beadta a 0,1 mm-t (még az előző napra vonatkozóan), az automata által mért adat pedig a 10 percesekbe 6:50-kor került be, amit lehet, hogy a régi Synop szabály szerint egyes oldalak/megjelenítő felületek már a 8 órás (6:40-7:40) időszakba, mások a 7 órásba soroltak. Elég peches egy helyzet volt ez.
Bár a szívem várja a csapadékot, a radarképek szerint nem sok esély volt rá. Bár ki tudja.
A legutóbbi zivataros napon felettem (Zalaszentgrót) piros volt a radar, a valóságban azonban a zivatarfelhő széle volt csak rajtam, amiből nem esett. Kb. 20km-rel északabbra vonult a rendszer, mint amit a OMSZ radarja jelzett..
A legutóbbi zivataros napon felettem (Zalaszentgrót) piros volt a radar, a valóságban azonban a zivatarfelhő széle volt csak rajtam, amiből nem esett. Kb. 20km-rel északabbra vonult a rendszer, mint amit a OMSZ radarja jelzett..
A tegnap reggel 06 UTC-s (8 órás) synopban ott a 0,1 mm csapadék, de ez az elmult 12 órára vonatkozik.
202107050600 AAXX 05061 12942 15/// /0203 10205 20146 39862 40096 52003 69912
Az órás csapadékokat nézve hol tegnap reggel 8-ig, hol 7-ig jelent meg ez a 0,1 mm, ez nem volt tiszta. Azért nem mindegy, mert a 24 órás csapadékösszeg 7-7-ig érvényes. Amúgy meg ezek automata adatok, a kézi mérés számít, ami.... (?)
202107050600 AAXX 05061 12942 15/// /0203 10205 20146 39862 40096 52003 69912
Az órás csapadékokat nézve hol tegnap reggel 8-ig, hol 7-ig jelent meg ez a 0,1 mm, ez nem volt tiszta. Azért nem mindegy, mert a 24 órás csapadékösszeg 7-7-ig érvényes. Amúgy meg ezek automata adatok, a kézi mérés számít, ami.... (?)
Magam ellen beszélek, de nincs ott csapadék.
##############################################################################/kislexikon/#############################################################################
202107060400 AAXX 06041 12942 45/// /2501 10172 20150 39907 40144 52002==
202107060300 AAXX 06031 12942 45/// /3001 10181 20140 39905 40142 52002==
202107060200 AAXX 06021 12942 45/// /2801 10176 20141 39903 40140 52001==
202107060100 AAXX 06011 12942 45/// /3102 10204 20141 39905 40140 52005==
202107060000 AAXX 06001 12942 15/// /3002 10213 20142 39903 40137 52003 60001==
202107052300 AAXX 05231 12942 45/// /3001 10209 20150 39902 40136 52004==
202107052200 AAXX 05221 12942 45/// /3202 10227 20140 39900 40133 52009==
202107052100 AAXX 05211 12942 45/// /3202 10230 20143 39900 40132 52014==
202107052000 AAXX 05201 12942 45/// /3403 10231 20141 39898 40130 52014==
202107051900 AAXX 05191 12942 45/// /3202 10239 20140 39891 40123 52011==
202107051800 AAXX 05181 12942 15/// /2902 10252 20149 39886 40116 52009 60002
333 10283==
202107051700 AAXX 05171 12942 45/// /2402 10255 20140 39884 40114 52008==
202107051600 AAXX 05161 12942 45/// /2701 10260 20151 39880 40110 52004==
202107051500 AAXX 05151 12942 45/// /0501 10267 20131 39877 40106 52001==
202107051400 AAXX 05141 12942 45/// /2702 10270 20123 39876 40105 52001==
202107051300 AAXX 05131 12942 45/// /2301 10273 20133 39876 40105 52001
333 90710 91108==
202107051200 AAXX 05121 12942 15/// /0901 10268 20135 39876 40105 52001 60001==
202107051100 AAXX 05111 12942 45/// /0602 10258 20126 39875 40105 52002==
202107051000 AAXX 05101 12942 45/// /0205 10238 20145 39875 40106 52008
333 90710 91106==
202107050900 AAXX 05091 12942 45/// /0303 10230 20132 39875 40107 52013==
202107050800 AAXX 05081 12942 45/// /3102 10214 20141 39873 40106 52016==
202107050700 AAXX 05071 12942 45/// /0003 10225 20141 39867 40099 52008==
202107050600 AAXX 05061 12942 15/// /0203 10205 20146 39862 40096 52003 69912
333 20187 70001==
##############################################################################/kislexikon/#############################################################################
202107060400 AAXX 06041 12942 45/// /2501 10172 20150 39907 40144 52002==
202107060300 AAXX 06031 12942 45/// /3001 10181 20140 39905 40142 52002==
202107060200 AAXX 06021 12942 45/// /2801 10176 20141 39903 40140 52001==
202107060100 AAXX 06011 12942 45/// /3102 10204 20141 39905 40140 52005==
202107060000 AAXX 06001 12942 15/// /3002 10213 20142 39903 40137 52003 60001==
202107052300 AAXX 05231 12942 45/// /3001 10209 20150 39902 40136 52004==
202107052200 AAXX 05221 12942 45/// /3202 10227 20140 39900 40133 52009==
202107052100 AAXX 05211 12942 45/// /3202 10230 20143 39900 40132 52014==
202107052000 AAXX 05201 12942 45/// /3403 10231 20141 39898 40130 52014==
202107051900 AAXX 05191 12942 45/// /3202 10239 20140 39891 40123 52011==
202107051800 AAXX 05181 12942 15/// /2902 10252 20149 39886 40116 52009 60002
333 10283==
202107051700 AAXX 05171 12942 45/// /2402 10255 20140 39884 40114 52008==
202107051600 AAXX 05161 12942 45/// /2701 10260 20151 39880 40110 52004==
202107051500 AAXX 05151 12942 45/// /0501 10267 20131 39877 40106 52001==
202107051400 AAXX 05141 12942 45/// /2702 10270 20123 39876 40105 52001==
202107051300 AAXX 05131 12942 45/// /2301 10273 20133 39876 40105 52001
333 90710 91108==
202107051200 AAXX 05121 12942 15/// /0901 10268 20135 39876 40105 52001 60001==
202107051100 AAXX 05111 12942 45/// /0602 10258 20126 39875 40105 52002==
202107051000 AAXX 05101 12942 45/// /0205 10238 20145 39875 40106 52008
333 90710 91106==
202107050900 AAXX 05091 12942 45/// /0303 10230 20132 39875 40107 52013==
202107050800 AAXX 05081 12942 45/// /3102 10214 20141 39873 40106 52016==
202107050700 AAXX 05071 12942 45/// /0003 10225 20141 39867 40099 52008==
202107050600 AAXX 05061 12942 15/// /0203 10205 20146 39862 40096 52003 69912
333 20187 70001==
S rákattintva Pécsre, se előtte, se utána nincs csapadék, csak 8 óránál (az elmúlt órában). Érdekes...
Ez furcsa, mert a térképen akkor már nem volt semmi. Mondjuk úgyis a kézi mérés dönt holnap.
Télember: Én támogatom. Egy könnyed péntek esti kiírásra még beleférne az 1,2-es szorzó is.
Télember: Én támogatom. Egy könnyed péntek esti kiírásra még beleférne az 1,2-es szorzó is.
Mind1, nem tudom telefonról beilleszteni, a 8 órásnál volt 1 tized mm, csak nem értem...
Igen, hüle kérdés, nem esett oszt kész. 
Zivi hozzászólását látva, csak kiszurkoltátok.
Zivi hozzászólását látva, csak kiszurkoltátok.
Lehet, hogy hüle kérdés: ha 6:45-ig, vagy akár 6:50-ig volt csapadék, akkor a met.hu-n miért a 8 órás adatnál van 0,1 mm?
Nem a 7 órásnál kellene lenni?
Egyébként remélem 6:45-kor betalált a csapi, oszt 10 perec múlva már nem is esett
Nem a 7 órásnál kellene lenni?
Egyébként remélem 6:45-kor betalált a csapi, oszt 10 perec múlva már nem is esett
26.3, vagy 26.4 lesz a helyes Takt.
Közben megvolt a kerekített 28 fok is.
A Met-ész alapján 7 okta.
Közben megvolt a kerekített 28 fok is.
A Met-ész alapján 7 okta.
Reggel egyébként kérdés, hogy mikor volt csapadék, a(z elvileg 6:45-kor lemért) kéziben szerepel a 0,1 mm, az automata viszont ha jól emlékszem 6:50-kor váltott 0,1 mm-re. Mondjuk a 6:59-es észlelésben már nem volt jelenidő, úgyhogy valószínűbb, hogy 6:45-ig bezárólag jött össze az 1 tized.
Egy pillanatra eljátszottam a gondolattal, hogy betalálja az állomást, visszaveti a hőmérsékletet, mérhető mennyiségű csapadékot produkál, stb.... aztán felébredtem
Egy góc mintha irányban lenne délkelet felől... de nagyon lassú és nagyon messze van még
Elkészítettem az összefoglalót: Link
Télember hőmérsékleti tippjeit átírtam a megfelelő helyre a statisztika végett, még ha a tippre kisebb eséllyel kap csak pontot, bár végül is a 26 fokos Tmax-nak teljesen jó, sőt a 19 fokos Takt sem zárható ki, ha valami böszme zivatarcella sodródna oda véletlenül

Télember hőmérsékleti tippjeit átírtam a megfelelő helyre a statisztika végett, még ha a tippre kisebb eséllyel kap csak pontot, bár végül is a 26 fokos Tmax-nak teljesen jó, sőt a 19 fokos Takt sem zárható ki, ha valami böszme zivatarcella sodródna oda véletlenül
A napokban egyik nap rejtélyes módon hiányzott az állomás Tmax-a, a synopból is. Kezdetnek nem rossz
Na, az én "bármim", az nem.
Amúgy tényleg bármi.
Jut eszembe: nem akarjuk ezt a fordulót újrajátszani?
Ha nem, akkor már csak valami fatális katasztrófában bízhatok: valami, ami lehetetlenné teszi a mérést. Nem kell nagy kár: csak a mérőt üsse ki egy napra.
Amúgy tényleg bármi.
Jut eszembe: nem akarjuk ezt a fordulót újrajátszani?
Szerencse...Időm nem volt, de legalább ezért lesz gyenge a fordulóm, nem azért mert itt a piros, hol a pirost játszok a hőkkel 
Bár a helyzetet látva holnap bármi IS lehet
Bár a helyzetet látva holnap bármi IS lehet
Én pedig nem egyszerűen felcseréltem két hőmérsékletet, hanem az összeset össze-vissza pötyögtem be. 
Gondolom, ezzel a rafinált trükkel nem leszek dobogós.
Gondolom, ezzel a rafinált trükkel nem leszek dobogós.
Bátraké a szerencse! 
Én is változtattam, de akkor még 1,1-et írtak. Az 1,2-esem egy másik dimenzióban játszódott
Én is változtattam, de akkor még 1,1-et írtak. Az 1,2-esem egy másik dimenzióban játszódott
