Információk az előrejelzési versenyhez
Versenyinformációk
A VERSENYSZABÁLYZATÚj előrejelzés elküldése az előrejelzési versenybe
A legutóbbi forduló eredménye
A verseny összesített állása
A 3 kieső fordulót nem tartalmazó összesített lista
A synop-kódok értelmezéséhez egy kis segítség
Szélirány-meghatározáshoz segítség
Stelvio segítségével megjelenített összesített ranglista
Stelvio segítségével megjelenített örökranglista
Stelvio segítségével megjelenített dicsőséglista
A meteorológiai állomások elhelyezkedése
A meteorológiai állomások beosztása
Debrecenben az adott nap 19.50-ig van észlelés. A csapit az automata méri meg másnap reggel 6.45-ig? Amilyen medárdos ez a május...
Jöjjön egy újabb hétvégi forduló: látogassunk el Debrecenbe 30-án, vasárnap este 20 órakor (18 UTC).
Sok szerencsét mindenkinek!
Sok szerencsét mindenkinek!
Hasonló story: 1,2-est lekéstem, másnap 1,1-est kapkodva rejtekhelyről
Majd elfelejtettem módosítani.
Gratula a dobógosoknak, s elégedetteknek!
Gratula a dobógosoknak, s elégedetteknek!
Egy percem volt az 1,2-es határidőből, mikor eszembe jutott, úgyhogy modelleket nem nézve hasból, emlékezetből betippeltem valamit, persze sikerült pár másodperccel kicsúszni a szorzóból, utána meg elfelejtettem módosítani, meg is látszik.
Igen. Pontozok.
A fordulót első két helyén két 1.0-s tipp végzett, lesz_zuhéj nyerte a kört, Hidegcsepp95 követi őt. Gratulálok nekik és minden elégedettnek!
Forduló: Link
Összetett: Link
A következő kiíró Pestimet lesz. Szeretnénk kérni egy helyszínt és egy időpontot.
Választható helyszínek:
Bécs (Wien-Hohe Warte) [11035]
Békéscsaba [12992]
Budapest-Újpest [metnet-es észlelő]
Csíkszereda (Miercurea Ciuc) [15170]
Debrecen [12882]
Felcsút [metnet-es észlelő]
Kecskemét [12970]
Kékestető [12851]
Lomnici-csúcs (Lomnicky Stít) [11930]
Miskolc-Diósgyőr [12772]
Nagykanizsa [12925]
Pécs-Pogány [12942]
Siófok [metnet-es észlelő]
Sopron-Kurucdomb [nincs kódja]
Szeged [12982]
Szolnok [12860]
Szombathely [12812]
Zágráb-Maksimir [14240]
Meteorológiai állomások beosztása: Link
A fordulót első két helyén két 1.0-s tipp végzett, lesz_zuhéj nyerte a kört, Hidegcsepp95 követi őt. Gratulálok nekik és minden elégedettnek!
Forduló: Link
Összetett: Link
A következő kiíró Pestimet lesz. Szeretnénk kérni egy helyszínt és egy időpontot.
Választható helyszínek:
Bécs (Wien-Hohe Warte) [11035]
Békéscsaba [12992]
Budapest-Újpest [metnet-es észlelő]
Csíkszereda (Miercurea Ciuc) [15170]
Debrecen [12882]
Felcsút [metnet-es észlelő]
Kecskemét [12970]
Kékestető [12851]
Lomnici-csúcs (Lomnicky Stít) [11930]
Miskolc-Diósgyőr [12772]
Nagykanizsa [12925]
Pécs-Pogány [12942]
Siófok [metnet-es észlelő]
Sopron-Kurucdomb [nincs kódja]
Szeged [12982]
Szolnok [12860]
Szombathely [12812]
Zágráb-Maksimir [14240]
Meteorológiai állomások beosztása: Link
Szinte havazott is 
18 UTC után már csak csapadéknyom esett, maradt a 3 mm.
18 UTC után már csak csapadéknyom esett, maradt a 3 mm.
Olyan ez, mint az országhatár Röszkénél.
Északon hűvös, délen napos. Oszt pont Ma.ország felett válik ketté, nyugat-kelet...
Északon hűvös, délen napos. Oszt pont Ma.ország felett válik ketté, nyugat-kelet...
Jó kis egyszerű forduló ez... nagyjából minden paraméter olyan stabil, mint a forint!
Gratula a nyerteseknek, dobogósoknak!
Egy gyors kiesővel kezdtem, van hova feljönni
Egy gyors kiesővel kezdtem, van hova feljönni
Köszönjük Dávidnak a megfigyelést és az automata adatokat.
A fordulót lepontoztam, amit zeee és vizpók páros nyert. Gratulálok nekik és minden elégedettnek!
Forduló: Link
Összetett: Link
A következő kiíró BKrisz lesz. Szeretnénk kérni egy helyszínt és egy időpontot.
Választható helyszínek:
Bécs (Wien-Hohe Warte) [11035]
Békéscsaba [12992]
Budapest-Újpest [metnet-es észlelő]
Csíkszereda (Miercurea Ciuc) [15170]
Debrecen [12882]
Felcsút [metnet-es észlelő]
Kassa (Kosice) [11968]
Kecskemét [12970]
Kékestető [12851]
Lomnici-csúcs (Lomnicky Stít) [11930]
Miskolc-Diósgyőr [12772]
Nagykanizsa [12925]
Pécs-Pogány [12942]
Siófok [metnet-es észlelő]
Sopron-Kurucdomb [nincs kódja]
Szeged [12982]
Szolnok [12860]
Szombathely [12812]
Zágráb-Maksimir [14240]
Meteorológiai állomások beosztása: Link
A fordulót lepontoztam, amit zeee és vizpók páros nyert. Gratulálok nekik és minden elégedettnek!
Forduló: Link
Összetett: Link
A következő kiíró BKrisz lesz. Szeretnénk kérni egy helyszínt és egy időpontot.
Választható helyszínek:
Bécs (Wien-Hohe Warte) [11035]
Békéscsaba [12992]
Budapest-Újpest [metnet-es észlelő]
Csíkszereda (Miercurea Ciuc) [15170]
Debrecen [12882]
Felcsút [metnet-es észlelő]
Kassa (Kosice) [11968]
Kecskemét [12970]
Kékestető [12851]
Lomnici-csúcs (Lomnicky Stít) [11930]
Miskolc-Diósgyőr [12772]
Nagykanizsa [12925]
Pécs-Pogány [12942]
Siófok [metnet-es észlelő]
Sopron-Kurucdomb [nincs kódja]
Szeged [12982]
Szolnok [12860]
Szombathely [12812]
Zágráb-Maksimir [14240]
Meteorológiai állomások beosztása: Link
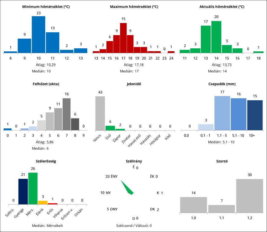
Tmin: 8,3 °C, Tmax: 15,8 °C.
Takt: 13,0 °C, mérsékelt Ny-i szél (280°, 14 csomó / 7,2 m/s), 7 okta felhő, jelenidő nem volt (de nem sokon múlt, most éppen csepereg kicsit).
Csapi 10 mm felett (6 UTC óta 12,2 mm).
Takt: 13,0 °C, mérsékelt Ny-i szél (280°, 14 csomó / 7,2 m/s), 7 okta felhő, jelenidő nem volt (de nem sokon múlt, most éppen csepereg kicsit).
Csapi 10 mm felett (6 UTC óta 12,2 mm).
Üdv újra itt mindenkinek
Megcsináltam az összefoglalót: Link
Van egy tipp, ahol a Tmin és Tmax fel lett cserélve, ezt én átcseréltem a statisztikában, így benne van, még akkor is ha pontot várhatóan nem fog érni. (De ha mégis sikerül az illetőnek a Tmax-ra így pontot szerezni, akkor vendégem egy hideg sörre, vagy nem tudom, valami ilyesmi
)
Van egy tipp, ahol a Tmin és Tmax fel lett cserélve, ezt én átcseréltem a statisztikában, így benne van, még akkor is ha pontot várhatóan nem fog érni. (De ha mégis sikerül az illetőnek a Tmax-ra így pontot szerezni, akkor vendégem egy hideg sörre, vagy nem tudom, valami ilyesmi

Az utolsó percek egyikében azért csak sikerült leadnom. Hajrá 2021-es nyári verseny!
Egy apró megjegyzés, a szél erősségének utólagos változtatása esetén, a szél iránya automatikusan visszaugrik DK-re, erre figyeljetek tipp leadásnál. Ha nem nagy macera talán megér egy fejlesztői javítást.
Most jutott eszembe hogy....

Ez is jól kezdődik. Utóljára 19 óra körül jutott eszembe, majd jött egy üzenet és.....
Ez is jól kezdődik. Utóljára 19 óra körül jutott eszembe, majd jött egy üzenet és.....
Holnap este 8-ig 1.2-es, itt vagytok, figyeltek? 
Tiszták a lapok, bárki megnyerheti a nyári kört, adjatok bele apait-anyait, hajrá
Tiszták a lapok, bárki megnyerheti a nyári kört, adjatok bele apait-anyait, hajrá
Csak egy apró pontosítás, ez valójában a 37. sorozat lesz, igaz a 8-nak és a 10-nek nincs meg az eredménye az archívumban. Ma befejezem az összetett és az örökranglista frissítését is, így napokon belül talán az is frissülhet.
Mindeközben a szabályzat is frissült: Link
A lényeges változás: A 2021. évi nyári versenykörtől kezdődően tovább finomítjuk, pontosítjuk a szélirány és szélsebesség tippelését, illetve pontozását.
Az észlelési gyakorlathoz igazodva a szélcsend erősséghez a továbbiakban irányt nem lehet hozzárendelni, tekintettel arra, hogy a szélcsendnek nincs iránya. Szélcsend észlelésekor a szélcsendet tippelők 4 pontot kapnak, a gyenge - bármilyen irányú - szelet előrejelzők 1 pontot, egyéb szélerősség tippelése esetén nem jár pont.
Változó irányú szél észlelése esetén a változó irányt tippelők az irányra a maximális 2 pontot kapják, bármilyen egyéb határozott irányú tipp esetén az irányra nem jár pont. Ez fordítva is igaz, határozott irányú szél észlelése esetén a változó irányt tippelők az irányra nem kapnak pontot.
Ezt tippleadáskor tapasztalni is fogjátok, mivel szélcsend erősségnél már eleve nem enged irányt választani a rendszer.
Emellett a helyszíneknél feltüntettük az adatok forrását is, hogy a lehető legkevesebb félreértésre okot adó helyzet maradhasson. Bízunk az alapvetően izgalmas, de szervezői és fejlesztői szempontból unalmas versenykörben
A lényeges változás: A 2021. évi nyári versenykörtől kezdődően tovább finomítjuk, pontosítjuk a szélirány és szélsebesség tippelését, illetve pontozását.
Az észlelési gyakorlathoz igazodva a szélcsend erősséghez a továbbiakban irányt nem lehet hozzárendelni, tekintettel arra, hogy a szélcsendnek nincs iránya. Szélcsend észlelésekor a szélcsendet tippelők 4 pontot kapnak, a gyenge - bármilyen irányú - szelet előrejelzők 1 pontot, egyéb szélerősség tippelése esetén nem jár pont.
Változó irányú szél észlelése esetén a változó irányt tippelők az irányra a maximális 2 pontot kapják, bármilyen egyéb határozott irányú tipp esetén az irányra nem jár pont. Ez fordítva is igaz, határozott irányú szél észlelése esetén a változó irányt tippelők az irányra nem kapnak pontot.
Ezt tippleadáskor tapasztalni is fogjátok, mivel szélcsend erősségnél már eleve nem enged irányt választani a rendszer.
Emellett a helyszíneknél feltüntettük az adatok forrását is, hogy a lehető legkevesebb félreértésre okot adó helyzet maradhasson. Bízunk az alapvetően izgalmas, de szervezői és fejlesztői szempontból unalmas versenykörben
Link
Indul a mandula, kezdődik a 34. MetNet előrejelzési verseny! Új verseny, új esélyek, irány a nyári szezon! A szabályok csak kis mértékben változtak (részletek hamarosan a szabályzatban: Link ), az izgalmak fokozódnak, ismét megkezdődik a hajsza a győzelemért! Az első fordulóban máris egy olyan helyszín következik, amely mindig szolgáltat kisebb-nagyobb meglepetéseket: Budapest Liszt Ferenc Nemzetközi Repülőtér prezentálja a nyitóforduló helyszínét, az időpontot pedig az előző verseny ezüstérmese, "MacBook" jelölte ki: 2021. május 17., hétfő 20 óra (18 UTC). Az 1,2-es szorzójú tippek leadási határideje: 2021. május 14., péntek 20 óra (18 UTC). Versenyre fel!
• A beküldési határidő: 2021. május 16., vasárnap, 20:00
Indul a mandula, kezdődik a 34. MetNet előrejelzési verseny! Új verseny, új esélyek, irány a nyári szezon! A szabályok csak kis mértékben változtak (részletek hamarosan a szabályzatban: Link ), az izgalmak fokozódnak, ismét megkezdődik a hajsza a győzelemért! Az első fordulóban máris egy olyan helyszín következik, amely mindig szolgáltat kisebb-nagyobb meglepetéseket: Budapest Liszt Ferenc Nemzetközi Repülőtér prezentálja a nyitóforduló helyszínét, az időpontot pedig az előző verseny ezüstérmese, "MacBook" jelölte ki: 2021. május 17., hétfő 20 óra (18 UTC). Az 1,2-es szorzójú tippek leadási határideje: 2021. május 14., péntek 20 óra (18 UTC). Versenyre fel!
• A beküldési határidő: 2021. május 16., vasárnap, 20:00
Megszületett, a nyári kör első fordulója legyen Ferihegyen jövő hét hétfőn: 2021. május 17. 20 óra (18 UTC).
Mivel csak a fordulót este tudjuk kiírni (fejlesztés miatt) így kérlek jövőhét elejei időpontban gondolkodjatok majd.
Hellobello! Egyeztetek az észlelővel, egy választ várok és utána megírom a helyszínt és időpontot. Remélhetőleg néhány órán belül.
Igen, rég járt az oldalon is, úgyhogy a 2. helyezett MacBook lép a helyébe első körben, ő mára ígérte a helyszínt és az időpontot.
Kicsit vontatott a kezdés, de reméljük, ezzel a nehézségek dandárját le is tudjuk a szezonra
Kicsit vontatott a kezdés, de reméljük, ezzel a nehézségek dandárját le is tudjuk a szezonra
Herbary legutóbb is lemondott a helyszín-jogáról, és szerintem most is ez lesz, miután már két napja várunk
Kornélt kiegészítve egy kicsit:
A 2021. évi nyári versenykör 20 versenyfordulójának helyszínei:
Helyszín [állomáskód]
Bécs (Wien-Hohe Warte) [11035]
Békéscsaba [12992]
Budapest Liszt Ferenc Nemzetközi Repülőtér [lhbp]
Budapest-Újpest [metnet-es észlelő]
Csíkszereda (Miercurea Ciuc) [15170]
Debrecen [12882]
Felcsút [metnet-es észlelő]
Kassa (Kosice) [11968]
Kecskemét [12970]
Kékestető [12851]
Lomnici-csúcs (Lomnicky Stít) [11930]
Miskolc-Diósgyőr [12772]
Nagykanizsa [12925]
Pécs-Pogány [12942]
Siófok [metnet-es észlelő]
Sopron-Kurucdomb [nincs kódja]
Szeged [12982]
Szolnok [12860]
Szombathely [12812]
Zágráb-Maksimir [14240]
Meteorológiai állomások beosztása elérhető a szokásos linken: Link
Herbary várjuk szeretettel akkor az első forduló helyszínét és időpontját.
A 2021. évi nyári versenykör 20 versenyfordulójának helyszínei:
Helyszín [állomáskód]
Bécs (Wien-Hohe Warte) [11035]
Békéscsaba [12992]
Budapest Liszt Ferenc Nemzetközi Repülőtér [lhbp]
Budapest-Újpest [metnet-es észlelő]
Csíkszereda (Miercurea Ciuc) [15170]
Debrecen [12882]
Felcsút [metnet-es észlelő]
Kassa (Kosice) [11968]
Kecskemét [12970]
Kékestető [12851]
Lomnici-csúcs (Lomnicky Stít) [11930]
Miskolc-Diósgyőr [12772]
Nagykanizsa [12925]
Pécs-Pogány [12942]
Siófok [metnet-es észlelő]
Sopron-Kurucdomb [nincs kódja]
Szeged [12982]
Szolnok [12860]
Szombathely [12812]
Zágráb-Maksimir [14240]
Meteorológiai állomások beosztása elérhető a szokásos linken: Link
Herbary várjuk szeretettel akkor az első forduló helyszínét és időpontját.
A változások, fejlesztések folyamatban vannak, ám ezek várhatóan a napokban elkészülnek, ezért nincs akadálya annak, hogy megnyissuk a MetNet előrejelzési versenyének 2021. évi nyári versenykörét 
Ahogy most már hagyományosan lenni szokott, ezúttal is az előző kör győztese, azaz herbary választhat először időpontot és helyszínt. Jövő hét vége felé várjuk az első időpontot és a kiválasztott helyszínt.
A szabályzat frissítése is folyamatban van, ahogy megvagyunk mindennel, leírjuk a változások részleteit. Hajrá mindenkinek, régi és új versenyzőket toborozni ér!
Ahogy most már hagyományosan lenni szokott, ezúttal is az előző kör győztese, azaz herbary választhat először időpontot és helyszínt. Jövő hét vége felé várjuk az első időpontot és a kiválasztott helyszínt.
A szabályzat frissítése is folyamatban van, ahogy megvagyunk mindennel, leírjuk a változások részleteit. Hajrá mindenkinek, régi és új versenyzőket toborozni ér!
Sziasztok!
A téli kör során tapasztalt problémás esetek egyértelműsítése folyamatban van, de mivel fejlesztői erőforrást is igényelnek a változások, így a nyári kör kezdése kicsit csúszni fog, várhatóan a hónap közepén indulunk. A változások a verseny igazságosságának fokozását szolgálják, a részletekkel jönni fogunk, amint sikerül a technikai részét is megoldani. A türelmeteket köszönjük, fogjuk fel ezt a hangulat fokozásának
A téli kör során tapasztalt problémás esetek egyértelműsítése folyamatban van, de mivel fejlesztői erőforrást is igényelnek a változások, így a nyári kör kezdése kicsit csúszni fog, várhatóan a hónap közepén indulunk. A változások a verseny igazságosságának fokozását szolgálják, a részletekkel jönni fogunk, amint sikerül a technikai részét is megoldani. A türelmeteket köszönjük, fogjuk fel ezt a hangulat fokozásának
