Információk az előrejelzési versenyhez
Versenyinformációk
A VERSENYSZABÁLYZATÚj előrejelzés elküldése az előrejelzési versenybe
A legutóbbi forduló eredménye
A verseny összesített állása
A 3 kieső fordulót nem tartalmazó összesített lista
A synop-kódok értelmezéséhez egy kis segítség
Szélirány-meghatározáshoz segítség
Stelvio segítségével megjelenített összesített ranglista
Stelvio segítségével megjelenített örökranglista
Stelvio segítségével megjelenített dicsőséglista
A meteorológiai állomások elhelyezkedése
A meteorológiai állomások beosztása
Sziasztok!
A 3. fordulóban is a Dunántúlon maradva, lássuk Pécs időjárását 2022. május 24-én (kedden) reggel 8 órakor (06 UTC)!
Sok szerencsét mindenkinek!
A 3. fordulóban is a Dunántúlon maradva, lássuk Pécs időjárását 2022. május 24-én (kedden) reggel 8 órakor (06 UTC)!
Sok szerencsét mindenkinek!
Gratulálok én is minden elégedettnek
A kiíráskor még egészen más idő nézett ki tegnap estére, de hát éppen ezt a kiszámíthatatlanságot szeretjük az időjárásban
Nekem nem igazán jött össze ez a forduló, a bajnokság viszont még csak most kezdődik!
Ami kimaradt: legnagyobb gratuláció Brighty-nak a helyszín és időpontválasztásért. Telitalálat volt
Köszönöm, én is gratulálok a jól szereplőknek.
Több hajszálon múló győzelem lett, de a legnagyobb hajszál az volt, hogy sikerült megállni a módosítást 1,0-val a nyílvánvalóan magas Tmin-em ellenére. Jól tettem, hogy nem tettem
Több hajszálon múló győzelem lett, de a legnagyobb hajszál az volt, hogy sikerült megállni a módosítást 1,0-val a nyílvánvalóan magas Tmin-em ellenére. Jól tettem, hogy nem tettem
Tullner_Job és met4ever duó nyerte a soproni fordulót. Gratulálok nekik! 
Forduló: Link
Összetett: Link
A következő kiíró Pestimet lesz, így szeretnénk kérni egy helyszínt és egy időpontot.
Választható helyszínek:
Bécs (Wien-Hohe Warte) [11035]
Békéscsaba [12992]
Budapest-Újpest [metnet-es észlelő]
Csíkszereda (Miercurea Ciuc) [15170]
Debrecen [12882]
Felcsút [metnet-es észlelő]
Kassa (Kosice) [11968]
Kecskemét [12970]
Kékestető [12851]
Lomnici-csúcs (Lomnicky Stít) [11930]
Miskolc-Diósgyőr [12772]
Nagykanizsa [12925]
Pécs-Egyetem [38528]
Siófok [metnet-es észlelő]
Szeged [12982]
Szolnok [12860]
Szombathely [12812]
Zágráb-Maksimir [14240]
Meteorológiai állomások beosztása: Link
Forduló: Link
Összetett: Link
A következő kiíró Pestimet lesz, így szeretnénk kérni egy helyszínt és egy időpontot.
Választható helyszínek:
Bécs (Wien-Hohe Warte) [11035]
Békéscsaba [12992]
Budapest-Újpest [metnet-es észlelő]
Csíkszereda (Miercurea Ciuc) [15170]
Debrecen [12882]
Felcsút [metnet-es észlelő]
Kassa (Kosice) [11968]
Kecskemét [12970]
Kékestető [12851]
Lomnici-csúcs (Lomnicky Stít) [11930]
Miskolc-Diósgyőr [12772]
Nagykanizsa [12925]
Pécs-Egyetem [38528]
Siófok [metnet-es észlelő]
Szeged [12982]
Szolnok [12860]
Szombathely [12812]
Zágráb-Maksimir [14240]
Meteorológiai állomások beosztása: Link
Sajnos csak nyomnyi csapadék lett.
Így azért nem lesz túl fényes, az elején még ígéretesnek tűnő forduló. Na, mindegy, még nagyon az elején vagyunk.

Így azért nem lesz túl fényes, az elején még ígéretesnek tűnő forduló. Na, mindegy, még nagyon az elején vagyunk.
Kb. 5 km-re vagyok a Kurucdombtól. Nálam jelenidő nincs, felhőzet 7 okta, hőmérséklet 21,6°C. Meglátjuk majd a szakik mit észlelnek a dombon.
Összfelhőzet: 6 okta
Jelenidő: Nincs
T min: 13,5°C
T akt: 23,3°C az 50-es erről lentebb ott a kép is. MET-ÉSZ-re 40-es ment be.
T max: 27,3°C
Szélirány: 318° (északnyugati)
Erőssége: 2,1 m/s (gyenge)
Csapadék eddig nem volt
Jelenidő: Nincs
T min: 13,5°C
T akt: 23,3°C az 50-es erről lentebb ott a kép is. MET-ÉSZ-re 40-es ment be.
T max: 27,3°C
Szélirány: 318° (északnyugati)
Erőssége: 2,1 m/s (gyenge)
Csapadék eddig nem volt

Elérte a hat oktát a felhőzet. Távolról halk dörgés hallatszik. Még fél óra van este nyolcig.
Köszi!
Jó lett volna pedig 2 tizeddel magasabb kilengés
Még jó, hogy nem módositottam az 1,2-est a magas Tmin miatt, mert a Tmax-ot meg valósz. 28-ról 29-re módosítottam volna...
Az osztrák zivatarból elég lenne némi ülő, pl. olyan 6 oktányi
Jó lett volna pedig 2 tizeddel magasabb kilengés
Még jó, hogy nem módositottam az 1,2-est a magas Tmin miatt, mert a Tmax-ot meg valósz. 28-ról 29-re módosítottam volna...
Az osztrák zivatarból elég lenne némi ülő, pl. olyan 6 oktányi
Szia Tamás,
27.3°C lett a Tmax végül, így maradt a 27. Azóta süllyedőben és még kérdéses, hogy eljut-e odáig az osztrák zivatar. Izgi..
(asszem nekem is bele kell húznom a verseny további részében)
27.3°C lett a Tmax végül, így maradt a 27. Azóta süllyedőben és még kérdéses, hogy eljut-e odáig az osztrák zivatar. Izgi..
(asszem nekem is bele kell húznom a verseny további részében)
A 27.5°C vajh azota meglett-e... 10 perceseken nem láttam kerekített 28 fokot eddig.
Hát ebből lehet, nem lesz sehogy 12 fok hajnalra. 
Összefoglalózni most nem fogok tudni, de ahogy nézem, egész egységesnek tűnnek a tippek a szélirányt meg a felhőzetet leszámítva.
Összefoglalózni most nem fogok tudni, de ahogy nézem, egész egységesnek tűnnek a tippek a szélirányt meg a felhőzetet leszámítva.
Tmin-nel nagyon elszálltam, magasabb harmatpontra és maradványfelhőzetre számítva, de aztán végül nem módosítottam, mert jó pár bizonytalan tényező van még a fordulóban. Ha 13,5°C alá nem menne a T reggelig, azzal már maximaláisan elégedett lennék ebben a száraz levegőben....
Szeretném felhívni a kedves versenytársak figyelmét, hogy kevesebb mint 24 óra maradt az 1,2-es szorzóból.
Szép hétfőt mindenkinek! 
Meghívnám a csapatot egy virtuális túrára egyik kedvenc kirándulóhelyemre, kellemes tavaszi idő keretei között.
A 2. forduló tehát: Sopron, 2022. május 16. hétfő 20:00 (18 UTC)
Meghívnám a csapatot egy virtuális túrára egyik kedvenc kirándulóhelyemre, kellemes tavaszi idő keretei között.
A 2. forduló tehát: Sopron, 2022. május 16. hétfő 20:00 (18 UTC)
Kizo barátommal egyet értettünk, majdnem lett jelenidő, Pakstól keletre - Kalocsától északra volt egy kis zöldület.
Link
Link
Gratula!
És üdv mindenkinek az új szezonban! 
Ejj, pedig de közel járt az a hajnali csapadék az állomáshoz...!
Ejj, pedig de közel járt az a hajnali csapadék az állomáshoz...!
Woow mekkora szerencsém volt.
Köszönöm szépen, ez most egy kicsit kárpótolt az elmúlt szezonok pocsékabbnál pocsékabb fordulóiért.
Köszönöm szépen, ez most egy kicsit kárpótolt az elmúlt szezonok pocsékabbnál pocsékabb fordulóiért.
A paksi nyitófordulót Misimókus nyerte! Gratulálok neki!
Forduló: Link
Összetett: Link
A következő kiíró Brighty lesz, így szeretnénk kérni egy helyszínt és egy időpontot.
Választható helyszínek:
Bécs (Wien-Hohe Warte) [11035]
Békéscsaba [12992]
Budapest-Újpest [metnet-es észlelő]
Csíkszereda (Miercurea Ciuc) [15170]
Debrecen [12882]
Felcsút [metnet-es észlelő]
Kassa (Kosice) [11968]
Kecskemét [12970]
Kékestető [12851]
Lomnici-csúcs (Lomnicky Stít) [11930]
Miskolc-Diósgyőr [12772]
Nagykanizsa [12925]
Pécs-Egyetem [38528]
Siófok [metnet-es észlelő]
Sopron-Kurucdomb [nincs kódja]
Szeged [12982]
Szolnok [12860]
Szombathely [12812]
Zágráb-Maksimir [14240]
Meteorológiai állomások beosztása: Link
Forduló: Link
Összetett: Link
A következő kiíró Brighty lesz, így szeretnénk kérni egy helyszínt és egy időpontot.
Választható helyszínek:
Bécs (Wien-Hohe Warte) [11035]
Békéscsaba [12992]
Budapest-Újpest [metnet-es észlelő]
Csíkszereda (Miercurea Ciuc) [15170]
Debrecen [12882]
Felcsút [metnet-es észlelő]
Kassa (Kosice) [11968]
Kecskemét [12970]
Kékestető [12851]
Lomnici-csúcs (Lomnicky Stít) [11930]
Miskolc-Diósgyőr [12772]
Nagykanizsa [12925]
Pécs-Egyetem [38528]
Siófok [metnet-es észlelő]
Sopron-Kurucdomb [nincs kódja]
Szeged [12982]
Szolnok [12860]
Szombathely [12812]
Zágráb-Maksimir [14240]
Meteorológiai állomások beosztása: Link
"Az aktuális hőmérsékletnél az előrejelzési időpontra vonatkozó éppen mért hőmérséklet várható értékét kell megadni egész fokokra kerekítve. A kerekítésnél arra kell vigyázni, hogy klimatológiai okokból a meteorológiában az 5 tizedet mindig a páros szám felé kell kerekíteni. Tehát az 1,5 fok kerekítve 2 fok, de pl. 4,5 fok kerekítve 4 fok! Ugyanez érvényes a minimum- és a maximum-hőmérsékletnél is."
22 óra után volt a környéken egy zápor, kérdés, hogy megvolt e a 0,1 mm. A másik dolog, a 23,5 fok, az most 24, vagy 23 fok?
Összfelhőzet: 6 okta
Jelenidő: Nincs
T min: 9,0°C
T akt: 23,0°C
T max: 23,5°C
Szélirány: 40° (északkeleti)
Erőssége: 3 m/s (gyenge)
Csapadék: Eddig nem volt.
Ha a csapadék is nullán marad, amire egész jó esély van, akkor teljesen elégedett leszek a nyitással.
Jelenidő: Nincs
T min: 9,0°C
T akt: 23,0°C
T max: 23,5°C
Szélirány: 40° (északkeleti)
Erőssége: 3 m/s (gyenge)
Csapadék: Eddig nem volt.
Ha a csapadék is nullán marad, amire egész jó esély van, akkor teljesen elégedett leszek a nyitással.
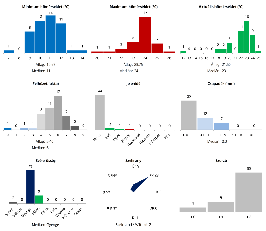
Üdv itt újra mindenkinek, elkészült az első forduló összefoglalója
Link
(A Takt-nál van egy nullás érték, az nem szerepel a diagramon.)
Most egész sok, 48 tipp lett leadva, remélem sokan kitartanak a folytatásban is.
(A Takt-nál van egy nullás érték, az nem szerepel a diagramon.)
Most egész sok, 48 tipp lett leadva, remélem sokan kitartanak a folytatásban is.

Valami gond lehet a rendszerrel, mert ma leadta ugyanazt a tippet magától, mint amit tegnap, 1,1-sel leadtam. Megoldható, hogy az eredetit vegye figyelembe a rendszer?
Sziasztok, visszatértem a versenybe. Idén szeretnék minden fordulóban részt venni, az 1,2-es leadva
