Információk az előrejelzési versenyhez
Versenyinformációk
A VERSENYSZABÁLYZATÚj előrejelzés elküldése az előrejelzési versenybe
A legutóbbi forduló eredménye
A verseny összesített állása
A 3 kieső fordulót nem tartalmazó összesített lista
A synop-kódok értelmezéséhez egy kis segítség
Szélirány-meghatározáshoz segítség
Stelvio segítségével megjelenített összesített ranglista
Stelvio segítségével megjelenített örökranglista
Stelvio segítségével megjelenített dicsőséglista
A meteorológiai állomások elhelyezkedése
A meteorológiai állomások beosztása
Oké, Da!
Kerestem vissza a Luca napi éves előrejelzésemet, de még keresem..
Szóval az van benne, hogy " ájtaljánba" jan. 21. Ágnes nap elég csúnya szokott lenni,
meg a Január zuhan lefelé a minusz létrán.
Előlegként kaphatunk egy kis téli bejátszást Kurucdombról, de még a java hátra van --> Február.
Kerestem vissza a Luca napi éves előrejelzésemet, de még keresem..
Szóval az van benne, hogy " ájtaljánba" jan. 21. Ágnes nap elég csúnya szokott lenni,
Előlegként kaphatunk egy kis téli bejátszást Kurucdombról, de még a java hátra van --> Február.
Félidő, átmenet a télbe. Az időponthoz ; dögöljön meg a szomszéd lova is.
[a politika megnyilvánulások továbbra sem erre az oldalra valók bubu! legyél szíves kerülni az ilyen megnyilvánulásokat! köszönjük! - imi]
[a politika megnyilvánulások továbbra sem erre az oldalra valók bubu! legyél szíves kerülni az ilyen megnyilvánulásokat! köszönjük! - imi]
Gratula a győztes kvartettnek! 
A minimumot leszámítva nekem sem lett rossz fordulóm, de arra az idő előtt Ferihegyre bekúszó sztrátuszra azóta is sziszegek...
Igaz, már a lengedező délies szél is gátolta a lehűlést akkor
A minimumot leszámítva nekem sem lett rossz fordulóm, de arra az idő előtt Ferihegyre bekúszó sztrátuszra azóta is sziszegek...
Gratulálok a nyerteseknek!
Szép kis idöpontot sikerült kiválasztani a köv. fordulóra. Gratula!
Szép kis idöpontot sikerült kiválasztani a köv. fordulóra. Gratula!
Deco05, jocika8627, Gordonka, satya nyerték a ferihegyi fordulót. Gratulálok nekik! 
Forduló: Link
Összetett: Link
Elérkezünk a verseny feléhez, így egy félidős forduló kiírását szeretnénk kérni hófúvástól.
Választható helyszínek:
Békéscsaba [12992]
Budapest-Újpest [metnet-es észlelő]
Debrecen [12882]
Felcsút [metnet-es észlelő]
Kecskemét [12970]
Lomnici-csúcs (Lomnicky Stít) [11930]
Paks [12950]
Siófok [metnet-es észlelő]
Sopron-Kurucdomb [13704]
Szeged [12982]
Szolnok [12860]
Meteorológiai állomások beosztása: Link
Forduló: Link
Összetett: Link
Elérkezünk a verseny feléhez, így egy félidős forduló kiírását szeretnénk kérni hófúvástól.
Választható helyszínek:
Békéscsaba [12992]
Budapest-Újpest [metnet-es észlelő]
Debrecen [12882]
Felcsút [metnet-es észlelő]
Kecskemét [12970]
Lomnici-csúcs (Lomnicky Stít) [11930]
Paks [12950]
Siófok [metnet-es észlelő]
Sopron-Kurucdomb [13704]
Szeged [12982]
Szolnok [12860]
Meteorológiai állomások beosztása: Link
Sokat vaciláltam a 7 és 8 okta között. Végül a 8 mellett döntöttem, hogy majd az összefüggő Cs megoldja, ha baj lenne. De azt meg az épphogy felszakadó stratuson keresztül látni...
9 UTC: 7 okta (éppen akkor kezdett kiszakadni a St...), 4,1 °C, mérsékelt DK-i szél.
Hát, ez nagy szopacs nekem... Túlságosan keleties a légmozgás. Tisztán déli áramlásnál talán nem, vagy csak jóval később kúszik be ez a f.s stratus... 
Így "sokra" mentem vele, hogy fagyzugos helyen van az állomás...
Így "sokra" mentem vele, hogy fagyzugos helyen van az állomás...
Közben 5 m/s-ra erősödő átlagszél mellett +1 fokra lehuppantunk újra. Nincs túl messze a Duna menti -1, -2 fokos sáv, de legalább a +0,5°C-ot megcsíphetnénk, ha itt fagyni nem is tud ma....
21:30 3 751.6 765.8 93 Wind blowing from the south-east Gentle breeze (4 m/s)patchy fog, mist
3 fok. Na ezek szerint beindult 9 után a melegfront.
3 fok. Na ezek szerint beindult 9 után a melegfront.
Alighanem nekem is jobban kellene figyelnem, mert ha már az OMSZ előrére vetemedtem, Budapest alatt nem egy külterületi pusztára adják az előrét, hanem valami jó hőszigetelt helyre (Kitaibel u. Újpest,Pestlőrinc stb.) adják ki. Ha már bukta a minimum az a jó ha vastagon lekváros...
Persze a magyarnak a káröröm a legszebb, úgy látom már csak az egy fokot adók örülhetnek, mert este nyolckor már 2 fok. Itt este 7-re fagypont alá is benézett a T(egy csapásra két fagyos nap lett, hisz a szabál szerint a holnapi nap is fagyos ezzel), most meg már 4 fokkal melegebb van. Mi lett volna vajon Liszten, ha a felhők pár órával előbb odaérnek (vagy pár órát késnek) ?
Persze a magyarnak a káröröm a legszebb, úgy látom már csak az egy fokot adók örülhetnek, mert este nyolckor már 2 fok. Itt este 7-re fagypont alá is benézett a T(egy csapásra két fagyos nap lett, hisz a szabál szerint a holnapi nap is fagyos ezzel), most meg már 4 fokkal melegebb van. Mi lett volna vajon Liszten, ha a felhők pár órával előbb odaérnek (vagy pár órát késnek) ?
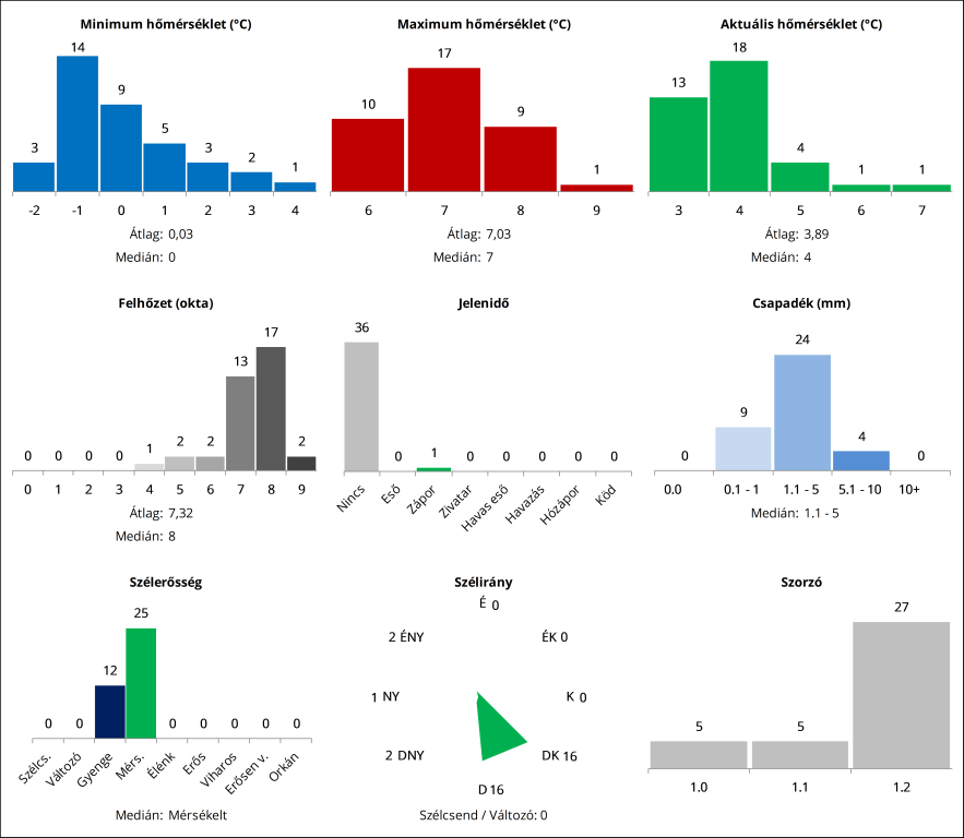
Elkészült az összefoglaló.
Link
Stabil fordulónak tűnik, sok 1.2-es tippel és kevés szórással. Aztán lehet, szokás szerint megint majd a minimum fog megtréfálni mindenkit.
Stabil fordulónak tűnik, sok 1.2-es tippel és kevés szórással. Aztán lehet, szokás szerint megint majd a minimum fog megtréfálni mindenkit.

Nem a reptér játszik?
Ha igen, cummantás lesz, már csak 1°C van
Oszt felhők még sehun, legalább ködöljön be
Ha igen, cummantás lesz, már csak 1°C van
Oszt felhők még sehun, legalább ködöljön be
Alighanem valamit nagyon benéztem (vagy nem az OMSZ-ot kellett volna néznem), mert csak 8-an várunk 0 fok feletti minimumot és az én 4 fokom a csúcstartó. Van aki szerint eső sem lesz 1 mm-nél több viszont a jelenidő kizárt, csak 1 zápor van. A többi paraméterben a szóródás nem olyan nagy, beleférek az átlagba ,nem leszek az utolsók közt talán.
Hát talán igen, hisz 10-ig lehetett leadni, és ha pont addig adod le az még belefér
Legalább is én megadnám neked
Legalább is én megadnám neked
Hát te mindig nagyon kicentized
Legközelebbi visszaigazolásodon 5 mp-cel kevesebb lesz majd
Legközelebbi visszaigazolásodon 5 mp-cel kevesebb lesz majd
Ja, hogy 10-ig...
Feladva: 2023-01-12 10:00:04
Teljesen véletlenszerüen kitöltve, 0 átnézéssel sem fértem bele az 1,2-be, ez már valami
Feladva: 2023-01-12 10:00:04
Teljesen véletlenszerüen kitöltve, 0 átnézéssel sem fértem bele az 1,2-be, ez már valami
Last minute lett...
Illetve úgy 6-7 perce villant be, hogy határidő van, szóval kicsit kapkodós lett a tipp, majd meglátjuk, mire lesz jó!
Illetve úgy 6-7 perce villant be, hogy határidő van, szóval kicsit kapkodós lett a tipp, majd meglátjuk, mire lesz jó!
Na akkor hajrá, még bő két és fél óra van az egykettesből, még nem késő leadni a nyerő tippet
Zivipötty pedig nem jelezte felénk, hogy vállalja a versenyben az észlelést Ferihegyről, így más ember után kellett néznünk. Egyeztetek vele, hogy akkor mizu.
Zivipöttyel egyeztettem, hh mégse jó az időpont?
Ha ezek ellenére nem választható a reptér, akkor legyen Sopron 2023. január 14. 10 UTC.
Ha ezek ellenére nem választható a reptér, akkor legyen Sopron 2023. január 14. 10 UTC.
Nem választható az időpont. Nem lesz benn észlelő, akivel a kapcsolatot fel tudjuk venni...
Gratulálok Herbary-nak a gyözelemhez.
A Tmin témához: a ZAMG-os T-görbe alapján 18UTC környékén folyamatosan emelkedett a T. Igy ha az épp 18 UTC-s 7.5 fokos értéket nem számitották bele a minimumba, az azt követö mérésen már ennél magasabb T lehetett (7.6°C), s innen kezdték a minimum számitást. A korábban megjelenö, majd felülirt 7.3-es érték pedig közvetlenül 18 UTC elöttröl származhatott (17:40 - 17:50 UTC környéke), s elsö körben ez került be a synop táviratba, majd iródott kesöbb felül a 18 UTC utántól kezdödö periodus magasabb értékével. Ugy tünik, Ausztriában is vannak kavarok....
A Tmin témához: a ZAMG-os T-görbe alapján 18UTC környékén folyamatosan emelkedett a T. Igy ha az épp 18 UTC-s 7.5 fokos értéket nem számitották bele a minimumba, az azt követö mérésen már ennél magasabb T lehetett (7.6°C), s innen kezdték a minimum számitást. A korábban megjelenö, majd felülirt 7.3-es érték pedig közvetlenül 18 UTC elöttröl származhatott (17:40 - 17:50 UTC környéke), s elsö körben ez került be a synop táviratba, majd iródott kesöbb felül a 18 UTC utántól kezdödö periodus magasabb értékével. Ugy tünik, Ausztriában is vannak kavarok....
Herbary nyerte a fordulót. Gratulálok neki!
Forduló: Link
Összetett: Link
MacBook a következő kiíró, így szeretnénk kérni egy helyszínt és egy időpontot.
Választható helyszínek:
Békéscsaba [12992]
Budapest Liszt Ferenc nemzetközi repülőtér [lhbp]
Budapest-Újpest [metnet-es észlelő]
Debrecen [12882]
Felcsút [metnet-es észlelő]
Kecskemét [12970]
Lomnici-csúcs (Lomnicky Stít) [11930]
Paks [12950]
Siófok [metnet-es észlelő]
Sopron-Kurucdomb [13704]
Szeged [12982]
Szolnok [12860]
Meteorológiai állomások beosztása: Link
Forduló: Link
Összetett: Link
MacBook a következő kiíró, így szeretnénk kérni egy helyszínt és egy időpontot.
Választható helyszínek:
Békéscsaba [12992]
Budapest Liszt Ferenc nemzetközi repülőtér [lhbp]
Budapest-Újpest [metnet-es észlelő]
Debrecen [12882]
Felcsút [metnet-es észlelő]
Kecskemét [12970]
Lomnici-csúcs (Lomnicky Stít) [11930]
Paks [12950]
Siófok [metnet-es észlelő]
Sopron-Kurucdomb [13704]
Szeged [12982]
Szolnok [12860]
Meteorológiai állomások beosztása: Link
Most miért kell dekázni , 5,2 vagy 5 mm. Annyi mint 1,1-5 az 5 höz áll közelebb, igy is csak1 pont. Hanem olvasom a zmagon tegnapi aktuel hohe wartén 30-35 km/ óra szél. Ez hova illik a m/sec tabellában? Bővitsük már a rendszabályt km/ órával, ez jobban passzol mint a Megajuile/m3./ pengő./forint.
Link
Link
Na, tessék! Véletlenül elfelejtettem kitölteni a felhőfedettséget, és milyen jól jöttem ki belőle
Beszélünk mi itt 5-10 napos előrejelzésekről, amikor a modellek 2 napra nem tudják eltalálni, ráadásul 3 modell sem...

