Információk az előrejelzési versenyhez
Versenyinformációk
A VERSENYSZABÁLYZATÚj előrejelzés elküldése az előrejelzési versenybe
A legutóbbi forduló eredménye
A verseny összesített állása
A 3 kieső fordulót nem tartalmazó összesített lista
A synop-kódok értelmezéséhez egy kis segítség
Szélirány-meghatározáshoz segítség
Stelvio segítségével megjelenített összesített ranglista
Stelvio segítségével megjelenített örökranglista
Stelvio segítségével megjelenített dicsőséglista
A meteorológiai állomások elhelyezkedése
A meteorológiai állomások beosztása
Legyen igazad, én is többre saccolom a napot ott, akár 33 is. A nagy viharok előtt megy fel a T.max az egekig.
Vagyunk páran akik 19-re lapot húztak, drukkolok a 21 fokosoknak, a kezdés biztató.
Vagyunk páran akik 19-re lapot húztak, drukkolok a 21 fokosoknak, a kezdés biztató.
A csudába' ezzel a trópusi éjszakával... Remélem cserébe a Tmax is felmegy legalább 31,5-ig.
Hajnal 3-5 között hűlt kerekített 21 fok köré, van egy 20,9 fokos mérés (2:10 UTC). Kérdés, hogy a 20,5-et megcsípte vagy sem.
Elkészült az összefoglaló.
Link
Ez sem lesz egy könnyű forduló, jelen pillanatban úgy tűnik, az a többség fog jól járni, aki nem vállalta be a jelenidőt, de aztán persze ki tudja.
De hát ez ilyen, lutri 5 pontért.
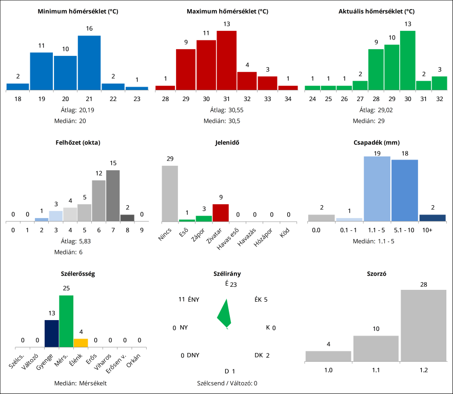
A csapadék érdekes még, közel fele-fele megoszlásban az 1-5 mm és 5-10 mm között.
Én a 72 órás határidő előtt is variáltam kétszer, 13:59:01-kor adtam le az 1.2-es tippemet, de ketten még ennél is jobban kicentizték. 
met4ever: magasról lehet nagyot esni.
Van egy olyan érzésem, hogy ez nem az én fordulóm lesz. 
Ez sem lesz egy könnyű forduló, jelen pillanatban úgy tűnik, az a többség fog jól járni, aki nem vállalta be a jelenidőt, de aztán persze ki tudja.
met4ever: magasról lehet nagyot esni.

Végül Hidegcseppel maradtam, ami nem biztos, hogy rossz döntés, hisz ö a listavezetö is épp
Teljes bizonytalanságban vagyok, hogy módoitsak-e. Mivel csak egyfélére lehet, és még mindig több verziót látok magam elött, lehet elsodor a határidö a módosítás elött
Elugrottam reggel Sopronba a Kurucdombra a kollégához, aztán 4 körül értem vissza. Gondoltam akkor már nem vagy itt.
Sajnos konkrétan ott nem voltam, Imi rutinosan csak most délután küldte át a címet
Hagytál ott Cb/havazás illetve ónos esö távirányítót? Ez az információ hasznos lenne
Északi irányba a reptér felé.
Balról senki földje (buzavetés) jobbról olyan kertvárosi környezet. Mennyé inkább helikopterrel, gyorsabb is.
Balról senki földje (buzavetés) jobbról olyan kertvárosi környezet. Mennyé inkább helikopterrel, gyorsabb is.
Hol van az állomás Szombathelyen?
Holnap megyek arra, valamit kitalálok, hogy nekem jó legyen, de lehet, hogy a hőmérőházban hagyok valamit az észlelőnek
Ja, hogy Te leszel
Holnap megyek arra, valamit kitalálok, hogy nekem jó legyen, de lehet, hogy a hőmérőházban hagyok valamit az észlelőnek
Ja, hogy Te leszel
Szervizes kérdés;
változó irányú élénk szél. erre van ikon?
Nem mertem meglépni...
Bár óra 50 kor kell észlelni, ez beleférne?
változó irányú élénk szél. erre van ikon?
Nem mertem meglépni...
Én is, én is...
Ajaj...
Pedig ez szerintem sima lesz, de legalább is nem olyan, mint Satyáé
Ajaj...
Pedig ez szerintem sima lesz, de legalább is nem olyan, mint Satyáé
Nekem még él az egykettes, de nem vagyok benne biztos, hogy ez is marad a végleges tipp... Nagyon eltaláltátok az időpontot!
Szintén leadtam valamit, de hát gyakorlatilag a sötétben tapogatóztam a tippel...
Ez érdekes. Ugye a szinészre gondolsz, aki Pottert alakította?
Ja délután 2 ig 1,2-es vágány..
Beszállás.
A srácot igazából Fazakas Henriknek hívják, és itt járt Budapesten matek tagozatra.
Reméljük a szombathelyi forduló is ilyen meredek lesz mint Henry Potter.
Javaslom a Henry Potter féle varázspálca vásárlást, és a 9 és fél vágányra besorolást.
Én is gratulálok Hidegcseppnek (na meg Papónak
), későn kapcsoltam, a hegyre inkább vinnem kellett volna egy gyűrűt, na mind1
Lassan nem bírom cérnával a fonal keresését
Lassan nem bírom cérnával a fonal keresését
Akkor legyen a következő forduló június 23-án, pénteken 14 órakor mondjuk... Szombathelyen.
Végül csak bejött a számításom, bár azért szerencse is kellett, mert nagy esély volt a köd jelenidőre, ugye egy órával korábban még 9 oktás zárt ködöt észleltek. Ahogy a csapadékkal is úgy voltam, hogy esetleg valami konvektív góc betalálhat, de nagyobb esélyt láttam arra, hogy nem lesz semmi, így maradt a 0 mm.
Coontac-nak kár azért az eldobott tippért, nagy méreg tud lenni az ilyen, korábban én is jártam így, még ha nem is ennyire durván.
Én már egy ideje úgy vagyok vele (meg szerintem sokan mások is biztosan), hogy a szorzó miatt bent hagyom a régebbi tippet, főleg bizonytalan helyzetekben, mint ez a mostani.
Mennyünk tovább, ne add fel 5000 m. felett. Úgy is (alacsony) hegyi ember vagy.
Mit szóljanak a 86 méteres szegediek?
Látod sokan beslusszoltak, de ez a verseny szelleme.
A safety car legyen veled a következő rajtnál, meg a Koczkás zászló!
Mit szóljanak a 86 méteres szegediek?
Látod sokan beslusszoltak, de ez a verseny szelleme.
A safety car legyen veled a következő rajtnál, meg a Koczkás zászló!
Gratula Hidegcsepp-nek, egy laza tippel lehetett most nyerni. Elég nagy bátorság kellett szerintem a nincs jelenidőhöz és 7 oktához, na meg a 0 mm csapadék is bejött. Továbbra is a délnyugatra lévő konv. vonalat okolom, hogy bekavart a felhőzetbe pont észlelésre. Nem volt szép tőle 
Satya sem találta meg a hegyen, amit keresett, na majd jövő héten.....
Satya sem találta meg a hegyen, amit keresett, na majd jövő héten.....
Tudom, nehéz megemészteni hogy mögötted fordult be a safety car... engedd el.
Hidegcsepp nyerte a magaslati túrát, gratula neki és a jól tippelőknek! Jómagam egy kellemes tökutolsó helyre változtattam a 19,2 pontos győztes tippsorom....................
Forduló: Link
Összetett: Link
Szabóka lesz a következő kiíró, így szeretnénk kérni egy helyszínt és egy időpontot.
Választható helyszínek:
Bécs (Wien-Hohe Warte) [11035]
Békéscsaba [12992]
Budapest-Újpest [metnet-es észlelő]
Csíkszereda (Miercurea Ciuc) [15170]
Felcsút [metnet-es észlelő]
Kecskemét [12970]
Miskolc-Diósgyőr [12772]
Paks [12950]
Pécs-Egyetem [38528]
Siófok [metnet-es észlelő]
Sopron-Kurucdomb [13704]
Szeged [12982]
Szolnok [12860]
Szombathely [12812]
Meteorológiai állomások beosztása a fejlécben.
Forduló: Link
Összetett: Link
Szabóka lesz a következő kiíró, így szeretnénk kérni egy helyszínt és egy időpontot.
Választható helyszínek:
Bécs (Wien-Hohe Warte) [11035]
Békéscsaba [12992]
Budapest-Újpest [metnet-es észlelő]
Csíkszereda (Miercurea Ciuc) [15170]
Felcsút [metnet-es észlelő]
Kecskemét [12970]
Miskolc-Diósgyőr [12772]
Paks [12950]
Pécs-Egyetem [38528]
Siófok [metnet-es észlelő]
Sopron-Kurucdomb [13704]
Szeged [12982]
Szolnok [12860]
Szombathely [12812]
Meteorológiai állomások beosztása a fejlécben.
Meg is van a reggeli 06 UTC-s SYNOP:
SYNOPS from 11930, Lomnicky Stit (Slovakia) | 49-12N | 020-13E | 2633 m
202306170600 AAXX 17061 11930 11/20 63307 11002 21002 37365 47052 53005 60002 74022 84542 333 21005 41998 70000==
SYNOPS from 11930, Lomnicky Stit (Slovakia) | 49-12N | 020-13E | 2633 m
202306170600 AAXX 17061 11930 11/20 63307 11002 21002 37365 47052 53005 60002 74022 84542 333 21005 41998 70000==
Van egy jó hírem: Várhatóan dupla annyi pontod lesz, mint amennyit vársz...
4,4. Ugye, mennyivel jobban hangzik? 
Tmax: 3,9 fok lett.
Ez a forduló nekem sem kerül be a legjobbjaim közé, de legalább nem 1-2 tizeden múlott az a bambi...
Tmax: 3,9 fok lett.
Ez a forduló nekem sem kerül be a legjobbjaim közé, de legalább nem 1-2 tizeden múlott az a bambi...
Az a baj, hogy a mostani nyári körben, ez már a második lutri volt, amivel pontokat veszítettem...
De jó, hogy kihagytam ezt a fordulót. 
Szabókának szeretném jelezni, hogyha esetleg Szombathelyben gondolkodik én leszek az észlelő jövő hét vasárnap délutánig.
Szabókának szeretném jelezni, hogyha esetleg Szombathelyben gondolkodik én leszek az észlelő jövő hét vasárnap délutánig.
Én egy kb 16-18 pontos tippet dobtam el egy 10 pont alattira.... engedd el 
"Tmin: 0 °C
Tmax: 5 °C
Felhőfedettség: 7 okta
Jelenidő: nincs szignifikáns jelenség
Hőmérséklet: 2 °C
Szél: mérsékelt északi
Csapadék: 0.1 - 1 mm
Az időtényező értéke: 1.2"
Ezt sikerült a 3-7-6 9 okta köd gyenge ÉNY kombóra cserélni... szorzó nélkül ugye
"Tmin: 0 °C
Tmax: 5 °C
Felhőfedettség: 7 okta
Jelenidő: nincs szignifikáns jelenség
Hőmérséklet: 2 °C
Szél: mérsékelt északi
Csapadék: 0.1 - 1 mm
Az időtényező értéke: 1.2"
Ezt sikerült a 3-7-6 9 okta köd gyenge ÉNY kombóra cserélni... szorzó nélkül ugye
Szerintem 2,2 pontom lesz
Az előző 4 órában felhőben volt, most bezzeg nem. Ez megint lutri volt az egész. Ilyenkor megy el a kedvem az egésztől...
Néztem a kamerát és látszott, hogy felszakadt az egységes felhözet. Idöben nagyon gyorsan változott a helyzet, olykor pár másodpercre kisebb felhötlen égrész is látszódott, így tartottam töle, hogy beészlelik a 7 oktát.
3 km-es látást adtak, ami egyébként 100 m és kb 5-10 km között változott irány és másodperc függvényében. Lehet kiátlagolta körben és ugy hozta ki a 3 km-t
3 km-es látást adtak, ami egyébként 100 m és kb 5-10 km között változott irány és másodperc függvényében. Lehet kiátlagolta körben és ugy hozta ki a 3 km-t