Információk az előrejelzési versenyhez
Versenyinformációk
A VERSENYSZABÁLYZATÚj előrejelzés elküldése az előrejelzési versenybe
A legutóbbi forduló eredménye
A verseny összesített állása
A 3 kieső fordulót nem tartalmazó összesített lista
A synop-kódok értelmezéséhez egy kis segítség
Szélirány-meghatározáshoz segítség
Stelvio segítségével megjelenített összesített ranglista
Stelvio segítségével megjelenített örökranglista
Stelvio segítségével megjelenített dicsőséglista
A meteorológiai állomások elhelyezkedése
A meteorológiai állomások beosztása
Zamg-on 16 órakor ( bár nem tudom ott mikor észlelték, 40-50-00) a maxi? is megszületett, kerekített 34°C (33,5)
Vajon mennyin múlott, hogy az akt. is annyi legyen?
Vajon mennyin múlott, hogy az akt. is annyi legyen?
Köszi az adatokat!
Hófúvás, neked pedig a kiesős listát!
Morci leszek, ha holnap reggelig nem lesz csapadék! Előre szólok...!
Morci leszek, ha holnap reggelig nem lesz csapadék! Előre szólok...!
Jó ebédhez szól a lista.
Kiesett a kiesős számítás előkészületéből egy 9. forduló utáni lista, amit nem tartok titokban, a fenti linken találjátok. Elég hihetetlen mozgások vannak benne a MetNet-es listához képest, talán nagyon nem számoltam el! (bár úgy lenne!)
Kiesett a kiesős számítás előkészületéből egy 9. forduló utáni lista, amit nem tartok titokban, a fenti linken találjátok. Elég hihetetlen mozgások vannak benne a MetNet-es listához képest, talán nagyon nem számoltam el! (bár úgy lenne!)
Hohe warte; óránként frissül. Legalább is gépen. Katincs rá késöbb is, és az aktuális helyzetet mutassa, (UTC) a legfelső sorban.
Link
Link
El is készült az összefoglaló.
Link
Vizipóknak valahogy becsúszott egy üresen maradt tippsor, úgyhogy azt nem vettem figyelembe. Túl sok izgalom erre a fordulóra sem néz ki, talán a felhőzetnél van valamennyi eltérés, illetve a gyenge/mérsékelt szél között van majdnem ugyanannyi tipp, két táborra szakadva.
Vizipóknak valahogy becsúszott egy üresen maradt tippsor, úgyhogy azt nem vettem figyelembe. Túl sok izgalom erre a fordulóra sem néz ki, talán a felhőzetnél van valamennyi eltérés, illetve a gyenge/mérsékelt szél között van majdnem ugyanannyi tipp, két táborra szakadva.

Hát, nekem olyan kiegyensúlyozottan ócska szezonom volt idáig (leszámítva a legutolsó fordulót), hogy rajtam ez sem sokat segít, sőt...
De persze attól még várom.
Bécs után szándékozom szembesíteni a mezőnyt a kiesős listával.
Van aki alig várja, van aki nem annyira
Van aki alig várja, van aki nem annyira
05UTC és 21UTC között minden órában van észlelés Bécs Hohe Warte állomáson, + általában 00UTC-kor is.
Szabályzat szerint csak a fő- és mellékterminusok időpontjai választhatók Bécs esetén (mintha csak akkor lenne észlelés?), vagy ez azóta frissült?
Gratulálok a győzteseknek!
Nekem most először lett normálisabb pontszámom (>16 pont) a szezonban. Épp itt volt már az ideje!
Nekem most először lett normálisabb pontszámom (>16 pont) a szezonban. Épp itt volt már az ideje!
Gratulálok a triónak. A következő forduló már félidő, gyorsan megy az idő.
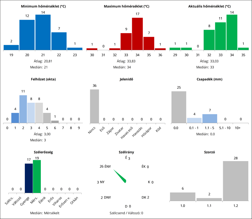
Mivel csapadék sem lesz és a napi maximum is beállt 32,6 fokkal, így a fordulót lepontoztam, amit Hidegcsepp, Télember, szabóka trió nyerte. Gratulálok nekik!
Forduló: Link
Összetett: Link
A félidei forduló kiírását mzs-től várjuk.
Választható helyszínek:
Bécs (Wien-Hohe Warte) [11035]
Békéscsaba [12992]
Budapest-Újpest [metnet-es észlelő]
Felcsút [metnet-es észlelő]
Kecskemét [12970]
Miskolc-Diósgyőr [12772]
Paks [12950]
Pécs-Egyetem [38528]
Siófok [metnet-es észlelő]
Szeged [12982]
Szolnok [12860]
Meteorológiai állomások beosztása: Link
Forduló: Link
Összetett: Link
A félidei forduló kiírását mzs-től várjuk.
Választható helyszínek:
Bécs (Wien-Hohe Warte) [11035]
Békéscsaba [12992]
Budapest-Újpest [metnet-es észlelő]
Felcsút [metnet-es észlelő]
Kecskemét [12970]
Miskolc-Diósgyőr [12772]
Paks [12950]
Pécs-Egyetem [38528]
Siófok [metnet-es észlelő]
Szeged [12982]
Szolnok [12860]
Meteorológiai állomások beosztása: Link
Összfelhőzet: 1 okta
Jelenidő: Nincs
Szélirány: 64° (északkeleti)
Erőssége: 1,9 m/s
T akt: 31,1°C
T min: 17,3˘C.
Eddig ezeket tudjuk. A T max eddig 32,2°C.
Jelenidő: Nincs
Szélirány: 64° (északkeleti)
Erőssége: 1,9 m/s
T akt: 31,1°C
T min: 17,3˘C.
Eddig ezeket tudjuk. A T max eddig 32,2°C.
Ugyanez volt a dilemmám, s mivel nem tudtam dönteni, a 30/32 páros született 
13:51 31,1°C, 1 okta (METÉSZ)
gyenge keleti szél (Metnetes adatokból)
13:51 31,1°C, 1 okta (METÉSZ)
gyenge keleti szél (Metnetes adatokból)
Először 31/32 °C-os akt/max párost adtam, kár volt átírnom 30/31 °C-ra.
Kissé megkésve, de így a forduló időpontjára sikerült elkészítenem az összefoglalót.
Link
Az eddigiek után ez most egy igazi nyugodt, átlagjavító forduló lett. Persze így a zavarosban sem lehet nagyon halászni, inkább az apróságokkal lehet itt-ott pontokat elcsípni még pluszban.
Az eddigiek után ez most egy igazi nyugodt, átlagjavító forduló lett. Persze így a zavarosban sem lehet nagyon halászni, inkább az apróságokkal lehet itt-ott pontokat elcsípni még pluszban.

13:20 kerekített 32°C. Ha jól látom, csak 2 ilyen tipp született a Takt-ra. Bár addig még 33 is lehet
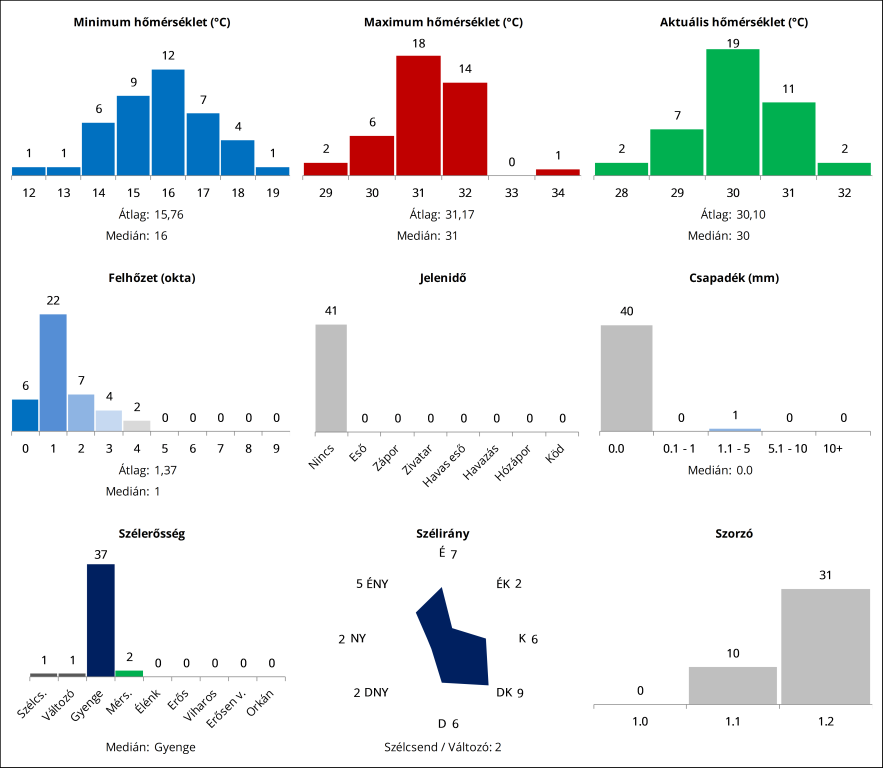
1 órával a verseny időpontja előtt 30,9°C volt, s 1 okta Cu. Tegnap ilyenkor torpant meg a hőmérséklet emelkedés 30,0°C-nál, de volt 3-4 okta cirrus...
Egy kerekített 17 fok már volt, de hogy 16.5-ig sikerül-e lenéznie.... Nem tennék rá most sokat.
Most eléggé érződik a dombtetős fekvés az állomásnál. Lent a völgyben, Fertőrákoson ugyanis már csak 16,2 fok volt éjfélkor. Azért remélem, reggelig a kurucok dombján is levánszorog a hőmérséklet legalább 16,5 fokig.
20,8°C-kal nyitottunk új napot éjfélkor, 3.2°C-kal magasabban mint tegnap. Csak aztán maradjon majd 32.6°C alatt vasárnap
az 1.1 nél tudtam meg, hogy ki van írva egyáltalán forduló!
Ezúton szeretném megköszönni a beosztásomnak, a főnökemek és a munkahelyemnek, hogy legalább arra van időm, hogy naponta lezuhanyozhassak. (szívecskés emoji)...HVTAJBTKAtokat....
Sok sikert mindenkinek
Ezúton szeretném megköszönni a beosztásomnak, a főnökemek és a munkahelyemnek, hogy legalább arra van időm, hogy naponta lezuhanyozhassak. (szívecskés emoji)...HVTAJBTKAtokat....
Sok sikert mindenkinek
Szép megymagozó idő mellett kortyolgatós soproni ászok, a melegre tekintettel.
1 pörcintésre voltam a körmözéstől. 13.58-59 elment.
1 pörcintésre voltam a körmözéstől. 13.58-59 elment.
Kettőig egykettes, aki nem adta le, az még hamar megteheti, én most nem felejtettem el, nem mintha sokat számítana.
Most nagyon könnyű forduló lesz, aki fel akar zárkózni az összetettben, az mindenképp egykettest adjon le
Most nagyon könnyű forduló lesz, aki fel akar zárkózni az összetettben, az mindenképp egykettest adjon le
Gratulálok én is Trentonak, régi motorosnak a pályán. Nemhiába rándulsz ki a déli hegyekbe, országhatáron túl. Van gyakorlatod olyan 500 méter feletti városok, völgyek,hegyek klímájában. 
Én meg egy gyászos fordulót kreáltam össze, van ilyen ugye Nyuli. Na majd a soproni kurucdomb mit produkál?
Én meg egy gyászos fordulót kreáltam össze, van ilyen ugye Nyuli. Na majd a soproni kurucdomb mit produkál?
Gratulálok Trentonak a fölényes gyözelemhez, ill. a dobogósoknak is.
9.6 ponttal 1 helyet sikerült feljebb jönnöm az összetettben, ez sokat mond a fordulóról
9.6 ponttal 1 helyet sikerült feljebb jönnöm az összetettben, ez sokat mond a fordulóról
A csíkszeredai fordulót trento nyerte! Gratulálok neki!
Forduló: Link
Összetett: Link
A következő kiíró zseegee lesz, így szeretnénk kérni egy helyszínt és egy időpontot.
Választható helyszínek:
Bécs (Wien-Hohe Warte) [11035]
Békéscsaba [12992]
Budapest-Újpest [metnet-es észlelő]
Felcsút [metnet-es észlelő]
Kecskemét [12970]
Miskolc-Diósgyőr [12772]
Paks [12950]
Pécs-Egyetem [38528]
Siófok [metnet-es észlelő]
Sopron-Kurucdomb [13704]
Szeged [12982]
Szolnok [12860]
Meteorológiai állomások beosztása: Link
Forduló: Link
Összetett: Link
A következő kiíró zseegee lesz, így szeretnénk kérni egy helyszínt és egy időpontot.
Választható helyszínek:
Bécs (Wien-Hohe Warte) [11035]
Békéscsaba [12992]
Budapest-Újpest [metnet-es észlelő]
Felcsút [metnet-es észlelő]
Kecskemét [12970]
Miskolc-Diósgyőr [12772]
Paks [12950]
Pécs-Egyetem [38528]
Siófok [metnet-es észlelő]
Sopron-Kurucdomb [13704]
Szeged [12982]
Szolnok [12860]
Meteorológiai állomások beosztása: Link