Információk az előrejelzési versenyhez
Versenyinformációk
A VERSENYSZABÁLYZATÚj előrejelzés elküldése az előrejelzési versenybe
A legutóbbi forduló eredménye
A verseny összesített állása
A 3 kieső fordulót nem tartalmazó összesített lista
A synop-kódok értelmezéséhez egy kis segítség
Szélirány-meghatározáshoz segítség
Stelvio segítségével megjelenített összesített ranglista
Stelvio segítségével megjelenített örökranglista
Stelvio segítségével megjelenített dicsőséglista
A meteorológiai állomások elhelyezkedése
A meteorológiai állomások beosztása
18 UTC
6 okta, 23°C, gyenge déli szél, jelenidő nincs
Az előző 2 órában fújó északnyugati szél jól leamortizálódott délire.
6 okta, 23°C, gyenge déli szél, jelenidő nincs
Az előző 2 órában fújó északnyugati szél jól leamortizálódott délire.
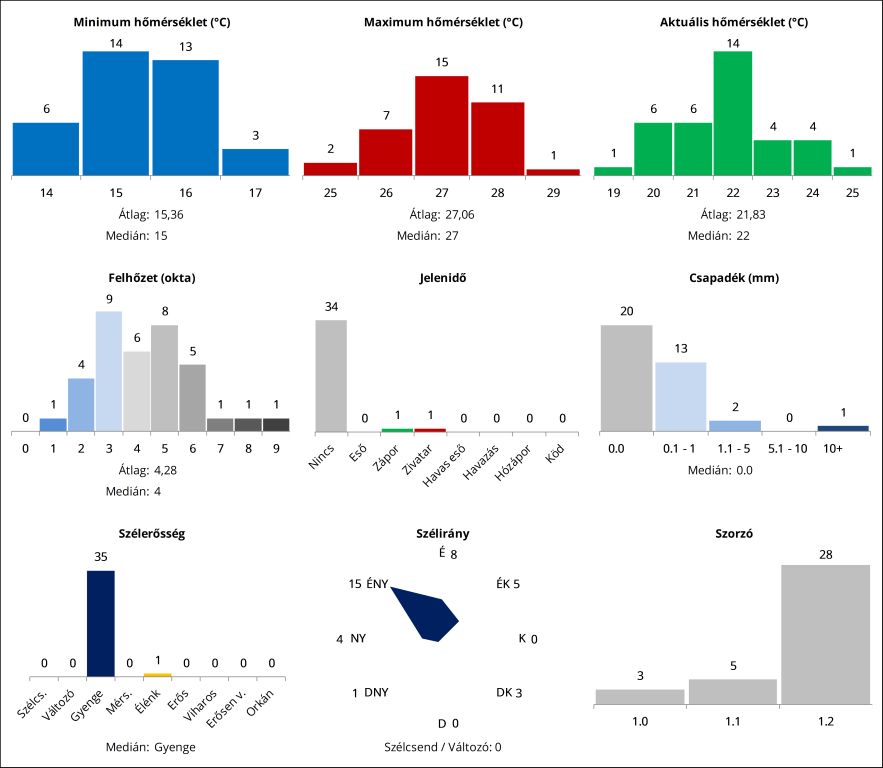
Elkészült az összefoglaló.
Link
Van egy felcserélt Tmin és Tmax érték, azt a diagramon visszacserélve írtam bele, még ha pontot nem is fog érni. Túl sok izgalom egyébként nem mutatkozik ebben a fordulóban (nekem pl. sikerült minden tippnél a móduszt, vagyis a leggyakrabban előforduló értéket leadnom
), talán a felhőzet, illetve a csapadék lehet a döntő, hogy betalál-e valami kis zápor vagy esetleg zivatar a nap folyamán. 
A MetNet automata állomásoknál nézve eddig 17,8 fokig csökkent a hőmérséklet, kérdés, mennyit megy még lejjebb hajnalig.
Van egy felcserélt Tmin és Tmax érték, azt a diagramon visszacserélve írtam bele, még ha pontot nem is fog érni. Túl sok izgalom egyébként nem mutatkozik ebben a fordulóban (nekem pl. sikerült minden tippnél a móduszt, vagyis a leggyakrabban előforduló értéket leadnom
A MetNet automata állomásoknál nézve eddig 17,8 fokig csökkent a hőmérséklet, kérdés, mennyit megy még lejjebb hajnalig.

pzs, BKrisz, hófúvás, honza azonos pontszámmal az első négy befutó. A csapadéknak pedig nincs mit utána nézni, ha egy-egy csepp ér talajt, akkor is "nagyon gyenge" intenzitás megy be, ezáltal simán lehetett ebben az időjárási helyzetben, hogy még egy tizedet sem érte el a napi csapadékösszeg,
Forduló: Link
Összetett: Link
deco05 lesz a következő kiíró, így szeretnénk kérni egy helyszínt és egy időpontot.
A félidei forduló kiírását mzs-től várjuk.
Választható helyszínek:
Békéscsaba [12992]
Budapest-Újpest [metnet-es észlelő]
Felcsút [metnet-es észlelő]
Kecskemét [12970]
Miskolc-Diósgyőr [12772]
Pécs-Egyetem [38528]
Siófok [metnet-es észlelő]
Szeged [12982]
Szolnok [12860]
Állomások beosztása: Link
Forduló: Link
Összetett: Link
deco05 lesz a következő kiíró, így szeretnénk kérni egy helyszínt és egy időpontot.
A félidei forduló kiírását mzs-től várjuk.
Választható helyszínek:
Békéscsaba [12992]
Budapest-Újpest [metnet-es észlelő]
Felcsút [metnet-es észlelő]
Kecskemét [12970]
Miskolc-Diósgyőr [12772]
Pécs-Egyetem [38528]
Siófok [metnet-es észlelő]
Szeged [12982]
Szolnok [12860]
Állomások beosztása: Link
Délnyugati, 220°-os.
Tmin 15 (15,3)
Tmax 28 (28,4)
Takt 21 (20,8 )
Felh 8 okta
Szél gyenge (2 m/s) délnyugati (220°)
Szign nem volt
Csap nyom
Tmin 15 (15,3)
Tmax 28 (28,4)
Takt 21 (20,8 )
Felh 8 okta
Szél gyenge (2 m/s) délnyugati (220°)
Szign nem volt
Csap nyom
Legalább nyomnak mindenképp kellett lennie csapadék jelenidő észlelés után. Ez aztán sajnos gyakran nem kerül be a synopba manapság.
Szerk: Metész-ben ott is a nyom a 24 órás csapadékra ma reggel 6:45-kor.
Szerk: Metész-ben ott is a nyom a 24 órás csapadékra ma reggel 6:45-kor.
Gondolom dögüllő pötyorgés volt végig...
Én leginkább a saját hőmérséklet tippsoromon vagyok kiakadva, hogy tudtam ilyen magas Tmin-Takt párost adni. Látszik, hogy mikor leadtam még kánikula volt. Ez a forduló sem lesz egy sikersztori...
Én leginkább a saját hőmérséklet tippsoromon vagyok kiakadva, hogy tudtam ilyen magas Tmin-Takt párost adni. Látszik, hogy mikor leadtam még kánikula volt. Ez a forduló sem lesz egy sikersztori...
Ezt már nem hiszem el!
Egerben 100 kilométeres körzetben sehol nem esett, éppen csak az állomásnál, most pedig 10 percen múlott a jelenidő.
20:51-kor az észlelő nem észlelt csapadékot, a radar igen, a magasban.... 
8 okta, 20,8°C
Tmax 28,4°C
És 20:40-ig nem lérte el a csapadék a 0,1 mm-t az automata szerint, miközben délnyugatra nem messze 1-2 mm ill. felette is hullott. Na, akkor itt az ideje kimenni a friss levegőre
8 okta, 20,8°C
Tmax 28,4°C
És 20:40-ig nem lérte el a csapadék a 0,1 mm-t az automata szerint, miközben délnyugatra nem messze 1-2 mm ill. felette is hullott. Na, akkor itt az ideje kimenni a friss levegőre
Épp írni akartam, hogy vajh lesz-e összefoglaló a jelenidő előtt még?
Így a forduló időpontjához közeledve elkészült az összefoglaló.
Link
A tízpercesek szerint 28,3 fok volt a teteje, kérdés, hogy az intervallumok között ment-e még feljebb néhány tizedet, vagy sem. Nyugat felől pedig már közeledik a csapadékzóna, úgyhogy lehet miért izgulni.
A tízpercesek szerint 28,3 fok volt a teteje, kérdés, hogy az intervallumok között ment-e még feljebb néhány tizedet, vagy sem. Nyugat felől pedig már közeledik a csapadékzóna, úgyhogy lehet miért izgulni.

Boldog Névnapot az Emíliáknak!
Lányom ugyanis szólt, hogy: apu még 24 perced van az 1,2-ig!
Lányom ugyanis szólt, hogy: apu még 24 perced van az 1,2-ig!
Nyuli, nehogy abba hagyjad a nyári kört.
Tudom nehéz megemészteni a kevés pontokat, de lesz ez jobb is.
Trentó is durrantott egy körben, neked is lehet még.
Tudom nehéz megemészteni a kevés pontokat, de lesz ez jobb is.
Trentó is durrantott egy körben, neked is lehet még.
Én inkább neked akartam kedvezni (nemtrópusi éjszaka, nem túl meleg nappal, felhős délután), meg is lett az eredménye.
És a kiesős is friss és ropogós.
Hibákat kérem az öltözőbe küldeni, nagyon siettem.
Hibákat kérem az öltözőbe küldeni, nagyon siettem.
Pedig már újságoltam az Asszonynak, hogy megint az a kurva tized!
