Információk az előrejelzési versenyhez
Versenyinformációk
A VERSENYSZABÁLYZATÚj előrejelzés elküldése az előrejelzési versenybe
A legutóbbi forduló eredménye
A verseny összesített állása
A 3 kieső fordulót nem tartalmazó összesített lista
A synop-kódok értelmezéséhez egy kis segítség
Szélirány-meghatározáshoz segítség
Stelvio segítségével megjelenített összesített ranglista
Stelvio segítségével megjelenített örökranglista
Stelvio segítségével megjelenített dicsőséglista
A meteorológiai állomások elhelyezkedése
A meteorológiai állomások beosztása
Ha minden fordulóban "csak" második leszel, jó eséllyel megnyered a versenyt!
Én is gratulálok a győztes kvintettnek!
Én is gratulálok a győztes kvintettnek!
Dikk most néztem milyen csecse szelet adtam véletlenül
A visszaigazolást nyilván luxus visszanézni 
Ha esik valami, azt elvileg itt észre kell vennie az észlelőnek, és megadni a nyomot (vagy amennyi esett), mert folyamatos szolgálat van. És van este is (kézi) csapadékmérés.
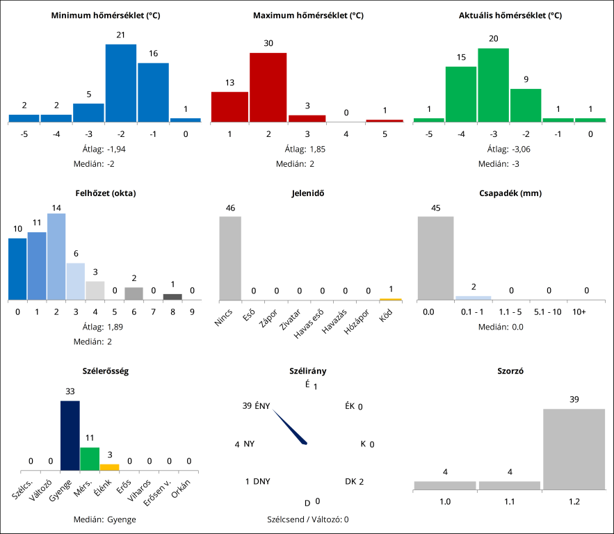
Hidegcsepp95, szabóka, met4ever, Pestimet és jocika8627 azonosan, 18 ponttal nyerték a paksi fordulót.
Forduló: Link
Összetett: Link
A következő kiíró szabóka lesz, így szeretnénk kérni egy helyszínt és egy időpontot.
Választható helyszínek:
Bécs (Wien-Hohe Warte) [11035]
Budapest-Újpest [metnet-es észlelő]
Csíkszereda (Miercurea Ciuc) [15170]
Eger [12870]
Felcsút [metnet-es észlelő]
Kecskemét [12970]
Kékestető [12851]
Lomnici-csúcs (Lomnicky Stít) [11930]
Miskolc-Diósgyőr [12772]
Pécs-Egyetem [38528]
Siófok [metnet-es észlelő]
Sopron-Kurucdomb [13704]
Szeged [12982]
Szolnok [12860]
Szombathely [12812]
Zágráb-Maksimir [14240]
Meteorológiai állomások beosztása: Link
Forduló: Link
Összetett: Link
A következő kiíró szabóka lesz, így szeretnénk kérni egy helyszínt és egy időpontot.
Választható helyszínek:
Bécs (Wien-Hohe Warte) [11035]
Budapest-Újpest [metnet-es észlelő]
Csíkszereda (Miercurea Ciuc) [15170]
Eger [12870]
Felcsút [metnet-es észlelő]
Kecskemét [12970]
Kékestető [12851]
Lomnici-csúcs (Lomnicky Stít) [11930]
Miskolc-Diósgyőr [12772]
Pécs-Egyetem [38528]
Siófok [metnet-es észlelő]
Sopron-Kurucdomb [13704]
Szeged [12982]
Szolnok [12860]
Szombathely [12812]
Zágráb-Maksimir [14240]
Meteorológiai állomások beosztása: Link
Na a szélcsendet még Paksra sem gondoltam volna most, pedig én hajlamos vagyok szélcsendet adni..
Sajna elég kevés az esély a -3 fokra, de lehet, hogy még a -4-ért is izgulni kell. Amikor kicsit északiasabb irányú az ÉNy-i szél, olyankor picit visszaenyhül a hőmérséklet.
Igen, pont ebben reménykedem, hogy a gyengülő Ény-i szél beterelődik a Duna völgyébe és az erőműnél még kitart az északi irány. Csak hát ugye itt azért a domborzat nem èppen az Alpok….
A fő nyomulat É.ny. de szerintem estig sokat gyengül, oda a mérsékelt szélnek, pláne ha kiderül...
Én meg a helyi adottság miatt ( Duna völgyi lösz partfal szakasz miatti észak-dél szélcsatorna) adtam északit, de azért ez sem olyan erős paraméter, hogy ne lenne akár nyugati szél. Pl. most simán lehet egy gyenge nyugati is…
A nagy derültség folytán talán a srégant gelleresen világitó nap talán rátesz a 2,6 foknak. 
Ja elnéztem , kell az a 2 fok.
A reggeli mérés csapi ügyben; 6,50-7.00 ig?
De a radaron 7.10 felé ami mára vonatkozik, csapi nyomulat látszik, igaz dbz. ben. Csak hogy szörszálhasogatást tovább éltessük.
Ha esik is valami , nem szárad ki reggelig? 18,40 felé van fő termikus leolvasás, (12h) remélem kézi mérés is.
Ja elnéztem , kell az a 2 fok.
A reggeli mérés csapi ügyben; 6,50-7.00 ig?
De a radaron 7.10 felé ami mára vonatkozik, csapi nyomulat látszik, igaz dbz. ben. Csak hogy szörszálhasogatást tovább éltessük.
Ha esik is valami , nem szárad ki reggelig? 18,40 felé van fő termikus leolvasás, (12h) remélem kézi mérés is.
Hát amikor leadtam, arra gondoltam hogy a szombati meleg advencioból marad valami a felszín közelében, hogy ne fagyjon 2 méteren.
A másik meg; Paksot figyelve, nyáron - minuszos a T.min. 1-5 fokokkal, télen meg +-os, - fűti a közeli reaktor a környezetet, szegről végről valahogy -..nem tudom miért. Hűtőviz? Persze a szélirány is számít.
A 7 óra utáni jelenésben eshetett valami, talán meglesz a 0,1 mm.!
Hajrá Paks.
A másik meg; Paksot figyelve, nyáron - minuszos a T.min. 1-5 fokokkal, télen meg +-os, - fűti a közeli reaktor a környezetet, szegről végről valahogy -..nem tudom miért. Hűtőviz? Persze a szélirány is számít.
A 7 óra utáni jelenésben eshetett valami, talán meglesz a 0,1 mm.!
Hajrá Paks.
9 órás észlelésben aztán kerekített -1, ami már persze nem számít. Azóta már kerekített +1 fok behúzva, remélem a legalább +1,5 sem lesz nagy akadály.
Na ezt sem gondoltam volna, hogy 1 ember fog csak 0 fokot adni ilyen szélben, én is inkább a mínusz 1-en gondolkodtam, de bedőltem én is az előréknek.
Bubu meg használta az eszét, és megérzését.
Én már neki drukkolok
Bubu meg használta az eszét, és megérzését.
Én már neki drukkolok
Elkészült az összefoglaló.
Nem tűnik ez egy bonyolult fordulónak, főként a felhőzet és a három hőmérsékleti érték pontos eltalálásával lehet plusz pontokra szert tenni. 

Én a legutóbbi győztes tippsort kb így adtam le. Telefonról valamiért nem tudtam mínusz jelet adni a hőmérséklethez, így aztán rohantam haza (szó szerint futottam), hogy még határidő előtt rendes gépen le tudjam adni a tippemet 1,2-es szorzóval. Végül sikerült is leadni 49 másodperccel a határidő előtt... fordulót nyertem vele Békéscsabán.

Jó, persze akkor már csak végig kellett pötyögni, meg kattintgatni, nem akkor álmodtam meg a tippsort.
Jó, persze akkor már csak végig kellett pötyögni, meg kattintgatni, nem akkor álmodtam meg a tippsort.
Na ja, te gondolom majd olyan 20:58 körül ránézel a modellekre
Ejj de jó lett volna a hétre egy péntek környéki forduló. Sok fincsi dolog van hozzá a modelleken. Amolyan bármi lehet szitu. Kár érte.
Köszönöm a gratulációkat! És én is gratulálok minden elégedettnek! Ez most tényleg egész jól összejött! 
Csak kiengedett az a "kézifék", ami az elején 15 pont körül beragadt...
Csak kiengedett az a "kézifék", ami az elején 15 pont körül beragadt...
Gratula az elégedetteknek!
Ebből látszik, mennyire kemény a mezőny, hogy egy jelenidő buktával (részemről legalább is) hátul végeztem, ha picit előbb jön a havazás, akkor meg az élen végeztem volna. Azért régen jobban szórt az mezőny (magamat is beleértve persze
)
Ebből látszik, mennyire kemény a mezőny, hogy egy jelenidő buktával (részemről legalább is) hátul végeztem, ha picit előbb jön a havazás, akkor meg az élen végeztem volna. Azért régen jobban szórt az mezőny (magamat is beleértve persze
Egyetértek, sose voltam még állomás választó, vagy talán sok évvel ezelőtt egyszer
Egy 16,8 pontos 1,2-est cseréltem le egy 16 pontos 1,0-ra, kár azért a negyed óráért a jelenidőnél...
Gratulálok Periconak! Nekem most egy második hely lett, de ha a szorzó nélküli összpontszámot nézzük, akkor én nyertem
Perico lett a békéscsabai forduló győztese gratulálok neki. 
Forduló: Link
Összetett: Link
A következő kiíró MacBook lesz. Viszont, ha beosztásos állomásra kerülne a sor, akkor decemberi beosztásom csak a héten lesz valamikor.
Választható helyszínek majd:
Bécs (Wien-Hohe Warte) [11035]
Budapest-Újpest [metnet-es észlelő]
Csíkszereda (Miercurea Ciuc) [15170]
Eger [12870]
Felcsút [metnet-es észlelő]
Kecskemét [12970]
Kékestető [12851]
Lomnici-csúcs (Lomnicky Stít) [11930]
Miskolc-Diósgyőr [12772]
Paks [12950]
Pécs-Egyetem [38528]
Siófok [metnet-es észlelő]
Sopron-Kurucdomb [13704]
Szeged [12982]
Szolnok [12860]
Szombathely [12812]
Zágráb-Maksimir [14240]
Forduló: Link
Összetett: Link
A következő kiíró MacBook lesz. Viszont, ha beosztásos állomásra kerülne a sor, akkor decemberi beosztásom csak a héten lesz valamikor.
Választható helyszínek majd:
Bécs (Wien-Hohe Warte) [11035]
Budapest-Újpest [metnet-es észlelő]
Csíkszereda (Miercurea Ciuc) [15170]
Eger [12870]
Felcsút [metnet-es észlelő]
Kecskemét [12970]
Kékestető [12851]
Lomnici-csúcs (Lomnicky Stít) [11930]
Miskolc-Diósgyőr [12772]
Paks [12950]
Pécs-Egyetem [38528]
Siófok [metnet-es észlelő]
Sopron-Kurucdomb [13704]
Szeged [12982]
Szolnok [12860]
Szombathely [12812]
Zágráb-Maksimir [14240]
Nyugati szélről változtattam északnyugatira és 4 fokos Tmax-ról 3 fokosra, kitűnő. Már csak jelenidőt kellett volna betenni 
Na de akkor hajrá az előírt helyen kézzel is mérhető csapadék!
Na de akkor hajrá az előírt helyen kézzel is mérhető csapadék!
Szélirány: 270° (nyugati)
Erőssége: 3 m/s (gyenge)
Maximum-hőmérséklet: 3,5°C.
Erőssége: 3 m/s (gyenge)
Maximum-hőmérséklet: 3,5°C.