Információk az előrejelzési versenyhez
Versenyinformációk
A VERSENYSZABÁLYZATÚj előrejelzés elküldése az előrejelzési versenybe
A legutóbbi forduló eredménye
A verseny összesített állása
A 3 kieső fordulót nem tartalmazó összesített lista
A synop-kódok értelmezéséhez egy kis segítség
Szélirány-meghatározáshoz segítség
Stelvio segítségével megjelenített összesített ranglista
Stelvio segítségével megjelenített örökranglista
Stelvio segítségével megjelenített dicsőséglista
A meteorológiai állomások elhelyezkedése
A meteorológiai állomások beosztása
A "Bazsamentes MetNet"-ért háromszor annyit szedünk majd tőle vissza!
Pécs romokban, de szerencsére az eredményem nem annyira (bár az 5 oktának jobban örültem volna).
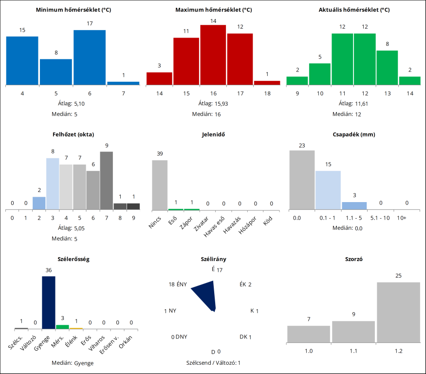
17 UTC-s adatok:
Összfelhőzet: 3 okta
Jelenidő: Nincs
T min: 5,5°C
T max: 15,8°C
T akt: 11,1°C
Szélirány: 360° (északi)
Erőssége: 2 m/s (gyenge)
Csapadék: automata alapján 0,2 mm esett.
Összfelhőzet: 3 okta
Jelenidő: Nincs
T min: 5,5°C
T max: 15,8°C
T akt: 11,1°C
Szélirány: 360° (északi)
Erőssége: 2 m/s (gyenge)
Csapadék: automata alapján 0,2 mm esett.
Vajon szétszedi (lecsapolja) azt az észak felől közeledő záporsávot a Mecsek?
Remélem igen!
Remélem igen!

Elkészült az összefoglaló.
Van egy felcserélt Tmin és Tmax érték, ezt a statisztikában megcseréltem.
Főleg a felhőzet, a csapadék és a szélirány, ahol nagyobb eltérések vannak, de a friss futásokat nézve a jelenidő sem zárható ki, amit csak ketten adtak. 

Na hát szépen lemaradtam a szorzókról, de mindjárt rittyentek egy olyan egynullást, hogy toronymagasan nyerem a fordulót
Közeleg az 1,2-es határidő! 18 óráig még leadható a nyerő tippsor ilyen szorzóval! 
Csaxólok'...
Csaxólok'...
Ha lehet, akkor látogassunk el Pécsre. Az időpont pedig legyen 2024. március 5. (kedd) 18:00.
Ha rövid lenne a határidő, akkor szívesen választok egy jövő hétvégi időpontot. Köszönöm!
Ha rövid lenne a határidő, akkor szívesen választok egy jövő hétvégi időpontot. Köszönöm!
Beosztás elkészült, Misimókust szeretnénk megkérni, hogy jelölje ki a következő forduló helyszínét és időpontját.
Választható helyszínek majd ezek lesznek egyébként:
Budapest-Újpest [metnet-es észlelő]
Kékestető [12851]
Pécs-Egyetem [38528]
Siófok [metnet-es észlelő]
Meteorológiai állomások beosztása: Link
Választható helyszínek majd ezek lesznek egyébként:
Budapest-Újpest [metnet-es észlelő]
Kékestető [12851]
Pécs-Egyetem [38528]
Siófok [metnet-es észlelő]
Meteorológiai állomások beosztása: Link
Egy kis közvetítés a Metnet VAR szobájából... 
Örülök, hogy készítitek a játékot. Eddig is és ezután is lesznek kétértelmű eredmények, de ez benne van a játékban.
Szerintem is maradjatok itt következetesen az óra 30-40 közötti érzékelésekkel.
Ha pedig váltotok, akkor ugyanez a következetesség maradjon. Ennyi.
Örülök, hogy készítitek a játékot. Eddig is és ezután is lesznek kétértelmű eredmények, de ez benne van a játékban.
Szerintem is maradjatok itt következetesen az óra 30-40 közötti érzékelésekkel.
Ha pedig váltotok, akkor ugyanez a következetesség maradjon. Ennyi.
Eszméletlen beteg ez az egész rendszer.... Utánanéztem, ugyanis mélyebb berkekbe is belelátok. Szóval:
Amit én 7,3 m/s-nak látok a rendszerben (amit ti nem láttok ugye) az a 11:30-11:40 közötti 10 perces átlag szélsebességre és szélirányra vonatkozik, ami a régmúlt időkben hajdanán volt az órás adat. Tehát magyarul generál az ogimet egy külön "SYNOP-ot" erre és azt datálja 11:30-ra, amikor ahogy írtam az előbb az lenne az órás adat.
Órás adatnak pedig, amit te is látsz 7,9 m/s-nak az a 11:50 és 12:00 közötti 10 perces átlag szélsebesség és szélirány. Ez jelenik meg 12 UTC-nél a met.hu-n illetve az ogimeten is.
Ahogy Dávid is írta szét lett barmolva az egész rendszer és ennek ez lett az eredménye.
Mindenesetre erre a pár állomással még a régi (egyébként helyes) koncepcióval lebonyolítjuk a versenyt, aztán Kornéllal beszélek, hogy a nyári körre is maradjon ez, vagy fogadjuk el az új világrendet. Egyébként lehet utóbbi lesz, mert nekem sem lesz mindig kapacitásom erre figyelni mindig...
Amit én 7,3 m/s-nak látok a rendszerben (amit ti nem láttok ugye) az a 11:30-11:40 közötti 10 perces átlag szélsebességre és szélirányra vonatkozik, ami a régmúlt időkben hajdanán volt az órás adat. Tehát magyarul generál az ogimet egy külön "SYNOP-ot" erre és azt datálja 11:30-ra, amikor ahogy írtam az előbb az lenne az órás adat.
Órás adatnak pedig, amit te is látsz 7,9 m/s-nak az a 11:50 és 12:00 közötti 10 perces átlag szélsebesség és szélirány. Ez jelenik meg 12 UTC-nél a met.hu-n illetve az ogimeten is.
Ahogy Dávid is írta szét lett barmolva az egész rendszer és ennek ez lett az eredménye.
Mindenesetre erre a pár állomással még a régi (egyébként helyes) koncepcióval lebonyolítjuk a versenyt, aztán Kornéllal beszélek, hogy a nyári körre is maradjon ez, vagy fogadjuk el az új világrendet. Egyébként lehet utóbbi lesz, mert nekem sem lesz mindig kapacitásom erre figyelni mindig...
Az az, viszont a szinopban az óra 40-es adat számít, ami valóban 7,3 m/s volt.
Az ELTÉ-s versenyben egyébként ugyanezek miatt szívunk mostanság, mert már a meteomanz-on is sokszor csak a BUFR kód/távirat van fent, nem a SYNOP, és előbbi szintén az egész órás adatokat tartalmazza. Azzal, hogy régi szinop rendszer gyakorlatilag teljesen szétverték (és ezt kivételesen nem csak nálunk, bár itt a vizuális észlelések teljes kivezetése még rátett egy lapáttal), egy fix, kiszámítható adatrendszerből kaptunk egy jó nagy katyvaszt, amiben ember legyen a talpán, aki eligazodik... És hát én abban sem vagyok meggyőződve, hogy a modelleknek jobb a mostani, pl. amikor decemberben és januárban kivételesen volt hó, gyakorlatilag minden modell teljesen máshogy látta meglévő hóvastagságot, mert már azt is mindenféle kerülőutakon veszik, régen meg benne volt a szinopban.
Az ELTÉ-s versenyben egyébként ugyanezek miatt szívunk mostanság, mert már a meteomanz-on is sokszor csak a BUFR kód/távirat van fent, nem a SYNOP, és előbbi szintén az egész órás adatokat tartalmazza. Azzal, hogy régi szinop rendszer gyakorlatilag teljesen szétverték (és ezt kivételesen nem csak nálunk, bár itt a vizuális észlelések teljes kivezetése még rátett egy lapáttal), egy fix, kiszámítható adatrendszerből kaptunk egy jó nagy katyvaszt, amiben ember legyen a talpán, aki eligazodik... És hát én abban sem vagyok meggyőződve, hogy a modelleknek jobb a mostani, pl. amikor decemberben és januárban kivételesen volt hó, gyakorlatilag minden modell teljesen máshogy látta meglévő hóvastagságot, mert már azt is mindenféle kerülőutakon veszik, régen meg benne volt a szinopban.
Van 11:30-as synop is, ott egyezik az általad írt 180°/7 m/s. Viszont a met.hu-n is Szombathelynél az órás átlagszélnél 189°/7,9 m/s szerepel, ami szinte biztos, hogy az egész órás adat.
Az ogimeten a 12 UTC-s adatra a 11:30-ra datált adatok tartoznak. Hogy miért? Ne kérdezd, mert nem tudom rá a választ. Az összes többi állomásnál is így működik egyébként.
Szabóka nyerte a szombathelyi fordulót. Gratulálok neki! 
Forduló: Link
Összetett: Link
Misimókus lesz a következő kiíró. Viszont a márciusi beosztás valamikor a következő két-három napban fog elkészülni, így türelmeteket kérjük. Szóval most egy kis pihi következik.
Választható helyszínek majd ezek lesznek egyébként:
Budapest-Újpest [metnet-es észlelő]
Kékestető [12851]
Pécs-Egyetem [38528]
Siófok [metnet-es észlelő]
Forduló: Link
Összetett: Link
Misimókus lesz a következő kiíró. Viszont a márciusi beosztás valamikor a következő két-három napban fog elkészülni, így türelmeteket kérjük. Szóval most egy kis pihi következik.
Választható helyszínek majd ezek lesznek egyébként:
Budapest-Újpest [metnet-es észlelő]
Kékestető [12851]
Pécs-Egyetem [38528]
Siófok [metnet-es észlelő]
Pötty! miért hergeled a versönyzőket? Már megint az a tizedelés. Ettől fogy el a türelmem a versenykörök folytatása mellett.
Meg az a T.min.? Ki keltette ki ezt, amikor a társ órákban 2,1-2,4 volt. Karancs lapulevél felett? Dér Miska beleszólt?
Meg az a T.min.? Ki keltette ki ezt, amikor a társ órákban 2,1-2,4 volt. Karancs lapulevél felett? Dér Miska beleszólt?
13,6 is ott van a tízpercesek közt.
Amúgy a Tmin jó kis bukta lett.
Amúgy a Tmin jó kis bukta lett.
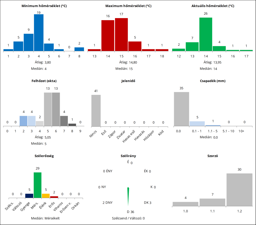
Összfelhőzet: 7 okta
Jelenidő: Nincs
T min: 0,3°C
T akt: 13,1°C
Szélirány: 181° (déli)
Erőssége: 7,3 m/s (mérsékelt)
Jelenidő: Nincs
T min: 0,3°C
T akt: 13,1°C
Szélirány: 181° (déli)
Erőssége: 7,3 m/s (mérsékelt)
Ahhoz azért még az időjárásnak is lesz egy-két szava, pl. rögtön ez:
Tmin 0,3 °C.
Egyébként gondolkodtam a változtatáson, a felhőzetre már keveslem a 3 oktát, inkább 6-ot adtam volna, illetve talán a Tak-ot és a Tmax-ot is lejjebb vittem volna 1-1 °C-kal, de végül nem léptem meg, összességében a szorzó még hátha többet hoz.
Tmin 0,3 °C.
Egyébként gondolkodtam a változtatáson, a felhőzetre már keveslem a 3 oktát, inkább 6-ot adtam volna, illetve talán a Tak-ot és a Tmax-ot is lejjebb vittem volna 1-1 °C-kal, de végül nem léptem meg, összességében a szorzó még hátha többet hoz.
Elkészült az összefoglaló.
Átlagjavító fordulónak tűnik ez a szombathelyi, a tippek is egész egységesek. 

Hoppá, úgy néz ki, nem adtam le tippet... 
Most jött el az idő, hogy a beállításoknál értesítőt kérjek a versenyről is!
Most jött el az idő, hogy a beállításoknál értesítőt kérjek a versenyről is!
Mert tudják, hogy nem kávézom. Bár, mondhattam volna, hogy akkortól igen
Tegnap nem felejtettem el, 12:58-kor eszembe jutott, de mivel egy megbeszélésen voltam, esélytelen volt....
Nem tippeltem és feljöttem a harmadik helyre. Jó ez, már csak meg kell tartani a maradék négy fordulóban.
Gratulálok Hidegcseppnek!
Épp vele elmélkedtem róla Metnet találkozóra menet, hogy az a 0/1 fokos Tmin/Takt párosom "kicsit" alacsony lesz és hogy hogy sikerült ilyen mélyre vinnem.
De legalább a 3 fokosok is ugyanúgy szívtak.
Épp vele elmélkedtem róla Metnet találkozóra menet, hogy az a 0/1 fokos Tmin/Takt párosom "kicsit" alacsony lesz és hogy hogy sikerült ilyen mélyre vinnem.
Nem sokon múlt, de az én 1,0-som sem (még pont nem lett kieső). 
Gratula Hidegcseppnek és a dobogósoknak.
Gratula Hidegcseppnek és a dobogósoknak.
Gratulálok a győztesnek és az elégedetteknek.
A sétagaloppnak kinéző forduló után jöjjön egy vágta, Szombathelyen 2024. február 26-án 12 UTC-kor.
A sétagaloppnak kinéző forduló után jöjjön egy vágta, Szombathelyen 2024. február 26-án 12 UTC-kor.
11,2 °C lett végül.
Csapadék nem volt, elvileg nem is lesz. Mehet a pontozás, aztán jöhet a kukás, hogy vigye innen ezt a hulladék fordulót.
Csapadék nem volt, elvileg nem is lesz. Mehet a pontozás, aztán jöhet a kukás, hogy vigye innen ezt a hulladék fordulót.
Igen, tulajdonképpen nem is baj, mert a nagyon kis pontszámú kieső fordulónak van előnye is, persze ahhoz azért nem mindegy, milyen a többi forduló, az én esetemben nem biztos, hogy nagy baj ez most.
Az 1.0-s módosítással sikerült lenulláznom a majdnem tökéletes, 5 pontos Tmin/Takt-ot. Ha a módosítás többi része bejön, az 5 pontot jelenthet, így összességében 0 pontot hozna + az 1,2-es szorzó elvesztését. Nagyszerű módosítás volt
Lesznek így ezzel néhányan, én csak azért nem, mert már sikerült alulmúlni ezt a fordulót, de aki nem kiesőt produkál, az már elégedett lehet.