Információk az előrejelzési versenyhez
Versenyinformációk
A VERSENYSZABÁLYZATÚj előrejelzés elküldése az előrejelzési versenybe
A legutóbbi forduló eredménye
A verseny összesített állása
A 3 kieső fordulót nem tartalmazó összesített lista
A synop-kódok értelmezéséhez egy kis segítség
Szélirány-meghatározáshoz segítség
Stelvio segítségével megjelenített összesített ranglista
Stelvio segítségével megjelenített örökranglista
Stelvio segítségével megjelenített dicsőséglista
A meteorológiai állomások elhelyezkedése
A meteorológiai állomások beosztása
Szintén zenész, de ha már úgyis elbaszarintottam, akkor már kivárok holnapig, hátha elfelejtem az egész fordulót
Gratula Pestimetnek! 
Nekem már megint a minimum tett be: ha feljebb rakom lejjebb megy, ha lejjebb rakom akkor meg feljebb... Persze gondolhattam volna a mecseki főnre és a belváros közeli elhelyezkedésre.... Na, mindegy!
Amúgy pedig köszi a lehetőséget a fordulókiírásra, ebben az időablakban sok izgalomra lehetőséget adó időpont nem volt, de legalább lehetett átlagot javitani.
Nekem már megint a minimum tett be: ha feljebb rakom lejjebb megy, ha lejjebb rakom akkor meg feljebb... Persze gondolhattam volna a mecseki főnre és a belváros közeli elhelyezkedésre.... Na, mindegy!
Amúgy pedig köszi a lehetőséget a fordulókiírásra, ebben az időablakban sok izgalomra lehetőséget adó időpont nem volt, de legalább lehetett átlagot javitani.
Pestimet majdnem tökéletes tippsorral nyerte a fordulót, gratulálok!
Forduló: Link
Összetett: Link
Scs_95 lesz a következő kiíró, kérünk egy helyszínt és időpontot
Remélem olvassa a fórumot.
Választható helyszínek:
Békéscsaba [12992]
Budapest-Pestszentlőrinc [12843]
Eger [12870]
Felcsút [metnet-es észlelő]
Miskolc-Diósgyőr [12772]
Nagykanizsa [12925]
Paks [12950]
Siófok [metnet-es észlelő]
Meteorológiai állomások beosztása: Link
Forduló: Link
Összetett: Link
Scs_95 lesz a következő kiíró, kérünk egy helyszínt és időpontot
Választható helyszínek:
Békéscsaba [12992]
Budapest-Pestszentlőrinc [12843]
Eger [12870]
Felcsút [metnet-es észlelő]
Miskolc-Diósgyőr [12772]
Nagykanizsa [12925]
Paks [12950]
Siófok [metnet-es észlelő]
Meteorológiai állomások beosztása: Link
Szépen megugrott a hőmérséklet, két egymás utáni mérsénél is 29,3 volt, van esély a 30-ra legalább
Nem tudom, jót nézek-e, de a METÉSZ-ben közölt órás észlelés hőmérséklete mintha az automata óra 40-es értékét mutatná. Régen mi is ezt vettük figyelembe. Ez most is így van, vagy az 50-est?
A 10 percenkénti adatokban 18,4°C volt a legalacsonyabb érték.
=> Link
A tényleges minimumról nem ismerek publikus forást az egyetemi állomásra. Mindenesetre itt a városban jól kilógott a hömérséklet az összes környezö állomáshoz képest.
=> Link
A tényleges minimumról nem ismerek publikus forást az egyetemi állomásra. Mindenesetre itt a városban jól kilógott a hömérséklet az összes környezö állomáshoz képest.
Ha a városklímát figyelembe vettem volna, vagy hogy csak rövid időszakokra gyengül a szél 2-3 m/s alá éjjel, akkor kaptam volna pontot a minimumra
Én is. Az ötöslottó első száma nyert, nem tudtam aztán abbahagyni a kuplé zenei blokkokat, kiment a fejemből. Már 2-szer volt 1-esem. 15,77.
Na látod szomszéd! Segítenek a kollégák, versenyzők. 
A Pécsi helyszín is jó, de ugye a villányi - harkányi lankákon más az időjárás. Mintha ez ugrik be nálam...

Régen a hajósi pincék megálló, anno 1973.okt. 18 km. gyaloglás 4 óra, víz , bor nélkül
A Pécsi helyszín is jó, de ugye a villányi - harkányi lankákon más az időjárás. Mintha ez ugrik be nálam...
Régen a hajósi pincék megálló, anno 1973.okt. 18 km. gyaloglás 4 óra, víz , bor nélkül
No, akkor utazzunk a Dél-Dunántúlra, irány Pécs! 
12. forduló: Pécs-Egyetem: 2024. július 30. kedd 21 óra (19 UTC)
Link
Az 1,2-es szorzó szombat 21 óráig él.
12. forduló: Pécs-Egyetem: 2024. július 30. kedd 21 óra (19 UTC)
Link
Az 1,2-es szorzó szombat 21 óráig él.
Köszönöm a váratlan lehetőséget, illetve a helyszín tippeket is, de én egy másik állomásra gondoltam! Még Imivel egyeztetek (Nem Felcsút lesz a helyszín, más állomással kapcsolatban kérdezem
), aztán jövök a részletekkel!
Egy másik javaslat Periconak, jövö hétfön, ha még belefér. Ha jól látom, Pakson állandó észlelés van, illetve Felcsúttal is lehet egyezkedni
Akkor a téli 21. Perico is adhatna helyszínt, ne menjünk ki a júliusból. Pl. jövő szerda Pest egész nap észlel!
Nincs ergiám.
Átadom bárki +20-asnak, vagy Neked.
Köszönöm, hogy szóltál napközben.
Átadom bárki +20-asnak, vagy Neked.
Köszönöm, hogy szóltál napközben.
Újra, mert a Kékesi Tmax 25°C lett az elsö pontozásnál figyelembe vett 24°C helyett.
Gratula a mosonmagyaróvári nyerteseknek.
Gratula a mosonmagyaróvári nyerteseknek.
Kiesős lista frissítve.
(a 9. forduló pontszámai szerintem újra lettek számolva, mert nem egyeztek meg avval, amivel én a 9. forduló után számoltam. Most helyreraktam remélhetőleg).
(a 9. forduló pontszámai szerintem újra lettek számolva, mert nem egyeztek meg avval, amivel én a 9. forduló után számoltam. Most helyreraktam remélhetőleg).
Misimókus és honza ennek a nem túl fényes fordulónak a nyertesei, gratulálok!
Forduló: Link
Összetett: Link
BKrisz lesz a következő kiíró, kérünk egy helyszínt és időpontot
Választható helyszínek:
Békéscsaba [12992]
Budapest-Pestszentlőrinc [12843]
Eger [12870]
Felcsút [metnet-es észlelő]
Miskolc-Diósgyőr [12772]
Nagykanizsa [12925]
Paks [12950]
Pécs-Egyetem [38528]
Siófok [metnet-es észlelő]
Meteorológiai állomások beosztása: Link
Forduló: Link
Összetett: Link
BKrisz lesz a következő kiíró, kérünk egy helyszínt és időpontot
Választható helyszínek:
Békéscsaba [12992]
Budapest-Pestszentlőrinc [12843]
Eger [12870]
Felcsút [metnet-es észlelő]
Miskolc-Diósgyőr [12772]
Nagykanizsa [12925]
Paks [12950]
Pécs-Egyetem [38528]
Siófok [metnet-es észlelő]
Meteorológiai állomások beosztása: Link
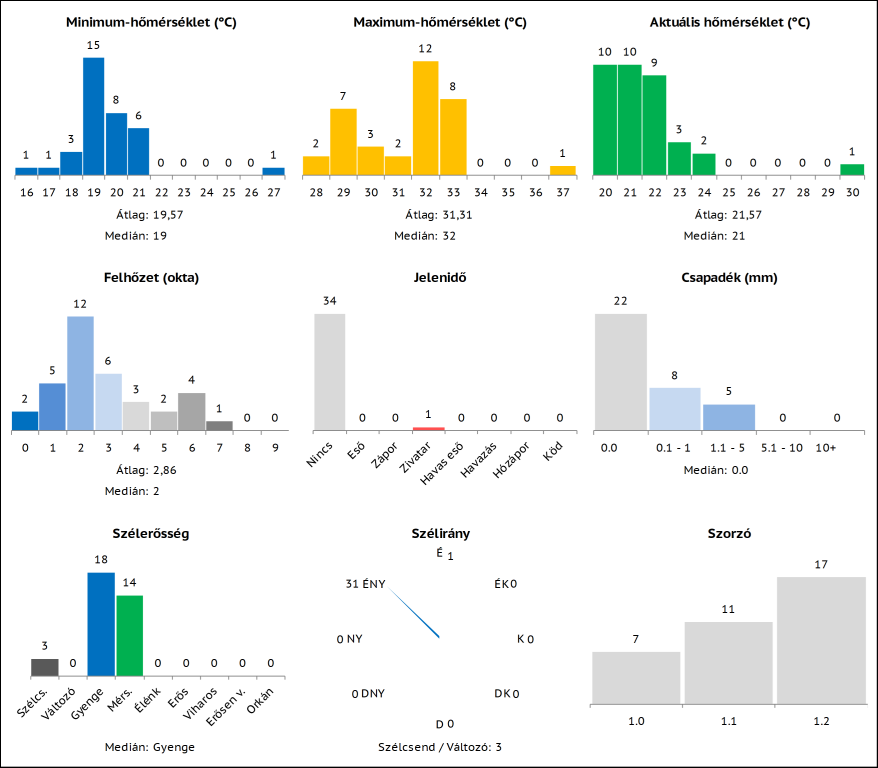
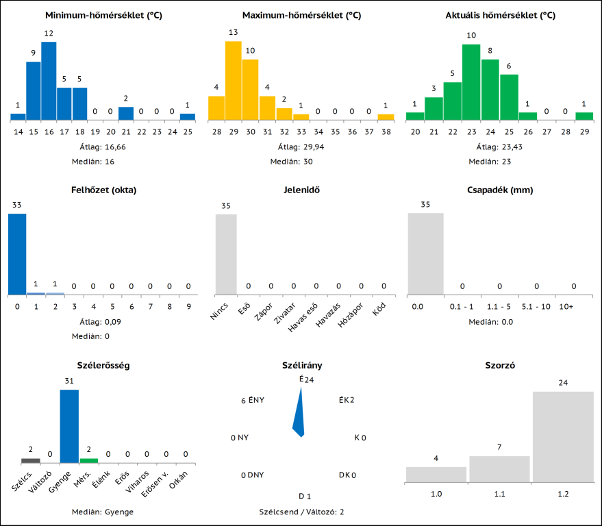
Micsoda mélységekbe süllyedt a T. Gratula Zivipöttynek. Én 18 és 19 között vaciláltam, s a 0 pontot hozó 19 mellett döntöttem. Kár, hogy az elözö órákban észlelt 1 okta Ac-t 7 órakor már nem látták.
A 40-50 km-re lévő felhőzetből már nem észleltek semmit, így 0 okta a felhőzet. A többi adat pedig:
5 UTC: 18,1 fok, gyenge északnyugati szél (320°/1 m/s), nincs jelenidő.
Tmin: 16 fok (1 telitalálatos tipp és még 4 pontszerző, a Taktot senki nem találta el.)
5 UTC: 18,1 fok, gyenge északnyugati szél (320°/1 m/s), nincs jelenidő.
Tmin: 16 fok (1 telitalálatos tipp és még 4 pontszerző, a Taktot senki nem találta el.)
Elkészült az összefoglaló.
Bár ritkán szoktam módosítani, most mégis megtettem, és egy 1.1-es tippel neveztem be a fordulóra.
Látom, azért többen is eldobták az 1.2-es tippet (vagy csak elfelejtették leadni
).

Az 1,1-1,0 tippek megint a 33 fokot adják lapát hőmérsékletnek... Azért a mosoni Duna lejjebb viszi 30 alá.
Söt, azoknak is, akik bár leadták az 1.2-es tippet, a korai idöpont miatt nem biztos, hogy vállalják érte a felelösséget
A holnap reggeli 1,0-s határidő is szimpatikus lehet, főleg azoknak, akik hozzám hasonlóan eddig semmilyen tippet nem adtak le.
Hát úgy látom 11 helyet sikerült előre ugranom ezzel a szegedi műveletemmel.
Nem hiába szeretem én ezt a várost és tekintem második otthonomnak.
Nem hiába szeretem én ezt a várost és tekintem második otthonomnak.
Nagy gratula Iminek a majdnem tökéletes fordulójához! 
A 18 pontommal én sem panaszkodnék, de olyan erős a mezőny, hogy még így is csúszok lefelé a ranglistán...
A 18 pontommal én sem panaszkodnék, de olyan erős a mezőny, hogy még így is csúszok lefelé a ranglistán...
A szegedi fordulót én nyertem.
Az a fránya 1 pont, annyi kellett volna a telitalálathoz, de hát így is teljesen elégedett vagyok.
Forduló: Link
Összetett: Link
jocika8627 lesz a következő kiíró, kérünk egy helyszínt és időpontot.
Választható helyszínek:
Békéscsaba [12992]
Budapest-Pestszentlőrinc [12843]
Eger [12870]
Felcsút [metnet-es észlelő]
Miskolc-Diósgyőr [12772]
Mosonmagyaróvár [12815]
Nagykanizsa [12925]
Paks [12950]
Pécs-Egyetem [38528]
Siófok [metnet-es észlelő]
Meteorológiai állomások beosztása: Link
Forduló: Link
Összetett: Link
jocika8627 lesz a következő kiíró, kérünk egy helyszínt és időpontot.
Választható helyszínek:
Békéscsaba [12992]
Budapest-Pestszentlőrinc [12843]
Eger [12870]
Felcsút [metnet-es észlelő]
Miskolc-Diósgyőr [12772]
Mosonmagyaróvár [12815]
Nagykanizsa [12925]
Paks [12950]
Pécs-Egyetem [38528]
Siófok [metnet-es észlelő]
Meteorológiai állomások beosztása: Link
