Információk az előrejelzési versenyhez
Versenyinformációk
A VERSENYSZABÁLYZATÚj előrejelzés elküldése az előrejelzési versenybe
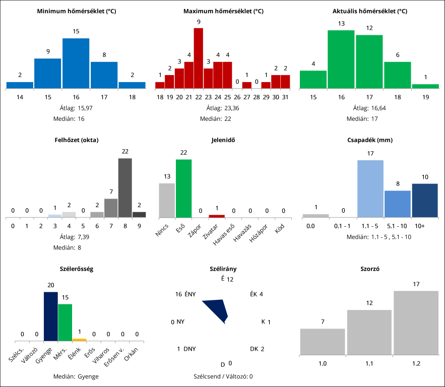
A legutóbbi forduló eredménye
A verseny összesített állása
A 3 kieső fordulót nem tartalmazó összesített lista
A synop-kódok értelmezéséhez egy kis segítség
Szélirány-meghatározáshoz segítség
Stelvio segítségével megjelenített összesített ranglista
Stelvio segítségével megjelenített örökranglista
Stelvio segítségével megjelenített dicsőséglista
A meteorológiai állomások elhelyezkedése
A meteorológiai állomások beosztása
Merész 1,0-s módosítás 
De a Tmin-jét és a felhőzetmennyiségét abszolút támogatom
De a Tmin-jét és a felhőzetmennyiségét abszolút támogatom
Stelvio.
Szerintem szerelmes vagy.
Ha nem is, az eszed biztos nem itt van.
Legalább is a tipped ezt tükrözi
(tudom, hogy csak összecserélted)
Szerintem szerelmes vagy.
Ha nem is, az eszed biztos nem itt van.
Legalább is a tipped ezt tükrözi
(tudom, hogy csak összecserélted)
Sokat vaciláltam, lehet változtatni kellett volna, most már mindegy, maradt az eredeti egyhatos
Ott van, csak ugye az már elég késő, ráadásul a társaság egy része így is elfelejti az egykettest, meg azt is hogy forduló van, jobb minél hamarabb túlesni rajta
Pedig ott van a március 12. csütörtök, egész napos észlelés. Oszt tényleg, mér nem lehet 13 óra, delelő napállás idején?
Megint előjönnek a félrevezető adatok, vagy a nagy semmi.
Különben meg volt 2018. április 19.-én egy ágszaggató hózápor... Szóval még nincs vége a télnek.
Megint előjönnek a félrevezető adatok, vagy a nagy semmi.
Különben meg volt 2018. április 19.-én egy ágszaggató hózápor... Szóval még nincs vége a télnek.
Sajnos eléggé behatároltak az észlelések, nekem meg már sok választásom nincs, esetleg Imi lehetett volna, legközelebb őt választom
Miért tetszik mindenkinek ez a reggel 7 óra...?! 
Legközelebb aki arra az időpontra írja ki, az 7 nap pihire megy.
Legközelebb aki arra az időpontra írja ki, az 7 nap pihire megy.
Dabronyt szeretnénk megkérni a következő forduló kiírására. 
Választható helyszínek:
Felcsút [metnet-es észlelő]
Miskolc-Diósgyőr [12772]
Mosonmagyaróvár [12815]
Siófok [metnet-es észlelő]
Állomások beosztása: Link
Választható helyszínek:
Felcsút [metnet-es észlelő]
Miskolc-Diósgyőr [12772]
Mosonmagyaróvár [12815]
Siófok [metnet-es észlelő]
Állomások beosztása: Link
Köszönöm!
Minden fordulóban van egy sumák hunyó, ami aláver az elérhető pontszámoknak. Itt talán a lecsapó szélcsend volt az.
Nehéz a fordulókra tippelni 1.2 =72- és akár 24 órára is, a nagy megmondó előrejelzőknél is. Sokat számít a domborzat, szélcsatornák, magasság, és az időszerű frontok mozgása, tulajdonsága.
Minden fordulóban van egy sumák hunyó, ami aláver az elérhető pontszámoknak. Itt talán a lecsapó szélcsend volt az.
Nehéz a fordulókra tippelni 1.2 =72- és akár 24 órára is, a nagy megmondó előrejelzőknél is. Sokat számít a domborzat, szélcsatornák, magasság, és az időszerű frontok mozgása, tulajdonsága.
Gratulálok a két győztesnek! Annak ellenére, hogy elvileg nem egy nagy agysebészetnek gondoltuk a fordulót, azért mégis volt benne csavar, és én legalább is nagy elismeréssel adózom az élen Végzetteknek.
A fordulót lepontoztam, zseegee és Kaszabubu vitték a prímet, gratulálok!
Forduló: Link
Összetett: Link
A következő kiíró dabrony-papa (
), így szeretnénk kérni egy helyszínt és egy időpontot. Friss beosztás legkésőbb holnap lesz.
Választható helyszínek:
Felcsút [metnet-es észlelő]
Miskolc-Diósgyőr [12772]
Mosonmagyaróvár [12815]
Siófok [metnet-es észlelő]
Forduló: Link
Összetett: Link
A következő kiíró dabrony-papa (
Választható helyszínek:
Felcsút [metnet-es észlelő]
Miskolc-Diósgyőr [12772]
Mosonmagyaróvár [12815]
Siófok [metnet-es észlelő]
Időjárás hiányában majd nézek valami könnyebb helyszínt, de még úgy látom nincs márciusi beosztás, lehet kicsit várnunk kell majd
Ez sajnos nekem nem jól sült el, lemaradt az 0,1°C a megrendelt termékből. Azért látom, sokaknak épp így lett jó.
A 24 órás csapadék 0 mm, ami a pontozáshoz még hiányzott.
A 24 órás csapadék 0 mm, ami a pontozáshoz még hiányzott.
A Takt. és a Tmax. felcserélésével szépen kiírtam magamat ebből a viszonylag könnyű fordulóból....
A 10 percenkénti adatoknál a 14:40-es 15,4°C a legmagasabb. Hogy volt-e az ezek közötti időszakokban legalább 15,5°C...? Ajánlom neki
Éjfélkor még 8 fok, nem adtam volna egy fabatkát sem 1 fokra, de így is buktunk rengetegen. A felhő dettó. Amikor nézegettem a műholdképeket nem gondoltam, hogy egy 50 km-re lévő cirruszfoszlány 1 oktának számít. A kerekítés meg elvesz megint 1,2 pontot (7-kor 1,5 fok). A szélcsend meg...
Az 1 oktán én is csodálkozom, mert konkrétan felhőt nem látni mostanság, s most még szárazabb volt a levegő.
S ezzel összefügg a mai Tmin is a tegnapi jóval magasabb után. Az éjszaka második fele illetve a hajnal/reggel jóval szécsendesebb volt a tegnapinál. Már 2:40-től gyakoriak voltak a 0 km/h-s mérések. Így most sem a szelem nem lett jó, sem a Tmin-em 
A szélcsend helyett a 0 vs 1 oktás felhőzeten többet mérlegeltem, persze aztán a másik lett, mitn amit leadtam 1,2-vel .
Na, akkor 16 fokos Tmax-ra fel!
11:30 11,7°C => ..... 15,5°C?
A szélcsend helyett a 0 vs 1 oktás felhőzeten többet mérlegeltem, persze aztán a másik lett, mitn amit leadtam 1,2-vel .
Na, akkor 16 fokos Tmax-ra fel!
11:30 11,7°C => ..... 15,5°C?
Mondjuk az, hogy 1 szélcsendes tipp sincs, azért az megdöbbentett. Ez azt mutatja, hogy itt már senki nem mer kockáztatni egy picit sem. Én gondolkodtam rajta erősen, de a feljövő nap, meg az épületek közti esetleges szélcsatornák miatt nem tettem be, pedig ha nem lennék az élmezőnyben, biztos, hogy bevállaltam volna a szélcsendet.
Összfelhőzet: 1 okta.
Jelenidő: Nincs.
T akt: 1,5°C.
T min: 1,4°C.
Szélirány, szélsebesség: szélcsend.
Jelenidő: Nincs.
T akt: 1,5°C.
T min: 1,4°C.
Szélirány, szélsebesség: szélcsend.

Azért az nem néz ki túl jól, hogy jelenleg a 4. legmelegebb állomás a Pécs Egyetem! (Persze a pécsi tavaszkedvelők biztos örülnek neki.
Hogy lesz ebből -1 reggelre...? Főleg a tegnapi éjjel példája után?
15,5°C-os Tmax lett holnapra megrendelve, s azzal 2 pontra is van esélyed a maximumra 
Ha jól látom Pogányban tegnap is és ma is 1 fok volt a minimum, a -1 fokom még oda sem lenne jó. Viszont érthetetlen számomra, hogy míg tegnap 12 fokos volt Pogány, úgy alig volt több az Egyetem maximuma: 13 fok. Van esélyem pontra a 15 fokos maximumommal ?
Alighanem velem együtt sokan nem a hőszigetre, hanem Pogányra gondoltak ? Nem néztem várható-e hidegbetörés holnap reggel, hogy pontunk is legyen, mert ha marad az 5 fokos minimum csak hárman csípnek el 1-2 pontot. A mezőnybukta fokozódhat,ha ennél is magasabb lesz a min. akár 1 szem pontszerző is lehet, aki a legkorábban adta le a tippjét. Most már ha a bukta lekváros, akkor szurkoljunk a mazsolás-túrósnak ?
Ma 6:50-kor Pécs Egyetem +5,0°C, -2 fokos harmatponttal. Holnap hajnalban egy kicsit mehetne lejjebb azért
Gondoltam. Különben nem vagyok B ácsi, Templárral vigyázunk rátok 
Reggel hétig kivilágosodik... és meglesz a tábla 1.2-től 1.0 ig. Hajrá Dunántúl, és Tiszán innen, és azon is túl!
Reggel hétig kivilágosodik... és meglesz a tábla 1.2-től 1.0 ig. Hajrá Dunántúl, és Tiszán innen, és azon is túl!
Én is köszönöm és gratulálok Zivinek!
És köszönöm a szüleimnek, rokonaimnak, barátaimnak, rajongóimnak (akik nincsenek
), a stábomnak (GFS, ECM stb.), a menedzsereimnek. Nélkülük nem jöhetett volna létre ez a világraszóló siker. Sikeremet ajánlom a világbékéért harcolóknak és továbbra is megalkuvás nélkül küzdök a klímaváltozás ellen és bárkinek a jogaiért bárkivel szemben. Szeretlek Titeket!
Valahogy így szokták mondani, nem?
És köszönöm a szüleimnek, rokonaimnak, barátaimnak, rajongóimnak (akik nincsenek
Valahogy így szokták mondani, nem?
Gratula neked és Zsoltnak is! 
Én pedig forduló utolsóként maradtam a 3. helyen...
(nyilván a magas kieső miatt)
Én sem ellenezném, ha most érne véget a verseny.
Én pedig forduló utolsóként maradtam a 3. helyen...
Én sem ellenezném, ha most érne véget a verseny.
Köszönöm a gratulációkat, és én is gratulálok Télembernek a társgyőzelemhez! 
Nem tudom, hogyan kerültem összetettben a 4. helyre, de részemről akár el is hagyhatnánk a következő fordulókat.
Nem tudom, hogyan kerültem összetettben a 4. helyre, de részemről akár el is hagyhatnánk a következő fordulókat.
Kiszámoltam, hogy a megérzésre,biztonságira leadott, hülyeségnek számító 1,2-esem 12 pont lett volna.Így a rizikósra vett utolsó pillanati 8 pont. Mindig is azt mondtam( eddig), sosem variálok át. Dejó is ez a mondás !
Gratulálok a nyerteseknek.
Egy 8,4 pontos 1,2-est cseréltem le egy 12 pontos 1,0-sra. Mondhatnám, hogy jó, de nem mondom
Jobban beragadó T-kre számítottam én is, az olvadó havat is belekalkulálva, de a nyugati szél ennek nem adott esélyt.
Az 1,0-val 2 fokkal megemelt hőmérsékleteim 2 pontot hoztak összesen
Egy 8,4 pontos 1,2-est cseréltem le egy 12 pontos 1,0-sra. Mondhatnám, hogy jó, de nem mondom
Jobban beragadó T-kre számítottam én is, az olvadó havat is belekalkulálva, de a nyugati szél ennek nem adott esélyt.
Az 1,0-val 2 fokkal megemelt hőmérsékleteim 2 pontot hoztak összesen
Gratula Zivipöttynek és Télembernek eme csavaros forduló megnyeréséhez!
Én beragadó hideggel számoltam, így nyilván kuka. A nincs jelenidőmre büszke vagyok viszont
Én beragadó hideggel számoltam, így nyilván kuka. A nincs jelenidőmre büszke vagyok viszont
Hú, ezt a fordulót gyorsan felejtsük el. Lesz vagy 7,2 pontom, a hőmérsékleteket totál nulláztam...
Most nagyon kapóra jön majd a 14 pontos korábbi kiesőm.
Addig is, míg pontoztok, meghirdetnék egy tavaszindító következő fordulót:
2026. március 1. vasárnap, 07:00 (06UTC) - Pécs, Egyetem
Addig is, míg pontoztok, meghirdetnék egy tavaszindító következő fordulót:
2026. március 1. vasárnap, 07:00 (06UTC) - Pécs, Egyetem