Információk az előrejelzési versenyhez
Versenyinformációk
A VERSENYSZABÁLYZATÚj előrejelzés elküldése az előrejelzési versenybe
A legutóbbi forduló eredménye
A verseny összesített állása
A 3 kieső fordulót nem tartalmazó összesített lista
A synop-kódok értelmezéséhez egy kis segítség
Szélirány-meghatározáshoz segítség
Stelvio segítségével megjelenített összesített ranglista
Stelvio segítségével megjelenített örökranglista
Stelvio segítségével megjelenített dicsőséglista
A meteorológiai állomások elhelyezkedése
A meteorológiai állomások beosztása
Köszi, máris javítottam. Érdekes forduló volt, mert sokaknak magas pontszáma lett, míg 22 embernél kieső forduló lett.
Látod, mondtam, hogy ne hallgass rám.
Most viszont én nekem kellene segítség Szolnokra.
Most viszont én nekem kellene segítség Szolnokra.
Azta. Nem gondoltam, hogy erre is elég lesz egy viszonylag jól sikerült forduló. Mondjuk 1.0-val meglepően jól sikerült 
Gordonkának gratulálok! Elképesztő pontszám
Jól jött végre egy jelenidős forduló.
Gordonkának gratulálok! Elképesztő pontszám
Jól jött végre egy jelenidős forduló.
Reméltem, hogy még délelőtt lesz rá időd, köszönjük! 
Első látásra: Télembernél nincsenek frissítve a kieső pontszámok.
Tényleg óriási változások voltak. Gordonka 16 (!) helyet ugrott előre győzelmével majdnem a Top10-be. Coontac 12 helyet jött előre az összetettben a megosztott bronzzal, de Palui 11 helyes szökkenését se feledjük
Herbary személyében pedig új összetett listavezető zárta az első félidőt. Jöjjön a második félidő...
Első látásra: Télembernél nincsenek frissítve a kieső pontszámok.
Tényleg óriási változások voltak. Gordonka 16 (!) helyet ugrott előre győzelmével majdnem a Top10-be. Coontac 12 helyet jött előre az összetettben a megosztott bronzzal, de Palui 11 helyes szökkenését se feledjük
Friss és ropogós a félidős kiesős ranglista a fenti linken. Ha hibáztam volna, itt kiabáljatok! Változás az élen és elég nagy mozgások történtek, no meg nagy tülekedés van bizonyos helyekért, lehet mazsolázni
Gratulálok mindenkinek, aki előttem végzett (ez tényleg szinte mindenki
) és külön paleopapának és kahdrának, akik mögöttem! 
Gyalázatos teljesítményemet elsősorban a nyakasságomnak köszönhetem, mivel minden kört megpróbálok 1,2-es szorzóval végigjátszani.
Ebből is látszik, hogy csak a bölcs ember képes megfelelő pillanatban megszegni a fogadalmát, én nem.
Gyalázatos teljesítményemet elsősorban a nyakasságomnak köszönhetem, mivel minden kört megpróbálok 1,2-es szorzóval végigjátszani.
Ebből is látszik, hogy csak a bölcs ember képes megfelelő pillanatban megszegni a fogadalmát, én nem.
Köszönöm, jólesett már egy 20 pont feletti eredmény. Sok szerencsét Szolnokon. Ha ott jártok, legyen "csíkralépési engedélyetek". Nem vicc, tényleg van ilyen, csak mi nem tudtuk.
Köszi-köszi, természetesen én is gratulálok a győztesnek és a dobogósoknak 
Röviden: kellemes, laza, baráti hangulatú, azonban minden szakmai szempontot előtérbe helyező, hivatalos
Szeged, illetve a szegedi észlelő(k) már csak ilyen(ek)!
Röviden: kellemes, laza, baráti hangulatú, azonban minden szakmai szempontot előtérbe helyező, hivatalos
Szeged, illetve a szegedi észlelő(k) már csak ilyen(ek)!
Gratulálok a dobogósoknak (is)
Azt azért megnéztem volna, milyen is volt az észlelés
Azt azért megnéztem volna, milyen is volt az észlelés
Hiába na, Szegedet mindig is imádtam
Gratulálok Gordonkának a győzelemhez és mindenkinek, akinek sikerült jól belőnie a várható időjárást. A forduló kulcskérdése a jelenidő volt és végre volt időm módosítani és még jól is
Éljen Szeged
Ez az osztott bronzérem nagyon tetszik, pláne hazai pályán, megérte a módosítás (10,8 --> 23,1)
És köszönjük még egyszer a közös észlelés lehetőségét, Imi!
És köszönjük még egyszer a közös észlelés lehetőségét, Imi!
Gordonkának gratula!
Részemről elégedett vagyok, 20 pont 1,0-ás szorzóval
Részemről elégedett vagyok, 20 pont 1,0-ás szorzóval
Így van, akkor még nem volt, most már ott van. Ez volt délben is az érték, azaz délután nem szaporodott.
Gondolom akkor még nem volt, amikor írtad. Most 0,7 mm/12h, ahogy a synopban is szerepel. Ez vajh automata-e?
Nekem az 1.1 est ami várhatóan 16,5 pontos lenne sikerült becserélnem egy 1.0-ás várhatóan 12 pontosra
Kellett nekem ennyit agyalnom 
hófúvás: Nekem már kiírja, a 12 órás csapadékösszeg ugyanúgy 0,7mm, a Tmax pedig -1,7 °C
hófúvás: Nekem már kiírja, a 12 órás csapadékösszeg ugyanúgy 0,7mm, a Tmax pedig -1,7 °C
Amíg Bubu bával lerágjuk a körmünket reggelig, készülhetünk a következő fordulóra, ami legyen Szolnok 2021. január 24-én 6 UTC
Lehet... De ezt majd megmérjük tűvel majd csicseri tavaszi napon.
Nem Bubu.
Az állomás épülete tök É-D, ha megyünk hátra, a régi töltőház vele párhuzamos. Szóval a fotón látható szélárbóc észak.
Az állomás épülete tök É-D, ha megyünk hátra, a régi töltőház vele párhuzamos. Szóval a fotón látható szélárbóc észak.
Hát reggel nem volt olyan hideg, de épp porhó minősítést adott az észlelő Coontac. Most meg majdnem coopos vajaskenyér színe van az égboltnak, majdnem derül... Az állomástól keletre vagyok, kb 3,6 km.-re, belvárosi klíma, -2,1 fok az udvari hellmanban. A hó pedig kezd tömörödni, az a sovány 1 centi. kb. 0,5 mm. eddig 7-től.
Hát igen, a helyi tapasztalatok... 
Kívánok Szegedre sok havat, kevés víztartalommal
Kívánok Szegedre sok havat, kevés víztartalommal
Véletlenül csúsztam le az 1,1-es szintre, és ha délen beindul-na a havazás, akkor ne hagyja abba másnap hajnalig. Azért a 1,1-5 mm. 
Mint újdonsült szegedi lakos és észlelő, és mint kijáró metnet-talis; a kockás épület tájolása szerintem ény.-dk. Az északnyugati vége Majsa felé mutat, ami ény. a térképen is.
A csíkos hópelyhek iránya látszólag déli, amiben igaza van Bkrisznek. De ott 30 méterre a szélárbóc 10 méter magasan mást is mutathat, tehát épület-észlelő konténer becsavarása nélküli 10 m. magasan,= délnyugatit. Nekem a nyugati szél klappolt volna. Úgy látom nem lesz lehangoló a szegedi etapom.
A csíkos hópelyhek iránya látszólag déli, amiben igaza van Bkrisznek. De ott 30 méterre a szélárbóc 10 méter magasan mást is mutathat, tehát épület-észlelő konténer becsavarása nélküli 10 m. magasan,= délnyugatit. Nekem a nyugati szél klappolt volna. Úgy látom nem lesz lehangoló a szegedi etapom.
Gratulálok a lelkes brigádnak. Talán ha nem toporognak annyian a hőmérő körül, akkor meg lett volna a -8 fok. Így bukta a fordulóm, köszi srácok!
A létrát persze nem fotózták, amivel 10 m-re felmásztak a szélmérőhöz
Mögöttem nem volt senki. 
Amúgy ezt a fordulót a Gfs és az UM nyerte az Ecmwf-el szemben.
Amúgy ezt a fordulót a Gfs és az UM nyerte az Ecmwf-el szemben.
Volt 2 merész 1,1 - 5 mm-es tippel. Hosszú lesz kivárni a reggeli kézi mérést....
Egész csapat garantálta a jelenidőt,
Az órás szinopokban tegnap 17UTC óta folyamatosan nyugati az átlagos szélirány 250° és 290° fok között, csak épp 06UTC-kor tett egy kitérőt délnyugati irányba és azóta is nyugati, de sebaj, mert összejött a jelenidő, amit hosszas tanakodás után tettem be az 1,1-es módosítással és nagy szerencsére nem vettem ki 1,0-val....
Hajrá max -1,5°C, hogy a hó is megmaradjon!
Az órás szinopokban tegnap 17UTC óta folyamatosan nyugati az átlagos szélirány 250° és 290° fok között, csak épp 06UTC-kor tett egy kitérőt délnyugati irányba és azóta is nyugati, de sebaj, mert összejött a jelenidő, amit hosszas tanakodás után tettem be az 1,1-es módosítással és nagy szerencsére nem vettem ki 1,0-val....
Miből jön a majd’ 40 fokos eltérés? A 190 fok kb. a 6:40-kor mért érték lehet, utána indult nyugatias irányba a szél. Fura mert először ez került a synopba, aztán javítva lett.
A fotómból tökéletesen látszik a szél iránya, hiszen északnak sétáltunk.
Annyit javítok, hogy 230 fok lett végül a szélirány, ami délnyugati az erőssége pedig gyenge természetesen.
Egy órán belül itt az észlelés, egyébként 01:40-től ha nagyon gyengén is, de szállingózik a hó. Mindenesetre, ha jelenidőt sikerül beadnom majd, akkor már előre gratulálok a jelenidősöknek, mert hát nem egy egyértelmű helyzet volt, hogy hol is szállingózhat gyengén. Na mindjárt jön az igazság pillanata.
-5... Ennyi lehet a minimum. Szerintem 
Feltéve, hogy időben megérkeznek a felhők. Ugyanis már -4
Feltéve, hogy időben megérkeznek a felhők. Ugyanis már -4
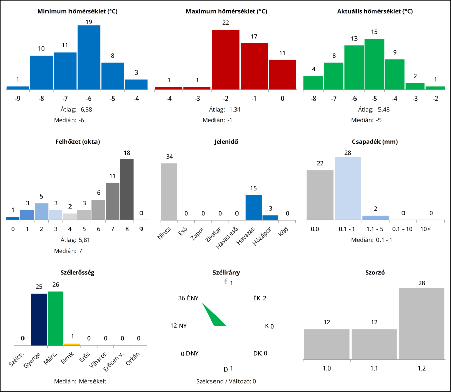
Tetszik a felhőzet tippek eloszlása a két maximummal
Meg a szinezése is.




