Információk az előrejelzési versenyhez
Versenyinformációk
A VERSENYSZABÁLYZATÚj előrejelzés elküldése az előrejelzési versenybe
A legutóbbi forduló eredménye
A verseny összesített állása
A 3 kieső fordulót nem tartalmazó összesített lista
A synop-kódok értelmezéséhez egy kis segítség
Szélirány-meghatározáshoz segítség
Stelvio segítségével megjelenített összesített ranglista
Stelvio segítségével megjelenített örökranglista
Stelvio segítségével megjelenített dicsőséglista
A meteorológiai állomások elhelyezkedése
A meteorológiai állomások beosztása
Fordulót lepontoztam, amit Pestimet nyert. Gratulálok neki és minden elégedett versenyzőnek.
Forduló: Link
Összetett: Link
A következő kiíró Tullner_Job szeretnénk kérni egy helyszínt és egy időpontot.
Választható helyszínek:
Békéscsaba [12992]
Budapest Liszt Ferenc Nemzetközi Repülőtér [lhbp]
Budapest-Újpest [metnet-es észlelő]
Csíkszereda (Miercurea Ciuc) [15170]
Debrecen [12882]
Kecskemét [12970]
Kékestető [12851]
Siófok [metnet-es észlelő]
Meteorológiai állomások beosztása: Link
Forduló: Link
Összetett: Link
A következő kiíró Tullner_Job szeretnénk kérni egy helyszínt és egy időpontot.
Választható helyszínek:
Békéscsaba [12992]
Budapest Liszt Ferenc Nemzetközi Repülőtér [lhbp]
Budapest-Újpest [metnet-es észlelő]
Csíkszereda (Miercurea Ciuc) [15170]
Debrecen [12882]
Kecskemét [12970]
Kékestető [12851]
Siófok [metnet-es észlelő]
Meteorológiai állomások beosztása: Link
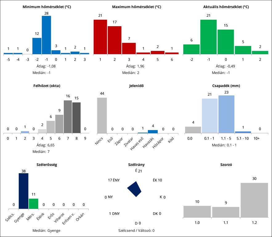
Megjöttek az adatok:
Összfelhőzet: 2 okta
Jelenidő: Nincs
T min: -0,9°C
T akt: -0,5°C
T max: 3,0°C
Szélirány: 350° (északi)
Szélerősség: 2,2 m/s (gyenge)
Csapadék: 1,0 mm.
Pontozok...
Összfelhőzet: 2 okta
Jelenidő: Nincs
T min: -0,9°C
T akt: -0,5°C
T max: 3,0°C
Szélirány: 350° (északi)
Szélerősség: 2,2 m/s (gyenge)
Csapadék: 1,0 mm.
Pontozok...
Úgy tűnik visszatöltődtek az adatok. A met.hu-s órás térképeken a hőmérsékletnél -1 fokot látok és 9 km/h-s átlagszelet északi (?) irányból.
Akkor már legyen hószállingózás is a szélcsendben a 2 okta felhőzetből. Az nagyon szép 
Ja, és visszamenőleg
Ja, és visszamenőleg
Na de 1 okta + 2 okta az annyi mint 3 okta, nem?
Na jó csak gondoltam megpróbálom...
DSzélcsend mi? Na még csak az kellene
Na jó csak gondoltam megpróbálom...
Köszi az infókat!
A felhőzet (hiánya...) vitte a Takt-ot is...
ha már lúd, legyen kövér...
A felhőzet (hiánya...) vitte a Takt-ot is...
Hát gyerekek sokan nem fognak szeretni, de megjöttem. Amilyen furfangos volt a belépő a 2019/2020-as téli szezonban olyan furfangos most az idei téli szezon is itt. Emlékeztek biztos, hogy sokan a 19/20-as tippeléskor jelentős felhőzetcsökkenést várt a mezőny csaknem egésze és 8 okta összfelhő lett. Most épp az ellentettje csapódott le:
Összfelhőzet: 2 okta (1 okta Ac4, 2 okta Ci2)
Jelenidő: Nincs.
T min: -0,9°C
Csapadék: 1,0 mm.
A többi adat (szélirány, szélsebesség, T akt, T max) meg miután megcsinálták az automatát és visszatöltődtek az adatok. Mivel az automata adatai játszanak annyit elárulok, hogy én itt -2,8 fokot mérek most és szélcsendet. Kíváncsi vagyok kinn mi lesz majd. Egyébként tegnap az ECMWF-ben benne volt itt 30-40%-os felhőfedettség, de azt számoltam én is (mint szerintem sokan itt), hogy a mediterrán ciklon felhőzete még beborít minket. Hát a felhőzet távolabb van, így a tegnapi 0 UTC-s ECMWF nagyon közel állt a valósághoz.
Összfelhőzet: 2 okta (1 okta Ac4, 2 okta Ci2)
Jelenidő: Nincs.
T min: -0,9°C
Csapadék: 1,0 mm.
A többi adat (szélirány, szélsebesség, T akt, T max) meg miután megcsinálták az automatát és visszatöltődtek az adatok. Mivel az automata adatai játszanak annyit elárulok, hogy én itt -2,8 fokot mérek most és szélcsendet. Kíváncsi vagyok kinn mi lesz majd. Egyébként tegnap az ECMWF-ben benne volt itt 30-40%-os felhőfedettség, de azt számoltam én is (mint szerintem sokan itt), hogy a mediterrán ciklon felhőzete még beborít minket. Hát a felhőzet távolabb van, így a tegnapi 0 UTC-s ECMWF nagyon közel állt a valósághoz.
Sajnos központi hibáról van szó, amit szerintem holnap megoldanak és vissza fognak töltődni az adatok. Addig mindenki türelmét kérem. Tipikus Murphy törvénye egyebként.
A csapadékot lemértem, ami már nem hiszem, hogy fog gyarapodni. A Szári úti hivatalos OMSZ automata 0,7 mm csapadékot mért, nálam a kézi kereken 1 mm lett.
A csapadékot lemértem, ami már nem hiszem, hogy fog gyarapodni. A Szári úti hivatalos OMSZ automata 0,7 mm csapadékot mért, nálam a kézi kereken 1 mm lett.
Hát nem pont arról az állomásról nem jönnek adatok, ahol a forduló van? Az lenne a meglepő, ha nem így lenne. Remélhetőleg csak a térképes megjelenítésben van a probléma.
Tízpercesekben volt 3 fok, de el is tűnt úgy mindenestül
Néhány más automata értékével együtt.
Imi éjszakás volt fején találtad a szöget.
Köszi Krisz, bár az utolsót nem találtad el, mondjuk eltalálhatnád már végre. 
Na gyerekek az a helyzet, hogy kereken 06:00 UTC-ig számít a minimum, ami -0,9°C lett. Csapadékról nem tudok mit nyilatkozni, míg nem vagyok otthon, de az biztos, hogy az otthoniak kicserélték a Hellmann-t pontban 06:45-kor. Észlelésre már otthon leszek, így akkor tudom mondani, hogy mennyi esett napközben. Az automata csapadékösszeg 06 UTC-től 0,7 mm, tehát a kézi is akörül lesz valószínűleg.
Jelenleg 2,4 fok van otthon, nagy eséllyel meg lesz a 3 fok szerintem.
Na gyerekek az a helyzet, hogy kereken 06:00 UTC-ig számít a minimum, ami -0,9°C lett. Csapadékról nem tudok mit nyilatkozni, míg nem vagyok otthon, de az biztos, hogy az otthoniak kicserélték a Hellmann-t pontban 06:45-kor. Észlelésre már otthon leszek, így akkor tudom mondani, hogy mennyi esett napközben. Az automata csapadékösszeg 06 UTC-től 0,7 mm, tehát a kézi is akörül lesz valószínűleg.
Jelenleg 2,4 fok van otthon, nagy eséllyel meg lesz a 3 fok szerintem.
Imi állítása szerint, ha éjszakás volt, nem alszik egész nap.
Jóra való srác, se nem iszik, se nem szív.
Tuti benőzött.
Jóra való srác, se nem iszik, se nem szív.
Tuti benőzött.
Csak elárulja nekünk Imi az igazságot, no meg valami orientációt ad a csapadékot illetően, ami mintha már fél tized körül is lenne (0.6 látszik a másik állomáson?).
Azt hiszem az 50-es vagy az órás. Még az is lehet, hogy nem egységes....... Adatkavalkád. A met.hu-s 24 órás minimumon kerekített -1 szerepel persze 7:00-ig. Ha esetleg -0,5°C lenne a 6:50-es, még az is lehet hogy a 10 percesek között ez alá nézett 1-2 tizeddel 
Imi1995 remélhetőleg hamarosan elárulja
Imi1995 remélhetőleg hamarosan elárulja
6:50 -1 fok. (Ami lehet akár -0,5 fok is.)
Mettől meddig tart a Tmin: 18:40-6:40 vagy 19:00-7:00? Az előbbi vagy az utóbbi van még/már “használatban” a synop táviratokban?
Mettől meddig tart a Tmin: 18:40-6:40 vagy 19:00-7:00? Az előbbi vagy az utóbbi van még/már “használatban” a synop táviratokban?
Én végül hosszú hezitálás után benntartottam az 1.2-es tippemet, ha más nem csak presztízsből
Persze a havas jelenidő így nézve már vicc, nem is értem mire gondoltam amikor megraktam
Ezen kívül viszont máson már kételkedve változtattam volna, mert murphy törvénye, hogy biztos nem úgy alakulna a dolog, ahogyan variáltam volna
Így legalább bízhatok abban, hogy a szorzó kompenzál majd ( vagy nem
)
Mindenesetre elkészítettem az összefoglalót: Link
Mindenesetre elkészítettem az összefoglalót: Link

Én meg módosítani akartam, de egy telefonhívás és........... 
Úgy látom engem már csak a beragadó felhőzetből szállingozó minihópelyhek menthetnek meg
Úgy látom engem már csak a beragadó felhőzetből szállingozó minihópelyhek menthetnek meg
Hát a rossebb se tudja mi lenne a jó... Azt hiszem lesz ami lesz alapon, marad az 1,2
Majdnem ma is elfelejtettem, mint tegnap
Szerencsére a szerver még időben összekapta magát, különben óvást nyújtottam volna be
Szerencsére a szerver még időben összekapta magát, különben óvást nyújtottam volna be
Az igen...
Én még félig nyersen kirántottam a sütőből, és úgy tálaltam fel hirtelen... Nem tudom mi lesz belőle, lehet megy az egész a kukába
de legalább van valamim
Én még félig nyersen kirántottam a sütőből, és úgy tálaltam fel hirtelen... Nem tudom mi lesz belőle, lehet megy az egész a kukába
2021.01.28.20:17:01, megfelel? 
Ezt elk..tyultam, sebaj a jövőkép is bizonytalan, a nézésem, meg a járásom is
Ezt elk..tyultam, sebaj a jövőkép is bizonytalan, a nézésem, meg a járásom is
Annak az automatának az adatai láthatóak a tízperces térképeken?
Automaták ide v. oda, azért az oktát létrára mászással támaszd alá.
?
Nem kioktatás volt. Egyszerű magyarázat. Csak nem értettem miért kételkedtél.
Kiváló példája annak, hogy billentyűzeten keresztül nem megy át a hangsúly... Szerintem reális lehet ilyen kis távolságon belül is a különbség.
Nem kioktatás volt. Egyszerű magyarázat. Csak nem értettem miért kételkedtél.
Kiváló példája annak, hogy billentyűzeten keresztül nem megy át a hangsúly... Szerintem reális lehet ilyen kis távolságon belül is a különbség.
A fordulót ki is írtam: Link
Mivel a laptopom az utóbbi időben eléggé labilis, így ha nem bánjátok a tőlem légvonalban nagyjából 400 méterre lévő hivatalos OMSZ automata lenne a mérvadó. Természetesen csapadékmérés kézzel nálam a szokásos Hellmann rendszerű csapadékmérővel történne.
Mivel a laptopom az utóbbi időben eléggé labilis, így ha nem bánjátok a tőlem légvonalban nagyjából 400 méterre lévő hivatalos OMSZ automata lenne a mérvadó. Természetesen csapadékmérés kézzel nálam a szokásos Hellmann rendszerű csapadékmérővel történne.
Elég egységes intenzitásban hullott a latyak, ezért tartom furcsának. De azért köszi a kioktatást.
Én már leadtam a kövi fordulót időpontját és helyszínét
Elvileg Felcsút, vasárnap este 19 UTC.
De mit nem értesz? Nézd csak meg mennyire éles volt a határ a jelentős mennyiségű csapadék és a néhány mm-es csapadék között. MIért olyan nehéz elhinni a mindössze 6mm különbséget 6 vagy mittudoménmennyi km-es távon?
Tök jól kirajzolja az éles vonalat, mégha ez csak egy interpolált térkép is... és valószínűleg nem teljesen pontos
Tök jól kirajzolja az éles vonalat, mégha ez csak egy interpolált térkép is... és valószínűleg nem teljesen pontos

1995 szeptemberében eltöltöttem két napot Rákóczifalván. Jól éreztem magam.
Szóval: csak okosan, Jocika!
Szóval: csak okosan, Jocika!
Kérnék szépen nem csak a magam nevében egy állásfoglalást, hogy mikor megyünk tovább a következő fordulóval.
Ez azért érdekes, én 15 mm-t öntöttem ki a mérőből, a szomszédban meg csak 9 volt...
