Információk az előrejelzési versenyhez
Versenyinformációk
A VERSENYSZABÁLYZATÚj előrejelzés elküldése az előrejelzési versenybe
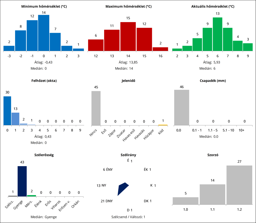
A legutóbbi forduló eredménye
A verseny összesített állása
A 3 kieső fordulót nem tartalmazó összesített lista
A synop-kódok értelmezéséhez egy kis segítség
Szélirány-meghatározáshoz segítség
Stelvio segítségével megjelenített összesített ranglista
Stelvio segítségével megjelenített örökranglista
Stelvio segítségével megjelenített dicsőséglista
A meteorológiai állomások elhelyezkedése
A meteorológiai állomások beosztása
METAR LHBP 030800Z VRB02KT 9000 NSC 06/00 Q1032 NOSIG=
6 fok, gyenge változó szél, felhőzet valószínűleg 0 okta, jelenidő nincs.
6 fok, gyenge változó szél, felhőzet valószínűleg 0 okta, jelenidő nincs.
Az csak azért, mert lemaradtam az 1,2-ről, -3-nál magasabbat abban sem adtam volna.
Én is toltam, -1,-2, ott egye fene, úgy maradt
Ja, látom 1.1-es a tipped, nincs miről beszélni
Már csak 2°C...
Ja, látom 1.1-es a tipped, nincs miről beszélni
Már csak 2°C...
Annyi biztos megvolt a METAR-ok alapján.
Elég sokat gondolkodtam, hogy -3 vagy -4 fokot adjak-e, lehet az utóbbit kellett volna.
Elég sokat gondolkodtam, hogy -3 vagy -4 fokot adjak-e, lehet az utóbbit kellett volna.
Ó, hogy baffa meg 
A tegnapi térdleletem felborította a bioritmusomat...
A tegnapi térdleletem felborította a bioritmusomat...
Miért is ne! aki lemaradt az 1,0-ról is, de van hátra pár óra,- A verseny nap 00 órájáig, -- játszhat. Esetleg annyi levonást kap - 1,2 amit végül is eltalált.
Példa : összpont 10. -1,2-es 12 pont, 12-10= 2 pont.
Igen, illetve ha VRB (változó) szél megy ki, akkor az adott mérő által mért pillanatnyi irány játszik.
A METARban szereplő adatok megegyeznek a mi adatainkkal (legalábbis az aktuális hőmérséklet és a szél)?
Akadt egy kis változás, ugyanis az egyik munkatársam beteg lett, és emiatt engem holnap áttettek nappalról éjszakára. De mivel sok extra nem várható, én azt javaslom, ne töröljük emiatt a fordulót, majd megkérem aki bent lesz, hogy nézze meg a felhőzetet, illetve szükség (VRB) esetén a szelet, a többit meg majd én este.
Én is. De mindegy, majd új alakítom, hogy 1,1-gyel is lehessen nyerni.
Igen, az egyszerűség kedvéért mindig, hacsak valamiért ott ki nem esik a műszer. Ha zárva lenne a repér, akkor az a pályairány játszik, ami a szélnek megfelelően érvényben lenne.
Az OMSZ-nak külön automatája van a reptéren, mi ahhoz közvetlenül nem is férünk hozzá, csak azt látjuk, amit bárki más a met.hu-n.
Az OMSZ-nak külön automatája van a reptéren, mi ahhoz közvetlenül nem is férünk hozzá, csak azt látjuk, amit bárki más a met.hu-n.
Köszi!
Mindig az irány szerinti jobb küszöb számít, vagy az aktuális pálya küszöbe (pl. pályazár esetén)? Még egy, - ez már inkább csak kíváncsiságból - ha zárva lenne a reptér, az észlelésnél melyik mérő adata játszana?:Đ
Egyébként az OMSZ oldalán látható ferihegyi érték bármelyik mérővel megegyezik, vagy teljesen külön van a két "rendszer"?
Mindig az irány szerinti jobb küszöb számít, vagy az aktuális pálya küszöbe (pl. pályazár esetén)? Még egy, - ez már inkább csak kíváncsiságból - ha zárva lenne a reptér, az észlelésnél melyik mérő adata játszana?:Đ
Egyébként az OMSZ oldalán látható ferihegyi érték bármelyik mérővel megegyezik, vagy teljesen külön van a két "rendszer"?
Ferihegyi bennfentes lehet még Zivipötty is. Mérések bal jobb pálya, két sarka meg a szél, a T. akt +- 0,2-0,5, esetleg több. Kékes után már elképzelhető. 
"Mondjuk Ferihegyre nem jöhetnek be csak úgy, meg különben is veszélyes lenne az a találkozás azután, hogy a hétvégén rászabadítottam Siófokra az állatkertet. "

"Mondjuk Ferihegyre nem jöhetnek be csak úgy, meg különben is veszélyes lenne az a találkozás azután, hogy a hétvégén rászabadítottam Siófokra az állatkertet. "
Megtiszteltetés számomra Imi, hogy engem szemeltél ki egy "pocsolya-parti" parti létrehozására.
Bevallom őszintén, hogy az elmúlt fordulókban mutatott teljesítményem után két dolog fordult meg a fejemben:
1. öngyilkos leszek
2. csak virtuálisan leszek öngyilkos azzal, hogy a javaslatodnak megfelelően saját magam írom ki a "tavi túrát".
Aztán megráztam magam és felemeltem csüggedt lelkemet. Arra gondoltam, hogy -ha már annyian lojálisak voltatok velem az eddigi fordulókban és ezzel lehetővé tettétek számomra esetlegesen egy újabb koronázáson való aktív részvételemet -, akkor most már nem b...k ki magammal.
Gyorsan átfutottam a következő napok kilátásait és arra jutottam, hogy egy szerda reggeli forduló sok vidám percet okozhatna az előrejelző csapatnak. És, hogy tényleg csupa jókedv és kacagás kísérje a fordulót, azt gondolom, hogy jópofa ötlet lenne ha a hidegfrontot követő reggelt övező és megválaszolásra váró kérdések miért is ne egy híresen hűvös fekvésű helyszínhez kötődjenek.
Szóval: választásom Ferihegyre esett. Az időpont pedig: 2021.03.03. (szerda) 09 LT (08 UTC)
Jó játékot, sok sikert a brigádnak!
Bevallom őszintén, hogy az elmúlt fordulókban mutatott teljesítményem után két dolog fordult meg a fejemben:
1. öngyilkos leszek
2. csak virtuálisan leszek öngyilkos azzal, hogy a javaslatodnak megfelelően saját magam írom ki a "tavi túrát".
Aztán megráztam magam és felemeltem csüggedt lelkemet. Arra gondoltam, hogy -ha már annyian lojálisak voltatok velem az eddigi fordulókban és ezzel lehetővé tettétek számomra esetlegesen egy újabb koronázáson való aktív részvételemet -, akkor most már nem b...k ki magammal.
Gyorsan átfutottam a következő napok kilátásait és arra jutottam, hogy egy szerda reggeli forduló sok vidám percet okozhatna az előrejelző csapatnak. És, hogy tényleg csupa jókedv és kacagás kísérje a fordulót, azt gondolom, hogy jópofa ötlet lenne ha a hidegfrontot követő reggelt övező és megválaszolásra váró kérdések miért is ne egy híresen hűvös fekvésű helyszínhez kötődjenek.
Szóval: választásom Ferihegyre esett. Az időpont pedig: 2021.03.03. (szerda) 09 LT (08 UTC)
Jó játékot, sok sikert a brigádnak!
Köszi a gyors kiesős lista készítést ezután a "remek" forduló után 
Őrzöm a Top10 kapuját, mint oroszlán az elejtett zebrát a hiénáktól
Stelvionak nagy gratula, legkorábban leadott tippel nyert. Van, amikor nem sokat számít az előrejelzési időtáv.
Nagyon nem egyszerű ez a mostani téli kör, sok a váratlan fordulat. Aki ezt megnyeri......
Őrzöm a Top10 kapuját, mint oroszlán az elejtett zebrát a hiénáktól
Stelvionak nagy gratula, legkorábban leadott tippel nyert. Van, amikor nem sokat számít az előrejelzési időtáv.
Nagyon nem egyszerű ez a mostani téli kör, sok a váratlan fordulat. Aki ezt megnyeri......
A fenti linken megtekinthető a téli derbi 3/4-e utáni kiesős állás e kissé drámaira sikeredett forduló(k) után. Rengeteg kieső született Kékesen. Helycsere történt a dobogón. Reklamáció ide irassék!
Honzától elnézést kérek, a 10. fordulóban a 16 pontja helyett nálam valami hiba folytán 21.6 szerepelt. Ezt most korrigáltam, és csináltam keresztellenőrzéseket, nehogy mégegy ilyen benne legyen (nem volt).
Honzától elnézést kérek, a 10. fordulóban a 16 pontja helyett nálam valami hiba folytán 21.6 szerepelt. Ezt most korrigáltam, és csináltam keresztellenőrzéseket, nehogy mégegy ilyen benne legyen (nem volt).
Gratula Stelvionak!
Most végre nekem is egész jól összejöttek a dolgok. Nem semmi, hogy februárban 14 fok volt a Kékesen, ez rendesen kibabrált a mezőnnyel!
Viszont a 0 oktából elég nehéz lett volna 5 oktát kihozni, de hát Kékesen nincs lehetetlen...
Most végre nekem is egész jól összejöttek a dolgok. Nem semmi, hogy februárban 14 fok volt a Kékesen, ez rendesen kibabrált a mezőnnyel!
Viszont a 0 oktából elég nehéz lett volna 5 oktát kihozni, de hát Kékesen nincs lehetetlen...
Ejj, képes vagy népszavazást kiírni
Belekényszerítetted szegény(???) Imit a módosításba, és még Neked áll feljebb?
(naná, nekem-nekünk is)
Szerencséd, hogy Te is az alsó fertályon vagy, különben ugrik a koronázási kaja
Belekényszerítetted szegény(???) Imit a módosításba, és még Neked áll feljebb?
Szerencséd, hogy Te is az alsó fertályon vagy, különben ugrik a koronázási kaja
Ha hazai terepen nem vagyok benne a top 5-ben az már nekem felér egy utolsó hellyel. 5 év alatt az ember azért kiismeri a hely fortélyait.
Jó bizony! 
Azt hittem ilyen kevés pontszám már bukta neked, erre 4. lettél vele
Azt hittem ilyen kevés pontszám már bukta neked, erre 4. lettél vele
A fordulót lepontoztam, amit stelvio nyert. Gratulálok neki és minden elégedett versenyzőnek. 
Forduló: Link
Összetett: Link
A következő kiíró Télember lesz. Mivel Békéscsabára, Debrecenre csak szombat este lesz beosztásom, így lehet célszerű lenne várni. Vagy pedig a Jákli Imivel le kell totózni a jövő hetet ha például oda szeretnél fordulót kiírni.
Ferihegyet így lehet a következő héten választani:
03.03: 07:40-18:40 között.
03.04: 19:40-06:40 között.
Viszont van nekünk egy csodálatos balatonparti állomásunk is az észlelőt te magad is ismered. Kérdezd meg ráér-e esetleg, biztosan teljesíti a kívánságod.

Választható helyszínek:
Békéscsaba [12992]
Budapest Liszt Ferenc Nemzetközi Repülőtér [lhbp]
Budapest-Újpest [metnet-es észlelő]
Debrecen [12882]
Siófok [metnet-es észlelő]
Forduló: Link
Összetett: Link
A következő kiíró Télember lesz. Mivel Békéscsabára, Debrecenre csak szombat este lesz beosztásom, így lehet célszerű lenne várni. Vagy pedig a Jákli Imivel le kell totózni a jövő hetet ha például oda szeretnél fordulót kiírni.
Ferihegyet így lehet a következő héten választani:
03.03: 07:40-18:40 között.
03.04: 19:40-06:40 között.
Viszont van nekünk egy csodálatos balatonparti állomásunk is az észlelőt te magad is ismered. Kérdezd meg ráér-e esetleg, biztosan teljesíti a kívánságod.
Választható helyszínek:
Békéscsaba [12992]
Budapest Liszt Ferenc Nemzetközi Repülőtér [lhbp]
Budapest-Újpest [metnet-es észlelő]
Debrecen [12882]
Siófok [metnet-es észlelő]
Köszi Imike, legalább elhasználom a 16,5 pontos kiesőmet, úgy is sokalltam. 

Lehet újrajátszani, viszont akkor az eredeti elképzelés szerint Siófok lesz a helyszín.
Tudom, hogy veszélyhelyzetben nem lehet kiírni népszavazást, de nem lehetne -csak úgy suttyomban, svarcban
- csinálni egy gyors versenyzői népszavazást és újrajátszani ezt a fordulót?
Azon gondolkozom, hogy Magyarország legmagasabban fekvõ állomásáról van-e szó vagy valamit félrenéztem... 
Természetesen minden bõven kijön a 8-9 fok körüli T850-bõl, csak az állomás sunyin visszafogta magát az elõzõ napokban.
Természetesen minden bõven kijön a 8-9 fok körüli T850-bõl, csak az állomás sunyin visszafogta magát az elõzõ napokban.
Gyenge északkeletit látok minden oldalon. (40°, 2 m/s)
Nem mertem bevállalni a magasabb Tmin, Takt-ot és még a felhőzetet is az utolsó pillanatban változtattam rossz irányba.
Tmin: 7°C
Tmax: eddig 10°C
Felhőzet: 0 okta
Jelenidő: nincs
Takt: 10°C
Szél: gyenge északkeleti (40°, 2 m/s)
Csapadék: nem várható
Nem mertem bevállalni a magasabb Tmin, Takt-ot és még a felhőzetet is az utolsó pillanatban változtattam rossz irányba.
Tmin: 7°C
Tmax: eddig 10°C
Felhőzet: 0 okta
Jelenidő: nincs
Takt: 10°C
Szél: gyenge északkeleti (40°, 2 m/s)
Csapadék: nem várható
