Információk az előrejelzési versenyhez
Versenyinformációk
A VERSENYSZABÁLYZATÚj előrejelzés elküldése az előrejelzési versenybe
A legutóbbi forduló eredménye
A verseny összesített állása
A 3 kieső fordulót nem tartalmazó összesített lista
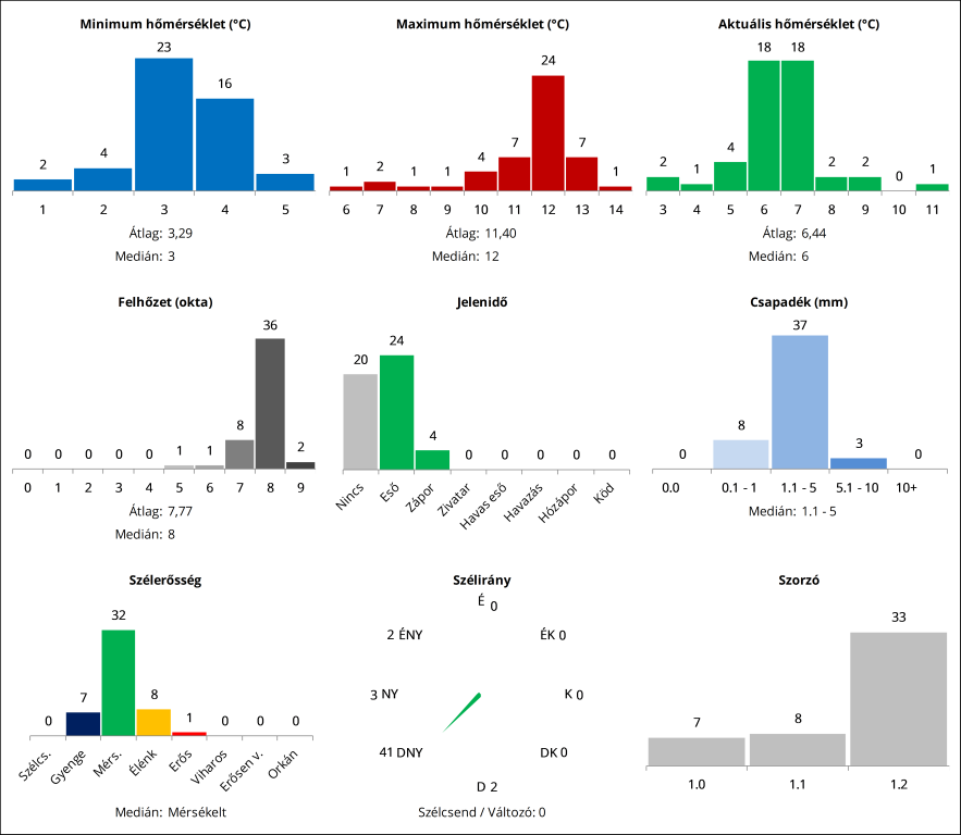
A synop-kódok értelmezéséhez egy kis segítség
Szélirány-meghatározáshoz segítség
Stelvio segítségével megjelenített összesített ranglista
Stelvio segítségével megjelenített örökranglista
Stelvio segítségével megjelenített dicsőséglista
A meteorológiai állomások elhelyezkedése
A meteorológiai állomások beosztása
Én 6:50-től nézve 1mm-t, 7:00-tól 0,9mm-t látok mostanáig. Bár ez gondolom az automata mérés, ami a met.hu térképen szerepel. Hát mindenesetre nagyon necces
Tmin 2,6 fok.
A szombat hajnali csapadék esélyek gyakorlatilag a nullával egyenlőek már, így most kéne kipréselődnie a lehető legtöbb csapadéknak, különben 1 mm alatt maradhatunk.
A szombat hajnali csapadék esélyek gyakorlatilag a nullával egyenlőek már, így most kéne kipréselődnie a lehető legtöbb csapadéknak, különben 1 mm alatt maradhatunk.
+5,8°C/-4,9°C....10,7 fokos harmatpont depresszió este 10-kor, kemény 
Hasít a déli szél (7 m/s-os átlag).
Hasít a déli szél (7 m/s-os átlag).
Nagyon átlagos előrejelzést adtam le korai 1,2-essel, meglátjuk mire lesz elég
Tegnap vonaton ülve, bepárásodott szemüveggel és két órája a saját CO2-met belélegezve adtam le, így érdekes lesz
Egy jóféle egyegyre még épp jó voltam... Majdnem ez is kiment a fejemből mint az előző forduló.
10-ig egykettes, hamar tegyék meg tétjeiket, bőven átlagjavító forduló lesz ez mindenkinek
A változó szél kapcsán felmerült pár kérdés bennem (főleg azokon az állomásokon, ahol a METAR távirat a döntő). A leírás egyértelmű, akkor kell/lehet változó irányt megadni (VRB), ha legalább 60°-ot, de kevesebb, mint 180°-ot változott a szél iránya az elmúlt 10 percben, az átlagos szélsebesség pedig 1,5 m/s (3 KT) alatt van. Ha efölött van a sebesség, akkor legalább 180°-ot kell változnia az iránynak, hogy VRB szerepeljen a táviratban, különben csak jelölve van a két szélső irány. Az utóbbi esetben változónak vesszük a szelet (mivel akár 3-4 irány között is változott a szél iránya), vagy az "átlag irány" számít?
Synop leírást nem találtam, hogy ott milyen kritériumoknak kell teljesülnie a 99-es kód használatához. Arról van valakinek pontos infója?
Synop leírást nem találtam, hogy ott milyen kritériumoknak kell teljesülnie a 99-es kód használatához. Arról van valakinek pontos infója?
A messzenézőmmel próbáltam minél galádabb időpontot lelni, majd kiderül, milyen a készülék 
Persze az észlelési időpontok, meg a lehetőségek erősen korlátoztak
Ezért kell (majd a következő kiírásban) minél előrébb végezni
Persze az észlelési időpontok, meg a lehetőségek erősen korlátoztak
Ezért kell (majd a következő kiírásban) minél előrébb végezni
Mivel a legutóbbi két fordulóban bevált, leadtam a nyertes tippet
Persze, én is tudom, hogy csillagászati az esélye a sorozat folytatásának, ám a győztes csapaton nem lehet változtatni, bár lehet, hogy satya rákényszerít!
Nem az első ilyen megjegyzés tőled az évek során, ezért hadd kérjem ki magunknak Imivel, hogy a verseny napjának estéjén talán kissé jogtalan a türelmetlen hozzászólás a pontozásra vonatkozóan. Egyrészt untig ráérünk másnap reggelig, ameddig amúgy a verseny tart (szép fricska lett volna a megvastagodott felhőzetből egy hajnali csepergés, persze esélye ~0 volt, tudom), másrészt tök időben vagyunk a téli szezonban is, nem kell sietnünk sehova, harmadrészt ugye ezt még mindig szabadidőben csináljuk Imivel, előfordulhat egyszer-egyszer, hogy nem pontozunk azonnal, ahogy megvannak az adatok, negyedrészt az új forduló adatait is csak most kaptuk meg reggel, tehát a világon semmi nem hajtott. Kicsit nagyobb toleranciát, ha kérhetünk, valamelyikünk legkésőbb másnap reggel mindig lepontozza a versenyt.
Mindazonáltal természetesen köszönjük a kiesős listát, sajnos fejlesztői oldalról még mindig nem sikerült megvalósítani, a nyári körre hátha.
Mindazonáltal természetesen köszönjük a kiesős listát, sajnos fejlesztői oldalról még mindig nem sikerült megvalósítani, a nyári körre hátha.
Hát akkor nézzük meg, nőnek-é a pulykakakasok
Debrecen, 2021.03.12 (péntek) 10 óra (09 UTC)
A későn kelőknek is kellemes időpont
Debrecen, 2021.03.12 (péntek) 10 óra (09 UTC)
A későn kelőknek is kellemes időpont
Csak aztán nehogy azt a madarat vadászd le, amit már én is kiszemeltem a távcsövemmel...
Az utánad következő fordulóra.
Hát a tollhoz még keresem a madarat 
De már lőtávolon belül van, talán holnap sikerül levadászni, a Balaton felől Debrecen felé repülőt, kérdés, az elejtéskor mihez lesz közelebb
Talán még a nagyfalut is érinti
De már lőtávolon belül van, talán holnap sikerül levadászni, a Balaton felől Debrecen felé repülőt, kérdés, az elejtéskor mihez lesz közelebb
Talán még a nagyfalut is érinti
Köszi a pontozást! Gondoltam én is rá, hogy pontozok, mint egykori "tartalékpontozó", de a változó szél miatt nem mertem belenyúlni.
Kár a Tmin-ért, így sajnos az én -2 fokom is annyi pontot ért, mint a sok 0 és -1 fokos tippé...
A győztes triónak meg gratula!
Kár a Tmin-ért, így sajnos az én -2 fokom is annyi pontot ért, mint a sok 0 és -1 fokos tippé...
A győztes triónak meg gratula!
Köszönöm! A kiesős lista a fenti linken frissítve.
Már csak egy következő helyszín és időpont hiányzik satya tollából
Már csak egy következő helyszín és időpont hiányzik satya tollából
Ha más nem, lepontoztam akkor én.
Link
A stelvio - MacBook - Hidegcsepp95 trió nyerte a fordulót, ahhoz képest nem is rossz pontszámmal, gratulálok nekik!
Mivel a Tmin-t szinte mindenki nullázta, a szél pedig sokaknak egyforma pontszámú lett, ezúttal a felhőzet, a Takt és a Tmax volt a döntő.
Link
A stelvio - MacBook - Hidegcsepp95 trió nyerte a fordulót, ahhoz képest nem is rossz pontszámmal, gratulálok nekik!
Mivel a Tmin-t szinte mindenki nullázta, a szél pedig sokaknak egyforma pontszámú lett, ezúttal a felhőzet, a Takt és a Tmax volt a döntő.
Nincs pontozás, nem tudok csinálni kiesőst anélkül. Valaki csak pontozhatna, páran biztos várjuk már.
(Illetve valójában még ennél is nagyobb. Még akkor a hozzászólás írásának pillanatában a bentről kapott infók alapján abban a tudatban voltam, hogy -5,5 lett a Tmin, azonban ténylegesen -6,1 volt. Vagyis 26,1 fok, 2019. február 28-án.
)
Nem tűnt egy nehéz fordulónak, mégis, ha jól látom, nem zár senki 20 pont felett. Nagy volt a hőingás.
Egy laza 20 fokos napi hőingás
Mennyi volt eddig Ferihegyen a legnagyobb napi hőingás?
Az, hogy országos, azt nem tudom, nekem vannak félelmeim
Mondjuk mostanában szeretem Debrecent is
Mondjuk mostanában szeretem Debrecent is
Addig én már gondolkodom a következő fordulón, egyeztetnem kellene a lehetséges kiíróval, de megvárom az esti Vasas-Siófok meccs végeredményét, ez is jókor jött, megkönnyítheti a döntést, egy (valakinek) kedvező kimenetel
Ha lehet pontozni a változót, akkor szerintem maradjon az, egyszerűbb.
Egyelőre nem írt még senki, de szerintem is 0 okta lehetett a felhőzet, végignéztem pár kamerát a környékről.
Met4ever: én is így voltam azzal. De akkor most már okosabbak vagyunk.
Egyelőre nem írt még senki, de szerintem is 0 okta lehetett a felhőzet, végignéztem pár kamerát a környékről.
Met4ever: én is így voltam azzal. De akkor most már okosabbak vagyunk.
Igen azt láttam, csak elbizonytalanodtam leadáskor, hogy ehhez az irányhoz gyenge szélerõsség társulhat-e a versenyben, vagy csak szélcsend ( < 0,5 m/s )
Le, nem kell fejlesztő sem hozzá, van ilyen opció széliránynál, hogy szélcsend/változó
Zivi azt írta, hogy változó irány esetén a pillanatnyi mért érték számít. (Ez mondjuk annyiból érdekes, hogy akkor LHBP-n nem lehet változó irányú szelet tippként leadni?)
Korábbról úgy rémlik, ilyenkor bármelyik irányra 1 pont járt + a sebesség. (Persze fejlesztői segítséggel.)
Korábbról úgy rémlik, ilyenkor bármelyik irányra 1 pont járt + a sebesség. (Persze fejlesztői segítséggel.)
Kár volt magam lebeszélni a gyenge változó irányú szélrõl. Le tudjuk kezelni a versenyben?
