Információk az előrejelzési versenyhez
Versenyinformációk
A VERSENYSZABÁLYZATÚj előrejelzés elküldése az előrejelzési versenybe
A legutóbbi forduló eredménye
A verseny összesített állása
A 3 kieső fordulót nem tartalmazó összesített lista
A synop-kódok értelmezéséhez egy kis segítség
Szélirány-meghatározáshoz segítség
Stelvio segítségével megjelenített összesített ranglista
Stelvio segítségével megjelenített örökranglista
Stelvio segítségével megjelenített dicsőséglista
A meteorológiai állomások elhelyezkedése
A meteorológiai állomások beosztása
Szerintem többen gondolkoztunk így, csak a várt (GFS) 10 fokos harmatpont mellett, 91-92%-os rH-nál sikerült 9 fokig hűlni. 
Gratula kahdrának, OMSZ hitt ebben az alacsony harmatpontban.
Érdekes azért, hogy a melegadvenció ellenére sikerült alulmúlni a tegnapi minimumot, tanulságos eset.
Gratula kahdrának, OMSZ hitt ebben az alacsony harmatpontban.
Érdekes azért, hogy a melegadvenció ellenére sikerült alulmúlni a tegnapi minimumot, tanulságos eset.
Gratula!
Bejött, amit a derült égtől és nagyon gyenge széltől reméltem, sőt még egy kicsit túl is lőtt rajta. Azt gondoltam, a harmatpont kicsit magasabb marad...
De jó kezdés
Bejött, amit a derült égtől és nagyon gyenge széltől reméltem, sőt még egy kicsit túl is lőtt rajta. Azt gondoltam, a harmatpont kicsit magasabb marad...
De jó kezdés
Hihi :-) amikor tegnap a többiek Tmin-jét megláttam, biztos voltam benne, hogy az enyém egy huncut pontot sem fog érni
Nem bonyolult a forduló, kahdrának sikerült is eltalálni a Tmin-t (9.1°C). 

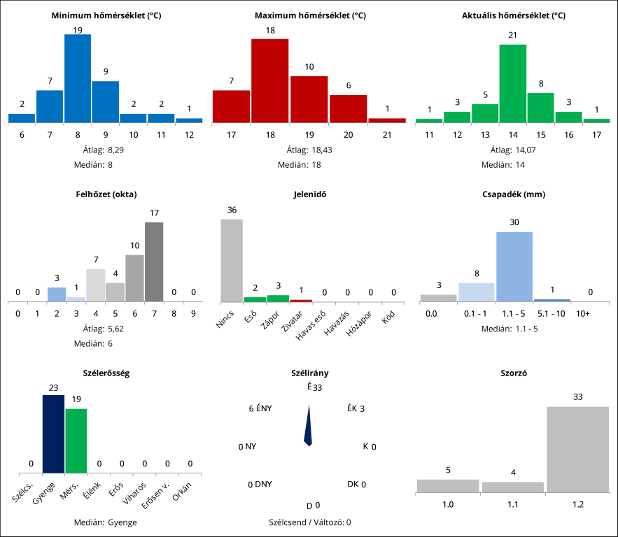
Elkészült az összefoglaló.
Link
Nem tűnik egy bonyolult fordulónak, mondjuk nekem az 1.2-esemet sikerült jól elszúrni sajnos, muszáj volt felülírjam.
Nem tűnik egy bonyolult fordulónak, mondjuk nekem az 1.2-esemet sikerült jól elszúrni sajnos, muszáj volt felülírjam.

Meteomanzon szoktam nézegetni a mért adatokat, megakadt a szemem a havi 0.8 mm csapadékon, durva! Link
A kiesős lista a fenti linken frissítve.
Érdekesség az idei verseny erősségének mérésére, hogy ha összeadom a verseny 37 versenyzőjének összpontszámát és ugyanezt megnézem az előző téli körben (ott is a 17. forduló után), akkor a mostani jóval kisebb, azaz nehezebb a mezőnynek ez a kör jóval: 7328.7 vs 8461.4
Érdekesség az idei verseny erősségének mérésére, hogy ha összeadom a verseny 37 versenyzőjének összpontszámát és ugyanezt megnézem az előző téli körben (ott is a 17. forduló után), akkor a mostani jóval kisebb, azaz nehezebb a mezőnynek ez a kör jóval: 7328.7 vs 8461.4
Gratulálok Hidegcseppnek a fordulóhoz, valamint deco05- nek a kiíráshoz!
A kiírás időpontjában hol járt a hullámzó front..., de én még csütörtök este is vajúdtam, hogy változtassak-e.
A kiírás időpontjában hol járt a hullámzó front..., de én még csütörtök este is vajúdtam, hogy változtassak-e.
Az ogimetet vesszük alapul, így szélcsendre pontozunk.
A fordulót Hidegcsepp95 nyerte 15,6 ponttal. Gratulálok neki és mindenkinek, aki elégedett a teljesítményével.
Forduló: Link
Összetett: Link
A következő kiíró szintén Gordonka lesz. Írd ki kérlek a fordulódat!
Választható helyszínek:
Budapest-Újpest [metnet-es észlelő]
Siófok [metnet-es észlelő]
Szolnok [12860]
A fordulót Hidegcsepp95 nyerte 15,6 ponttal. Gratulálok neki és mindenkinek, aki elégedett a teljesítményével.
Forduló: Link
Összetett: Link
A következő kiíró szintén Gordonka lesz. Írd ki kérlek a fordulódat!
Választható helyszínek:
Budapest-Újpest [metnet-es észlelő]
Siófok [metnet-es észlelő]
Szolnok [12860]
Csapadéknál a kézi mérés számít, és az 0,8 mm a MET-ÉSZ szerint.
Azaz 0.9, mert az elmúlt 12 órában is volt 0.1 mm. tök mindegy, csak hogy ugyanazt látjuk-e.
Link
Link
METÉSZ, gondolom kézi 0,1-del kevesebb, úgyhogy az már tán marad 
24 órás csapadékmennyiség
0.8 mm
24 órás csapadékmennyiség
0.8 mm
Ezen a linken közben 0 m/s szerepel már. Beszélek Imivel... (de kivan a hócipőm ezekkel...)
A szokásos kavar lehet az időpontokkal. Különböző helyeken, különböző időpontokra (10-20 perc eltérés) szóló adatokat tesznek közre azonos jelöléssel. De hogy ez még egy adott oldal két részoldala között is előforduljon....
Ha viszont az általad adott linken ráklikkelsz a 18Z-re, akkor ugyanazon adatok jönnek, mint amiket én alább beírtam: Link
Hogy miért van ez!?
Hogy miért van ez!?
A szélnél Link e szerint 276 fok (NY), de 0,7 km/h ami kb. 0,2 m/s, ha ez számít akkor szélcsend az észlelés.
06 UTC-s synopban kerek 19 fok szerepel, azóta hűsebb van.
Összecsöpörgött eddig 0.8 mm az automata szerint, de a csapadék már elállt.
Ütős égy forduló!
Összecsöpörgött eddig 0.8 mm az automata szerint, de a csapadék már elállt.
Ütős égy forduló!
Kiváló, azóta hűlünk (bár előtte a 19 fok talán megvolt már kerekítve) 
Takt 16,8...
Takt 16,8...
Köszönöm szépen! Gratulálok én is minden résztvevőnek!
Utazzunk ismét a Dunántúlra és a következő forduló legyen 17-én (pénteken) Nagykanizsán 20 órakor!
Utazzunk ismét a Dunántúlra és a következő forduló legyen 17-én (pénteken) Nagykanizsán 20 órakor!
Eme kissé megterhelő hegymászás után a kiesős lista a fenti linken nyílik meg.
Mivel csapadék esélytelen, így pontoztam.
A fordulót deco05 nyerte. Gratulálok neki és mindenkinek, aki elégedett a teljesítményével.
Forduló: Link
Összetett: Link
A következő kiíró szintén deco05 lesz. Írd ki kérlek a fordulódat!
Választható helyszínek:
Budapest-Újpest [metnet-es észlelő]
Nagykanizsa [12925]
Siófok [metnet-es észlelő]
Szolnok [12860]
A fordulót deco05 nyerte. Gratulálok neki és mindenkinek, aki elégedett a teljesítményével.
Forduló: Link
Összetett: Link
A következő kiíró szintén deco05 lesz. Írd ki kérlek a fordulódat!
Választható helyszínek:
Budapest-Újpest [metnet-es észlelő]
Nagykanizsa [12925]
Siófok [metnet-es észlelő]
Szolnok [12860]
Legutóbb már csak 16,6 fok volt, a maximum alighanem beállt, a kérdés, hogy 18 vagy 19 fokon. Volt 3-4 18 fok egymás után, de nincs nagy reményem a 19 fokra.
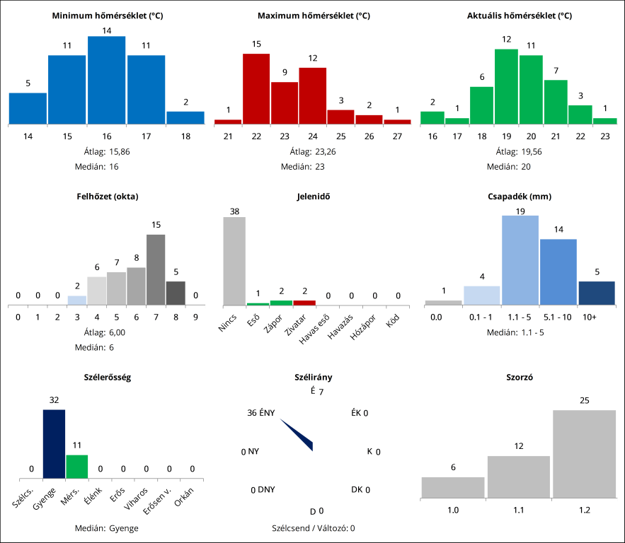
Elkészült az összefoglaló.
Link
Úgy látszik a hőmérsékleteken lehet majd nagyokat nyerni, vagy bukni.
Úgy látszik a hőmérsékleteken lehet majd nagyokat nyerni, vagy bukni.

