Információk az előrejelzési versenyhez
Versenyinformációk
A VERSENYSZABÁLYZATÚj előrejelzés elküldése az előrejelzési versenybe
A legutóbbi forduló eredménye
A verseny összesített állása
A 3 kieső fordulót nem tartalmazó összesített lista
A synop-kódok értelmezéséhez egy kis segítség
Szélirány-meghatározáshoz segítség
Stelvio segítségével megjelenített összesített ranglista
Stelvio segítségével megjelenített örökranglista
Stelvio segítségével megjelenített dicsőséglista
A meteorológiai állomások elhelyezkedése
A meteorológiai állomások beosztása
"Volt jelenidő (present) de éppen abban a két percben nem dörgött, amikor kinézett az észlelő" - NEM, nem volt jelenidő. A dörgés önmagában amúgy is kevés, hiszen a versenyben a 42-es jelenidő kódok feletti jelenidők számítanak, a dörgés pedig száraz zivatarként csak 17-es. + ha jól tudom, 15 perces szünet kell a dörgések között ahhoz, hogy már ne lehessen zivatarnak észlelni. Tehát semmiképp nem állja meg a helyét az, amit írsz. Az elmúlt óra (60 perc) során volt zivatar, de ez érdektelen a verseny szempontjából. Úgy csinálsz, mint aki teljesen kezdő, de mivel nem az első szezonod már, így nehéz nem sima kötekedésnek venni.
A +- óra nem lesz bevezetve, hiszen akkor mindenki beadta volna a záport vagy zivatart, a verseny értelmét veszítenénk el vele.
No, még mindig masszírozzuk?
A +- óra nem lesz bevezetve, hiszen akkor mindenki beadta volna a záport vagy zivatart, a verseny értelmét veszítenénk el vele.
No, még mindig masszírozzuk?
Hoppá, akkor már ketten vagyunk. Zivi értette miről van szó . Volt jelenidő (present) de éppen abban a két percben nem dörgött, amikor kinézett az észlelő, ezért odabiggyesztették a synopba, hogy az észleléskor nem, de azért az általam nézett táblázatba betették a zivatar ikont (gondolom mert a zivatar két perc alatt nem oszlott fel) Vagyis nem a 14 órát néztem be (ahogy feltételezted), csak nem néztem a szöveges kimagyarázását a zivatarnak.Épp a múltkor írtam hogy ez a tiszta lutri esete (ha öt perccel később néz ki az észlelő lehet, hogy éppen dörgött), vagyis nem az időjárás jellegének eltalálásáért jár a pont (az észlelés körüli órákban záporok zivatarok) , hanem az észlelés perce vagy az észlelő belátása a cél. Vagyis találjuk ki napokkal előbb melyik percben dörren és éppen mikor van kedve az észlelőnek kimenni stb. Erre javasoltam, hogy +- 1 óra számítson a jelenidőbe.
Na akkor utoljára. A verseny 14 UTC-re lett kiírva, ez azért jó, mert 14 UTC a világ minden pontján, még Pápán is 14 UTC-t jelent, nem lehet összekeverni. Legalábbis eddig azt hittem. A 14 UTC Magyarország jelenlegi határain belül a nyári időszámítás szerint (azaz most, nyáron) 16 órát jelent helyi időben. Viszont Románia területén, ahol Csíkszereda is fekszik, 1 órával előrébb járnak helyi időben, azaz a 14 UTC 17 órát jelent. De még mindig 14 UTC van mindenhol, akárhova nézünk is. Épp ezért könnyű a dolgunk, mert amikor adatot szeretnénk kapni 14 UTC időjárásáról, akkor elegendő megnézni a 14 UTC-re vonatkozó adatokat. Akár pápai, akár pornóapáti, akár szegedi, akár csíkszeredai adatokra vagyunk kíváncsiak, csak a 14 UTC-t kell keresni. Zivi linkjét ha megnyitod, akkor keresni sem kell, mert kapásból a 14 UTC-re vonatkozó adatközlést láthatjuk, össze sem lehet keverni. Az adatok ott vannak feketén fehéren. Itt találunk egy olyat, hogyaszongya: "Present weather reported from a manned weather station : Thunderstorm (with or without precipitation) at the station during the preceding hour but no at the time of observation" Ez magyarul nagyjából annyit tesz, hogy zivatar (csapadékkal vagy nélküle) az állomásnál az elmúlt óra során, DE NEM az észlelés időpontjában. Tehát 14 UTC-kor nincs jelenidő. Nem kell 16 vagy 17 órázni, csak és kizárólag a 14 UTC-t keresni. Ott pedig nincs semmilyen zápor. A WW oszlopban is ugyanez a szöveg található, a WW1 és WW2 oszlopok past weather-t, azaz elmúlt időt jelentenek, rá kell vinni a kurzort a jelenidőre és gyönyörűen mutatja.
Tiszta? Vagy masszírozzuk még?
Tiszta? Vagy masszírozzuk még?
Tudom, hogy benéztem, mert a 14 órának én 14 UTC-t néztem, de most sem tudom, hogy ami ott 14 az milyen idő (helyi ?) Ha helyi idő vagyis a 17 óra játszik oda meg WW záport tettek. Nekem a WW az nem múlt idő, a synopot nem nézem, felteszem az ogimet abból dolgozik.
Egyrészt lásd Zivi írását, másrészt 14 UTC-t nézz, harmadrészt mindenki érti, csak !megint! te nem...
72998
Present weather reported from a manned weather station: Thunderstorm (with or without precipitation) at the station during the preceding hour but no at the time of observation
Link
Present weather reported from a manned weather station: Thunderstorm (with or without precipitation) at the station during the preceding hour but no at the time of observation
Link
Tessenek parancsolni, lehet tippelni! Link 
Reméljük egy átlagjavító forduló lesz. Az előző forduló pontjait nézve egyébként még jó, hogy kihagytam Csíkszeredát.
Reméljük egy átlagjavító forduló lesz. Az előző forduló pontjait nézve egyébként még jó, hogy kihagytam Csíkszeredát.
Valamit nagyon benéztem, mert 14 óránál zivatar jelenídőt látok, de ezek szerint ez a 14 óra nem az a 14, ami nekünk számít.
A fordulót jocika8627 nyerte, gratula! Most sem kell a 20 pontos teljesítményeket keresgélni
A szelet senki (!) nem találta el, a Tmin-re 8 ember kapott pontot...
Forduló: Link
Összetett: Link
A következő kiíró Imi lesz. Szeretnénk kérni egy helyszínt és egy időpontot, májsztró
Valami átlagjavító, könnyű kört kérünk szépen, olyat, mint az előző kettő 
Választható helyszínek:
Bécs (Wien-Hohe Warte) [11035]
Békéscsaba [12992]
Budapest-Újpest [metnet-es észlelő]
Felcsút [metnet-es észlelő]
Kecskemét [12970]
Kékestető [12851]
Lomnici-csúcs (Lomnicky Stít) [11930]
Miskolc-Diósgyőr [12772]
Nagykanizsa [12925]
Pécs-Pogány [12942]
Siófok [metnet-es észlelő]
Szeged [12982]
Szolnok [12860]
Szombathely [12812]
Zágráb-Maksimir [14240]
Meteorológiai állomások beosztása: Link
Forduló: Link
Összetett: Link
A következő kiíró Imi lesz. Szeretnénk kérni egy helyszínt és egy időpontot, májsztró
Választható helyszínek:
Bécs (Wien-Hohe Warte) [11035]
Békéscsaba [12992]
Budapest-Újpest [metnet-es észlelő]
Felcsút [metnet-es észlelő]
Kecskemét [12970]
Kékestető [12851]
Lomnici-csúcs (Lomnicky Stít) [11930]
Miskolc-Diósgyőr [12772]
Nagykanizsa [12925]
Pécs-Pogány [12942]
Siófok [metnet-es észlelő]
Szeged [12982]
Szolnok [12860]
Szombathely [12812]
Zágráb-Maksimir [14240]
Meteorológiai állomások beosztása: Link
Ez tetszik
Egyébként majdnem eljátszottam én is ezt, mert valahogy vasárnap rémlett és a front is amúgy is akkor jön, hát naná, hogy akkori az időpont. Naná, hogy nem
Egyébként majdnem eljátszottam én is ezt, mert valahogy vasárnap rémlett és a front is amúgy is akkor jön, hát naná, hogy akkori az időpont. Naná, hogy nem
Én pedig egy nyerő 1,2-es tippet eldobdtam, mert annyira másnak tűnt a várható. Most látom, hogy azért változott meg ennyire, mert vasárnapot néztem. Ezt jól benéztem
Ma megvolt a holnapra adott 22 fokom. Másolás jól jönne 
17 órakor 17°C volt, 18-kor 20°C.
17 órakor 17°C volt, 18-kor 20°C.
Köszönjük Hidegcsepp a grafikont, táblát!
Na aszonygya asszony bugyra; 3 -an adtunk "csak" 16 fokos delelőt ennek a felvidéki állomásnak.
Meg legyen máá történés! Ma Szeged Majsa közt lapátolt az ablaktörlő ; oda vissza. Közben volt napos oldal is.
Na aszonygya asszony bugyra; 3 -an adtunk "csak" 16 fokos delelőt ennek a felvidéki állomásnak.
Meg legyen máá történés! Ma Szeged Majsa közt lapátolt az ablaktörlő ; oda vissza. Közben volt napos oldal is.
Igy kell ezt csinálni 
Ma még emlékszem, mindjárt nekivetelkedek, mielött holnap lesz
Ma még emlékszem, mindjárt nekivetelkedek, mielött holnap lesz
Igen, ott már hamarébb lemegy a nap.
Túl vagyok az 1,2-es módosításán, még 1,2 időben. A hőmérsékleteken csiszoltam, ide oda 1-3 fokot, ami a ponthatárba belefért. Lehet hogy élétvesztett fejsze lett az eredmény, koczkáztatok...
Na jöhet a "habkönnyű" csíkszeredai galuska. (somlói)
Túl vagyok az 1,2-es módosításán, még 1,2 időben. A hőmérsékleteken csiszoltam, ide oda 1-3 fokot, ami a ponthatárba belefért. Lehet hogy élétvesztett fejsze lett az eredmény, koczkáztatok...
Na jöhet a "habkönnyű" csíkszeredai galuska. (somlói)
Ugyanez a szitu Pér, és Sármellék esetében is? Talán Nagykanizsa?
Nekem "ködbe vész" ez a Sopron, meg a dombja. És esetleg Veszprém?
Nekem "ködbe vész" ez a Sopron, meg a dombja. És esetleg Veszprém?
Közeli hely attól függ kinek ugye. Sopront nem tervezzük kivenni a választható helyszínek listájából, ugyanis attól függetlenül, hogy nem jön ki SYNOP távirat a helyi észlelők segítik a munkánkat. Pápáról egyrészt senkit nem ismerünk, másrészt pedig CAVOK esetén meg úgy ámblokk nem derül ki például az összfelhőzet mennyisége sem.
Szeretem az ilyen fordulókat, mert ilyenkor helyére kerül az önbizalmunk. 12 ponttal top10-ben lenni teljesen emberi dolog.
Köszönjük, lehet is tippelni: Link
A szorzó szerda 16 óráig él!
Gratula, Zivi, botrányos kör volt ez a soproni, még szerencse, hogy jön a habkönnyű 'Szereda búfelejtőnek
A szorzó szerda 16 óráig él!
Gratula, Zivi, botrányos kör volt ez a soproni, még szerencse, hogy jön a habkönnyű 'Szereda búfelejtőnek
Köszönöm! 
Bejött a kockáztatás (0 mm csapadék) a lekésett 1,2-es szorzó után, de azért a pontszámmal én sem vagyok elégedett, a hőmérsékleteken sok elment, pedig gondolkodtam a 18 fokos minimumon is, de akkor még nem nézett ki annyira felhősnek az éjszaka. Illetve kicsit meglepő volt, hogy csak 2 fokot hűlt 8-ig a maximumhoz képest.
Bejött a kockáztatás (0 mm csapadék) a lekésett 1,2-es szorzó után, de azért a pontszámmal én sem vagyok elégedett, a hőmérsékleteken sok elment, pedig gondolkodtam a 18 fokos minimumon is, de akkor még nem nézett ki annyira felhősnek az éjszaka. Illetve kicsit meglepő volt, hogy csak 2 fokot hűlt 8-ig a maximumhoz képest.
A soproni fordulót Zivipötty nyerte! Gratulálok neki!
Forduló: Link
Összetett: Link
A következő kiíró Télember lesz. Szeretnénk kérni egy helyszínt és egy időpontot.
Választható helyszínek:
Bécs (Wien-Hohe Warte) [11035]
Békéscsaba [12992]
Budapest-Újpest [metnet-es észlelő]
Csíkszereda (Miercurea Ciuc) [15170]
Felcsút [metnet-es észlelő]
Kecskemét [12970]
Kékestető [12851]
Lomnici-csúcs (Lomnicky Stít) [11930]
Miskolc-Diósgyőr [12772]
Nagykanizsa [12925]
Pécs-Pogány [12942]
Siófok [metnet-es észlelő]
Szeged [12982]
Szolnok [12860]
Szombathely [12812]
Zágráb-Maksimir [14240]
Meteorológiai állomások beosztása: Link
Forduló: Link
Összetett: Link
A következő kiíró Télember lesz. Szeretnénk kérni egy helyszínt és egy időpontot.
Választható helyszínek:
Bécs (Wien-Hohe Warte) [11035]
Békéscsaba [12992]
Budapest-Újpest [metnet-es észlelő]
Csíkszereda (Miercurea Ciuc) [15170]
Felcsút [metnet-es észlelő]
Kecskemét [12970]
Kékestető [12851]
Lomnici-csúcs (Lomnicky Stít) [11930]
Miskolc-Diósgyőr [12772]
Nagykanizsa [12925]
Pécs-Pogány [12942]
Siófok [metnet-es észlelő]
Szeged [12982]
Szolnok [12860]
Szombathely [12812]
Zágráb-Maksimir [14240]
Meteorológiai állomások beosztása: Link
Belsős info, és bár synop nincs Sopronból, adatunk szerencsére van. Az eltérést az eltérő intervallumban mért szél okozza. Sopron speciális eset, de azt az adatot vesszük figyelmbe a szélnél, ami synopba is kimenne... ha lenne.
Hozzáteszem, a meteorológiai adatközlés káosza miatt ezekről órákig lehetne vitatkozni, de próbálunk logikusan eljárni mindig, ahol mérlegelni kell. Ez minden, amit tehetünk.
Hozzáteszem, a meteorológiai adatközlés káosza miatt ezekről órákig lehetne vitatkozni, de próbálunk logikusan eljárni mindig, ahol mérlegelni kell. Ez minden, amit tehetünk.
A Takt, felhőzet, jelenidő az ~50-es, a szél elvileg a synopból kerül megállapításra (ami a magyarországi állomások esetében az óra egészes érték, ha jól rémlik). Értem, hogy Sopronnál nincs elérhető synop, de ha a hazai állomásoknál ez a gyakorlat, érdemes lenne ezalapján pontozni itt is.
Abból, hogy a 19:50-es széladat játszik.
----------------------------------------------------------
Rém rossz pontszámok néznek ki nekem. Bőven 10 pont alatt lesz...
----------------------------------------------------------
Rém rossz pontszámok néznek ki nekem. Bőven 10 pont alatt lesz...
A 20:00-ás tízperces átlagszél térképen 12 km/h-t mutat Sopronnál, most miből adódik az eltérés?
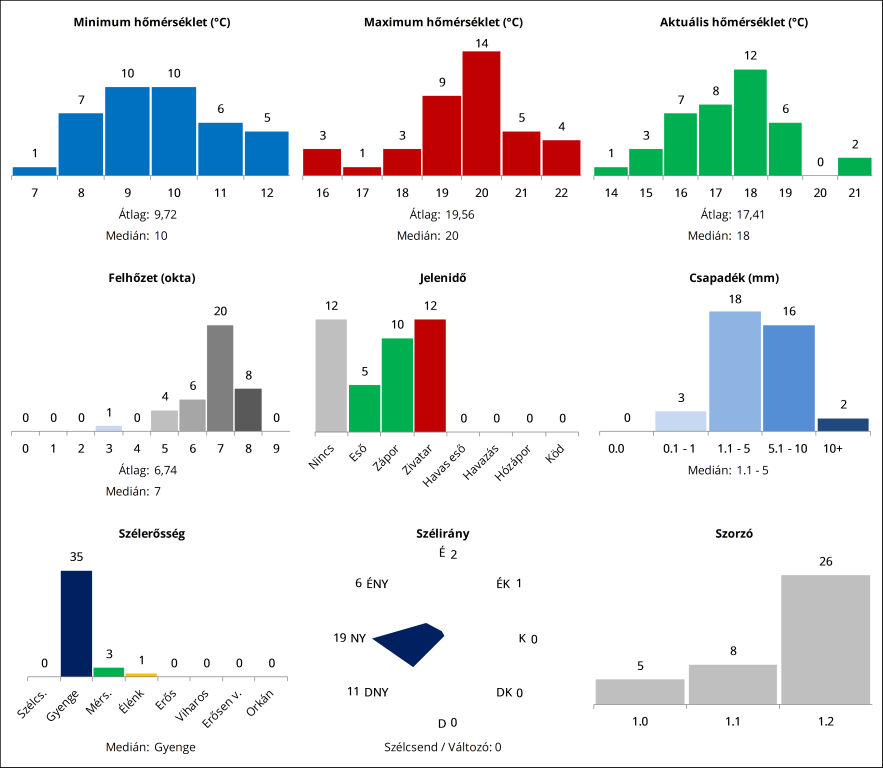
Összfelhőzet: 3 okta
Jelenidő: Nincs
T min: 18,6°C
T akt: 22,2°C
T max: 24,3°C
Szélirány: 315° (északnyugati)
Erőssége: 3,6 m/s (mérsékelt)
Csapadékról nem tudunk semmit. Délelőtt volt csepergés, nem tudom összejött-e a 0,1 mm, szóval pontozás csak reggel lesz.
Jelenidő: Nincs
T min: 18,6°C
T akt: 22,2°C
T max: 24,3°C
Szélirány: 315° (északnyugati)
Erőssége: 3,6 m/s (mérsékelt)
Csapadékról nem tudunk semmit. Délelőtt volt csepergés, nem tudom összejött-e a 0,1 mm, szóval pontozás csak reggel lesz.
A meleg légtömeg nem volt kérdéses. ami kérdéses volt, az a csapadékképződés/felhőzet, ami adott esetben jobban visszafoghatta volna a felszini T-t is nappal. A 10+ mm-től és sok felhőtől eljutottunk a 0 mm-hez és délutáni napos időhöz. A tendencia látszott, de még rátett egy lapáttal erre az időjárás. Az éjszakai 18,6 fokban nagy szerepe volt a dombi fekvésnek is, azt is jobban bele kellett volna kalkulálni.
Kezdenek a felhők elkotródni, már 22 fok körül van. Itt már kisütött és 25 fok, Óvár is bemért egy 25-öst, remélem betör a meleg Sopronba. Furcsa, hogy csak hatan adtunk nyári meleget és senki nem várt enyhe éjszakát. Ilyen rossz idő nézett ki mára ? Viszont estére remélem berobbannak a gomolyok egy kis jelenidő és 7 okta erejéig. (különben négyünknek bukta)
