Információk az előrejelzési versenyhez
Versenyinformációk
A VERSENYSZABÁLYZATÚj előrejelzés elküldése az előrejelzési versenybe
A legutóbbi forduló eredménye
A verseny összesített állása
A 3 kieső fordulót nem tartalmazó összesített lista
A synop-kódok értelmezéséhez egy kis segítség
Szélirány-meghatározáshoz segítség
Stelvio segítségével megjelenített összesített ranglista
Stelvio segítségével megjelenített örökranglista
Stelvio segítségével megjelenített dicsőséglista
A meteorológiai állomások elhelyezkedése
A meteorológiai állomások beosztása
Na, basszus, lekéstem az 1,0-ról is...
Pont nem küldte már el... 
Pedig végre kezdtem már elkapni a fonalat a versenyben... Bécs pedig amúgy is fekszik nekem. Hogyaza...
Pedig végre kezdtem már elkapni a fonalat a versenyben... Bécs pedig amúgy is fekszik nekem. Hogyaza...
Szabto ma helyreteszi az összesített listát és várhatóan már automatikusan generálódni fog a dolog.
Köszi, akkor egyértelmü.
"Jó lenne a 4 kieső szintü fordulómból csak 3-at látni"...Természetesen nem hármat, hanem csak egyet. Meleg van
"Jó lenne a 4 kieső szintü fordulómból csak 3-at látni"...Természetesen nem hármat, hanem csak egyet. Meleg van
Szerintem kimaradt. Bécsben amúgy sem választható a 20 UTC csak előtte a 18 UTC vagy utána a 21 UTC.
Hófúvás nem 20UTC-ra gondolt a "vasárnap UTC 20 órát"-val? Vagy kimaradt a 18 az UTC elött?
A nyerteseknek gratulálok. A Tmax/Takt nem volt a barátom.
Hofuvas: esetleg egy kiesős lista? Jó lenne a 4 kieső szintü fordulómból csak 3-at látni
Hofuvas: esetleg egy kiesős lista? Jó lenne a 4 kieső szintü fordulómból csak 3-at látni
Júj! már megint az a 20 óra- Páger Antal féle követés a filmmúzeumban...
Megint elfüstöl előtte egy kiadós zivatar...

Megint elfüstöl előtte egy kiadós zivatar...
Hát nem lett. Ha meg lett volna, akkor újra lehet pontozni, aztán maximum vendégem lett volna egy sörre az első négy helyezett, ha ilyen korán beharangozotam a győzelmüket.
Graz-nál azért most elég szépen bedurrant, abból már akár 1,1 mm is eshetne.
A csapadékkal én azért megvártam volna a reggelt, az osztrákoknál van egy-két pity-pötty, és több modell is vár kis cseperészést éjszaka, hátha.
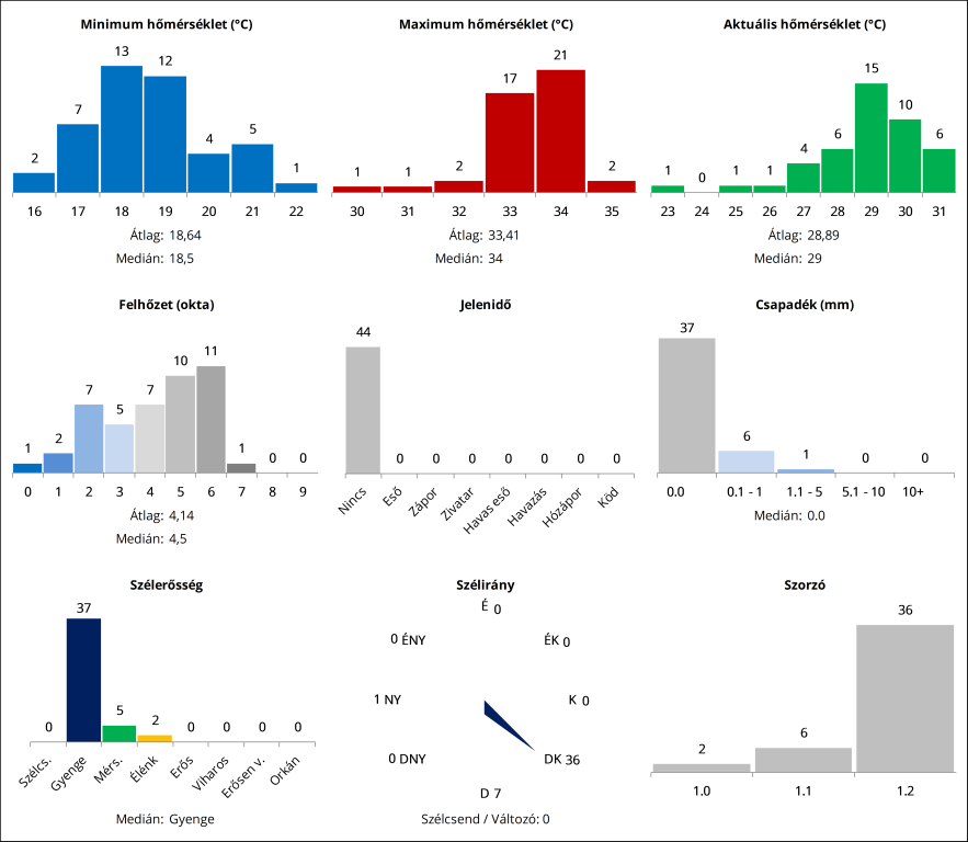
Tmin: 18
Tmax:32
Felhőzet: 7 okta
Jelenidő: nincs
Takt: 27
Szél: gyenge D
Csapadék: egyelőre 0
Szerk: Hehe, helló Imi
Tmax:32
Felhőzet: 7 okta
Jelenidő: nincs
Takt: 27
Szél: gyenge D
Csapadék: egyelőre 0
Szerk: Hehe, helló Imi
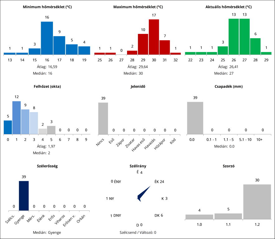
Adatok akkor:
Összfelhőzet: 7 okta
Jelenidő: Nincs
T min: 17,7°C
T akt: 27,1°C
T max: 31,7°C
Szélirány: 170° (déli)
Erőssége: 1 m/s (gyenge)
Csapadék: Nem volt.
A fordulót lepontoztam, amit sorban négy ember ember nyert meg (Perico, szabóka, Pestimet és Misimókus)
Forduló: Link
Összetett: Link
Gratulálok mindenkinek, aki elégedett volt a teljesítményével. A következő kiíró hófúvás lesz, így szeretnénk kérni egy helyszínt és egy időpontot.
Választható helyszínek:
Bécs (Wien-Hohe Warte) [11035]
Békéscsaba [12992]
Budapest-Újpest [metnet-es észlelő]
Felcsút [metnet-es észlelő]
Kecskemét [12970]
Kékestető [12851]
Lomnici-csúcs (Lomnicky Stít) [11930]
Miskolc-Diósgyőr [12772]
Nagykanizsa [12925]
Pécs-Pogány [12942]
Siófok [metnet-es észlelő]
Szeged [12982]
Szolnok [12860]
Zágráb-Maksimir [14240]
Meteorológiai állomások beosztása: Link
Összfelhőzet: 7 okta
Jelenidő: Nincs
T min: 17,7°C
T akt: 27,1°C
T max: 31,7°C
Szélirány: 170° (déli)
Erőssége: 1 m/s (gyenge)
Csapadék: Nem volt.
A fordulót lepontoztam, amit sorban négy ember ember nyert meg (Perico, szabóka, Pestimet és Misimókus)
Forduló: Link
Összetett: Link
Gratulálok mindenkinek, aki elégedett volt a teljesítményével. A következő kiíró hófúvás lesz, így szeretnénk kérni egy helyszínt és egy időpontot.
Választható helyszínek:
Bécs (Wien-Hohe Warte) [11035]
Békéscsaba [12992]
Budapest-Újpest [metnet-es észlelő]
Felcsút [metnet-es észlelő]
Kecskemét [12970]
Kékestető [12851]
Lomnici-csúcs (Lomnicky Stít) [11930]
Miskolc-Diósgyőr [12772]
Nagykanizsa [12925]
Pécs-Pogány [12942]
Siófok [metnet-es észlelő]
Szeged [12982]
Szolnok [12860]
Zágráb-Maksimir [14240]
Meteorológiai állomások beosztása: Link
Sopron 33, Győr 34. Nincsenek túl messze....
A tegnapi 32,6°C azért összejöhetne legalább.
A tegnapi 32,6°C azért összejöhetne legalább.
Elkészült az összefoglaló: Link
Nem lesz ez most egy bonyolult kör, bár azért a felhőzetnél van minden mi szem szájnak ingere.
Én az 1.2-es tippemet :58 kor adtam le, ehhez képest hárman még nálam is jobban kicentizték az időt.

Nem lesz ez most egy bonyolult kör, bár azért a felhőzetnél van minden mi szem szájnak ingere.
+18 ne már. Ez egy új elfogadott kifejezés. Újabb divat a meleg betöréseknél, hogy a kis Alföld szijja fel a meleget, jobban mint a dél Alföld. Talán közelebb van az olasz-spanyol-földközi tenger háromszögében újra születő ciklon gyártó hely...
elfelejtettem a nevét. Hiába a 68 felett..

elfelejtettem a nevét. Hiába a 68 felett..
Na na. és a forró melegnyelv nem kúszik fel Sz.hely-Bécsig? Ja és a szél..
Imádom a szél irányát meg az erősségét Mégis csak 4 pont.
Imádom a szél irányát meg az erősségét Mégis csak 4 pont.
20 órára lett kiírva a forduló, úgyhogy már nincs az 1,2-es szorzó...
...-ra 1,2*20 óra!
...-ra 1,2*20 óra!
Mivel valószínűleg én fogom leészlelni, úgyis rajtam múlik majd. 
Egyébként nincs messze a műszerkert az épülettől, a munkaszobából kényelmes sétával egy perc (talán se). Én meg úgyis a műszerkertből szoktam észlelni, szóval minden egy helyről lesz.
Egyébként nincs messze a műszerkert az épülettől, a munkaszobából kényelmes sétával egy perc (talán se). Én meg úgyis a műszerkertből szoktam észlelni, szóval minden egy helyről lesz.
"Remélem nem ez a 110 méter fog problémát jelenteni."
Fogd meg a söröm....
Fogd meg a söröm....
Szombathelynél a megjelölés az állomás épületén van nem a műszerkerten. Remélem nem ez a 110 méter fog problémát jelenteni.
Más állomások szerepelnek a listán, de akik otthonról észlelnek (OMSZ, Debrecen, Békéscsaba) nem feltétlenül szeretném rátenni a térképre.
Hivatalos, bár a magyarban általában nem arra szokták használni, amire eredetileg, hanem az észlelési helyszínt elkerülő zivatarokra (amikor dörgés hallatszik, de nem esik).
Az angolból eredő "dry thunderstorm" viszont az olyan zivatarokra vonatkozik, amik száraz alsó légréteg mellett alakulnak ki, és a csapadékuk elpárolog, mielőtt elérné a talajt (főleg sivatagi-félsivatagi területeken szokott ez jellemző lenni), vagy amikor olyan gyorsan alakul ki egy zivatar, hogy már azelőtt villámlik-dörög belőle, mielőtt a csapadék megindul (ez azért néha előfordul nálunk is, én is láttam már ilyenre példát).
Az angolból eredő "dry thunderstorm" viszont az olyan zivatarokra vonatkozik, amik száraz alsó légréteg mellett alakulnak ki, és a csapadékuk elpárolog, mielőtt elérné a talajt (főleg sivatagi-félsivatagi területeken szokott ez jellemző lenni), vagy amikor olyan gyorsan alakul ki egy zivatar, hogy már azelőtt villámlik-dörög belőle, mielőtt a csapadék megindul (ez azért néha előfordul nálunk is, én is láttam már ilyenre példát).
Hoppá, alighanem át kell olvasnom a a szabályzatot. Azt hittem a zivatar jelenidő mellé nem kell esnie, hogy zivatar jelenidő legyen, de tévedtem.
Különben ez a száraz zivatar hivatalos elnevezés ? Szerintem olyan zivatar nincs amiből nem esik (száraz), csak nagyobb területen lehet hallani a dörgést, mint ahol esik is.
Mindenesetre tanulság számomra, hogy ezentúl csak akkor adok jelenidőt, ha mindenki országos esőről,dühöngő ciklonról értekezik.
Különben ez a száraz zivatar hivatalos elnevezés ? Szerintem olyan zivatar nincs amiből nem esik (száraz), csak nagyobb területen lehet hallani a dörgést, mint ahol esik is.
Mindenesetre tanulság számomra, hogy ezentúl csak akkor adok jelenidőt, ha mindenki országos esőről,dühöngő ciklonról értekezik.
Akkor lenne +- 15 perc azzal a jelenidővel. Egy átlag zivatar is elélvez fél órán belül. 

Megértem, ha egész délelőtt-délután, vagy estefelé kiderül, nincs jelenidő, oké.
Megértem, ha egész délelőtt-délután, vagy estefelé kiderül, nincs jelenidő, oké.
Az ogimet-en minden elmúlt idős (ww2x) synop kódhoz be van téve a jelenidő ikon, ez így van már évek óta. Az általad linkelt táblázatban pl. 17 UTC-kor pl. elmúlt zápor (ww25), 05 UTC-kor elmúlt köd (ww2
.
Ezért kell megnézni, hogy mi a konkrét jelenidő. Ebben az esetben ww29, azaz az elmúlt órában zivatar volt. Az viszont ebből nem derül ki, hogy mikor. Lehet, hogy az észlelés előtt 10 perccel lett vége, lehet, hogy 50. Viszont pl. 2 perccel biztosan nem, mert ha legalább 10 perccel az észlelés előtt még dörgött volna, akkor ww17, azaz száraz zivatar lett volna a jelenidő (ami egyébként szintén nem számít bele itt a versenybe), mert az ilyen esetben elsőbbséget élvez az elmúlt idővel (ww29) szemben.
Én amúgy elvben támogatnám, hogy ha ww2x jelenidő van, vagy az észlelést követő órában van jelenidő, akkor a jelenidőt adók is kapjanak 1 pontot, mert igazságosabb lenne a 0-nál, viszont ez a magyarországi állomásokon kivitelezhetetlen lenne, mivel itt már nincs hagyományos synop észlelés, illetve sok helyen minden órában sincs észlelés, csak meghatározott időpontokban.
Ezért kell megnézni, hogy mi a konkrét jelenidő. Ebben az esetben ww29, azaz az elmúlt órában zivatar volt. Az viszont ebből nem derül ki, hogy mikor. Lehet, hogy az észlelés előtt 10 perccel lett vége, lehet, hogy 50. Viszont pl. 2 perccel biztosan nem, mert ha legalább 10 perccel az észlelés előtt még dörgött volna, akkor ww17, azaz száraz zivatar lett volna a jelenidő (ami egyébként szintén nem számít bele itt a versenybe), mert az ilyen esetben elsőbbséget élvez az elmúlt idővel (ww29) szemben.
Én amúgy elvben támogatnám, hogy ha ww2x jelenidő van, vagy az észlelést követő órában van jelenidő, akkor a jelenidőt adók is kapjanak 1 pontot, mert igazságosabb lenne a 0-nál, viszont ez a magyarországi állomásokon kivitelezhetetlen lenne, mivel itt már nincs hagyományos synop észlelés, illetve sok helyen minden órában sincs észlelés, csak meghatározott időpontokban.
Azért ha nem is értettem, hogy a táblázatban ha jelenidő van miért nincs mégsem ,azért hasznos volt e diskurzus : ne próbáld kurzor és angol fordító nélkül gyorsan megtudni, hogy milyen az idő, várd ki a profikat (sajnos az fél nap is lehet).
"Volt jelenidő (present) de éppen abban a két percben nem dörgött, amikor kinézett az észlelő" - NEM, nem volt jelenidő. A dörgés önmagában amúgy is kevés, hiszen a versenyben a 42-es jelenidő kódok feletti jelenidők számítanak, a dörgés pedig száraz zivatarként csak 17-es. + ha jól tudom, 15 perces szünet kell a dörgések között ahhoz, hogy már ne lehessen zivatarnak észlelni. Tehát semmiképp nem állja meg a helyét az, amit írsz. Az elmúlt óra (60 perc) során volt zivatar, de ez érdektelen a verseny szempontjából. Úgy csinálsz, mint aki teljesen kezdő, de mivel nem az első szezonod már, így nehéz nem sima kötekedésnek venni.
A +- óra nem lesz bevezetve, hiszen akkor mindenki beadta volna a záport vagy zivatart, a verseny értelmét veszítenénk el vele.
No, még mindig masszírozzuk?
A +- óra nem lesz bevezetve, hiszen akkor mindenki beadta volna a záport vagy zivatart, a verseny értelmét veszítenénk el vele.
No, még mindig masszírozzuk?
