Információk az előrejelzési versenyhez
Versenyinformációk
A VERSENYSZABÁLYZATÚj előrejelzés elküldése az előrejelzési versenybe
A legutóbbi forduló eredménye
A verseny összesített állása
A 3 kieső fordulót nem tartalmazó összesített lista
A synop-kódok értelmezéséhez egy kis segítség
Szélirány-meghatározáshoz segítség
Stelvio segítségével megjelenített összesített ranglista
Stelvio segítségével megjelenített örökranglista
Stelvio segítségével megjelenített dicsőséglista
A meteorológiai állomások elhelyezkedése
A meteorológiai állomások beosztása
18 UTC-re összejött már a zivatar jelenidő is, és kemény 0,3 mm csepergett le. Na még reggelig.....
Legalább a jelenidőre kapok pontot, ha a többire nem nagyon.
ess.
...és hogy hol vannak a zivatarok? Arrébb 
Nyolcan voltak elég bátrak nem adni jelenidőt. Nem mertem meglépni, az 5 pont x szorzó túl erős érv volt....
Nyolcan voltak elég bátrak nem adni jelenidőt. Nem mertem meglépni, az 5 pont x szorzó túl erős érv volt....
Takt 12,6°C, 7 okta, gyenge változó irányú szél. Csökkent a látás, de ködre nem futotta, csak 8 km-re. Szign. így nincs.
Megelőztél, épp írni akartam, hogy jó nagy meleg, köd tova és a zivatar is. Északra elment, eső semmi eddig és alig libben a szél. Eddig mindenem nullára áll. Még egy kis oktaszám meg szélirány besegíthet, meg talán a nulla szignifikáns. A csapadék alighanem felejtős, jó nagy lekváros bukta a 10 + mm-em.
13,7°C, volt már 14,2°C is. Kérdés, 14,5°C felett járt-e. Megint csak a dörgés hallatszik oda egy közeli zivatarból. Valaki leállíthatná már a zivatartaszítót....
# SYNOPS from 11930, Lomnicky Stit (Slovakia) | 49-12N | 020-13E | 2633 m################################################################################
202107180600 AAXX 18061 11930 11000 90303 10094 20094 37433 47145 53003 60002 74522
333 20073 30/// 70000 91009==
20073= 7,3C a Tmin.
202107180600 AAXX 18061 11930 11000 90303 10094 20094 37433 47145 53003 60002 74522
333 20073 30/// 70000 91009==
20073= 7,3C a Tmin.
Úgy látom, Poprádra is születtek tippek 
Ma nagyon kerülgetik a zivatarok az állomást, holnap el is találhatnák, lehetőleg 17 órakor...is
Ma nagyon kerülgetik a zivatarok az állomást, holnap el is találhatnák, lehetőleg 17 órakor...is
Tegnap észrevettem, hogy felcseréltem a mi-n-t a max-szal. Gondoltam várok még egy napot, ki is javítottam, de egy-két másodperccel kb lemaradtam. Visszavettem volna a csapadékból és a T-ből egy kicsit. Mivel csak az 1,1-es szorzó veszett volna nem tudom nem leszek-e így sereghajtó ? Mindenesetre amit tévedésből min-nek írtam (12 fok) van aki komolyan gondolta. Nekük lehet igazuk, tudnak valamit amit a többiek nem ? Mindenesetre most 12 fok van közeli zivatarral, még lehet akár ez is a minimum .
Nekem most nem sikerült, nem mintha beljebb lennék egy ilyen tippel, ilyen időpontra
Saját magam által kiválasztott fordulót elfelejteni........

Pedig reggel még eszemben volt...........volt, hol nem volt.
Pedig reggel még eszemben volt...........volt, hol nem volt.
Na majd ez a félidős helyszín vízválasztó lesz-e?
A hosszabításból betalál -e egy nedves billenés?
Kacsintós is lehet, elvégre 850 hPa-500 hPa. egyre megy. Poprádról nem is beszélve.

Kacsintós is lehet, elvégre 850 hPa-500 hPa. egyre megy. Poprádról nem is beszélve.
Továbbra is az él bennem, hogy 11. lettem az előző körben, azaz épp kicsúsztam a top10-ből, innen lehet a második félidőre gondolás
A kiesőst a fenti linken frissítettem.
Horror forduló volt, 5 embernek lett olyan pontszáma, ami meghaladta az eddigi legjobb kiesőjét. Na de majd Lomnicon sétagaloppozunk
Horror forduló volt, 5 embernek lett olyan pontszáma, ami meghaladta az eddigi legjobb kiesőjét. Na de majd Lomnicon sétagaloppozunk
Szabókának gratulálok győzelméhez ebben az újabb *** fordulóban! 
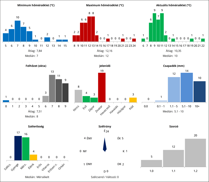
Javaslom, hogy felüdülésképpen evezzünk csendesebb vizekre, s látogassunk el egy kicsit magasabbra. Kezdjük a második félidőt a Lomnici csúcson, júl. 18-án, vasárnap, 15 UTC-kor.
Javaslom, hogy felüdülésképpen evezzünk csendesebb vizekre, s látogassunk el egy kicsit magasabbra. Kezdjük a második félidőt a Lomnici csúcson, júl. 18-án, vasárnap, 15 UTC-kor.
Csapadék nem hullott, így pontoztam. A fordulót szabóka nyerte 15.6 ponttal, gratula!
Forduló: Link
Összetett: Link
Gratulálok mindenkinek, aki elégedett volt a teljesítményével. A következő kiíró met4ever lesz, így szeretnénk kérni egy helyszínt és egy időpontot.
Választható helyszínek:
Budapest-Újpest [metnet-es észlelő]
Felcsút [metnet-es észlelő]
Kecskemét [12970]
Kékestető [12851]
Lomnici-csúcs (Lomnicky Stít) [11930]
Miskolc-Diósgyőr [12772]
Nagykanizsa [12925]
Siófok [metnet-es észlelő]
Szeged [12982]
Szolnok [12860]
Zágráb-Maksimir [14240]
Meteorológiai állomások beosztása: Link
Forduló: Link
Összetett: Link
Gratulálok mindenkinek, aki elégedett volt a teljesítményével. A következő kiíró met4ever lesz, így szeretnénk kérni egy helyszínt és egy időpontot.
Választható helyszínek:
Budapest-Újpest [metnet-es észlelő]
Felcsút [metnet-es észlelő]
Kecskemét [12970]
Kékestető [12851]
Lomnici-csúcs (Lomnicky Stít) [11930]
Miskolc-Diósgyőr [12772]
Nagykanizsa [12925]
Siófok [metnet-es észlelő]
Szeged [12982]
Szolnok [12860]
Zágráb-Maksimir [14240]
Meteorológiai állomások beosztása: Link
Na szépen lemaradtam az egész fordulóról, mindegy, úgyis elég szarul állok, ez már csak hal a tortán...
Beficcent igen.
Tmin 16,4°C
Tmax 33,8°C
Takt 25,1°C
Felh 6 okta
Szél mérsékelt északi
Szign nem volt
Csap még nem volt
Tmin 16,4°C
Tmax 33,8°C
Takt 25,1°C
Felh 6 okta
Szél mérsékelt északi
Szign nem volt
Csap még nem volt
Ha jól láttam, a 34°C is beficcant
Így arra se osztanak sok pontot, már csak a jelenidő hianyzik, zivatar, viharos széllel
Így arra se osztanak sok pontot, már csak a jelenidő hianyzik, zivatar, viharos széllel
Akkor megfogalmazom a kérésemet, hátha figyel rá 
Nem baj, ha 33 fok lesz a Tmax, csak 0,1 mm csapadékot kérek és 7 oktát este 8-ra, köszönöm
11:50 már 31°C, 32 felkészül....
Nem baj, ha 33 fok lesz a Tmax, csak 0,1 mm csapadékot kérek és 7 oktát este 8-ra, köszönöm
11:50 már 31°C, 32 felkészül....
Tmin 16,4°C
Négyen kapunk rá 1 pontot.
"Kicsit" több felhővel és nagyobbb csapadékeséllyel számoltam. Így persze melegebb is lesz....
Négyen kapunk rá 1 pontot.
"Kicsit" több felhővel és nagyobbb csapadékeséllyel számoltam. Így persze melegebb is lesz....
Éppen kérdezni akartam, hogy nem folytatódik a verseny....? Ránéztem és láttam, hogy de és már csaknem le is pottyantam az 1,0-ról.
Ez az idei nyári kör konkrétan egy tragédi nekem.
Ez az idei nyári kör konkrétan egy tragédi nekem.
Igen, rögtön az elején, ha jól emlékszem, herbary nem élt a lehetőséggel.
A fenti kiesős linken el is érhető. Fogom még ellenőrizni, de kiabáljatok, ha hibás.
Bennehagytam a téli kör végeredményét. Az excel neve ne tévesszen meg senkit, hogy 2020 van benne, ez azért van, hogy ne kelljen új link neki.
1995 dec. igen!
Bennehagytam a téli kör végeredményét. Az excel neve ne tévesszen meg senkit, hogy 2020 van benne, ez azért van, hogy ne kelljen új link neki.
1995 dec. igen!
Elöre is köszi!
Ha Veszprém és hó, akkor ha jól rémlik, 1995 december, szerintem hófúvás is volt rendesen
Valaki tudja a megfejtést arra, hogy miért csak a kilencedik forduló jön, ha Misimókus tizedik lett az elözö sorozatban, így tizedikként ad meg idöpontot/helyszínt? Kihagytunk valakit...?
Ha Veszprém és hó, akkor ha jól rémlik, 1995 december, szerintem hófúvás is volt rendesen
Valaki tudja a megfejtést arra, hogy miért csak a kilencedik forduló jön, ha Misimókus tizedik lett az elözö sorozatban, így tizedikként ad meg idöpontot/helyszínt? Kihagytunk valakit...?
Köszi! (a nickem az itt Veszprém-Nagyvázsony vonalon az évtizedek (egyre ritkább) során előforduló sok-sok hófúvásnak köszönhető, megéltem sokat). Gondolok rád majd akkor!
Met4ever: azt gyanítom, hogy a hivatalos kiesős változat tán már csak egy paraméterezésen múlhat. Azért hegesztek egyet a régi linkre, amíg az nem lesz élő.
Met4ever: azt gyanítom, hogy a hivatalos kiesős változat tán már csak egy paraméterezésen múlhat. Azért hegesztek egyet a régi linkre, amíg az nem lesz élő.
Gratula neked, bár a név szerint január 10.-én kellene tippelned, a szülinapomon.
Irány a viharok sarka, meg utána..
Irány a viharok sarka, meg utána..
Köszi! Csak most látom a kiesős oszlopt, hogy mondtad. Ha kell és mondjátok, szívesen csinálok kiesőst mint a legutóbbi körben.
Gratulalálok én is! Az összetettben is közel kerültél az első helyhez, bár a lista szerint még mindig azonos az összes kieső az összpontszámmal, így valójában mindenkinek nulla pontja van, erős holtverseny
Köszönöm!
Kb. 20-as oddsot adtam volna magamnak, hogy ebben a fordulóban élen végzem. Mák volt. Irány a Viharsarok!
Szuper! 
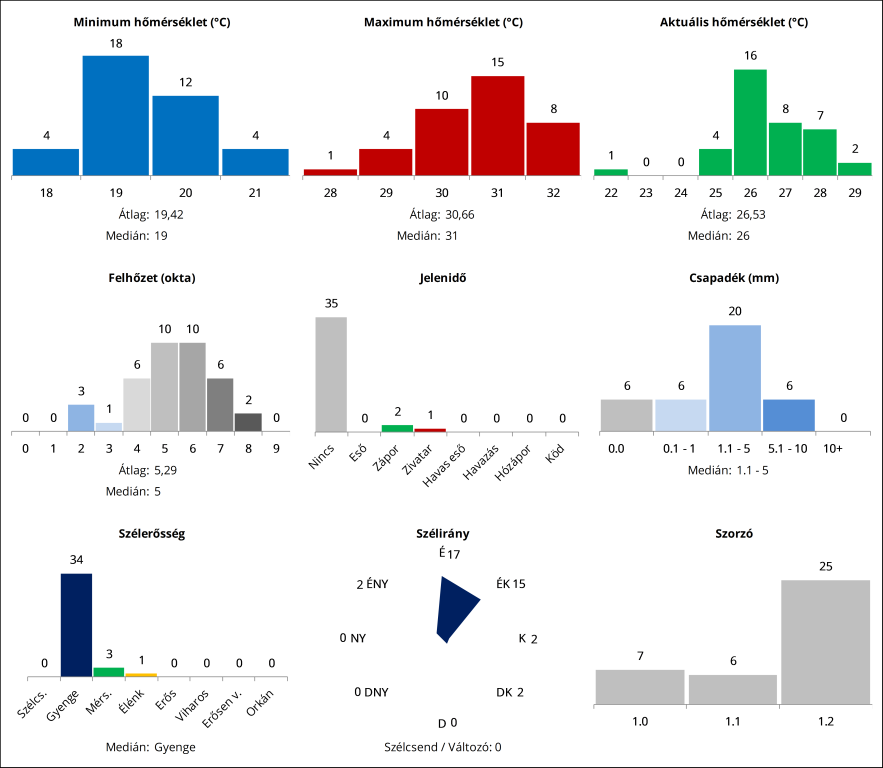
Akkor irány Békéscsaba! Az időpont pedig vasárnap (2021.07.11.) 20:00 legyen.
Köszönöm!
Akkor irány Békéscsaba! Az időpont pedig vasárnap (2021.07.11.) 20:00 legyen.
Köszönöm!
Köszönjük, lehet is tippelni: Link
Az 1.2-es szorzó csütörtök 20 óráig él!
Az 1.2-es szorzó csütörtök 20 óráig él!

