Információk az előrejelzési versenyhez
Versenyinformációk
A VERSENYSZABÁLYZATÚj előrejelzés elküldése az előrejelzési versenybe
A legutóbbi forduló eredménye
A verseny összesített állása
A 3 kieső fordulót nem tartalmazó összesített lista
A synop-kódok értelmezéséhez egy kis segítség
Szélirány-meghatározáshoz segítség
Stelvio segítségével megjelenített összesített ranglista
Stelvio segítségével megjelenített örökranglista
Stelvio segítségével megjelenített dicsőséglista
A meteorológiai állomások elhelyezkedése
A meteorológiai állomások beosztása
Nagy nehezen vissza is csusszant negatívba, mehet tovább, az sem baj, ha lassan
Ez így van!
Én csak azt sajnálom, aki szélcsendet adott, egy órával korábban az volt!
Nagy tipp lett volna!
Én csak azt sajnálom, aki szélcsendet adott, egy órával korábban az volt!
Nagy tipp lett volna!
Átléptük nagy nehezen a 0 fokot (+0,1°C). Este 7-ig még melegedhet, az sem baj, ha lassan
1 órával késõbb már délkeleti, ami épp tökéletes lett volna néhányunknak. Az órás adatokat végignézve éjfél utan volt délnyugati, keleti, északi, szélcsend is, szóval szinte minden. Túl gyenge a határozott irányhoz. De legalább havazott még 06UTC-kor.
Most még a csapadékot kellene valahogy aktivizálni estétõl nagy fordulatszámon
Most még a csapadékot kellene valahogy aktivizálni estétõl nagy fordulatszámon
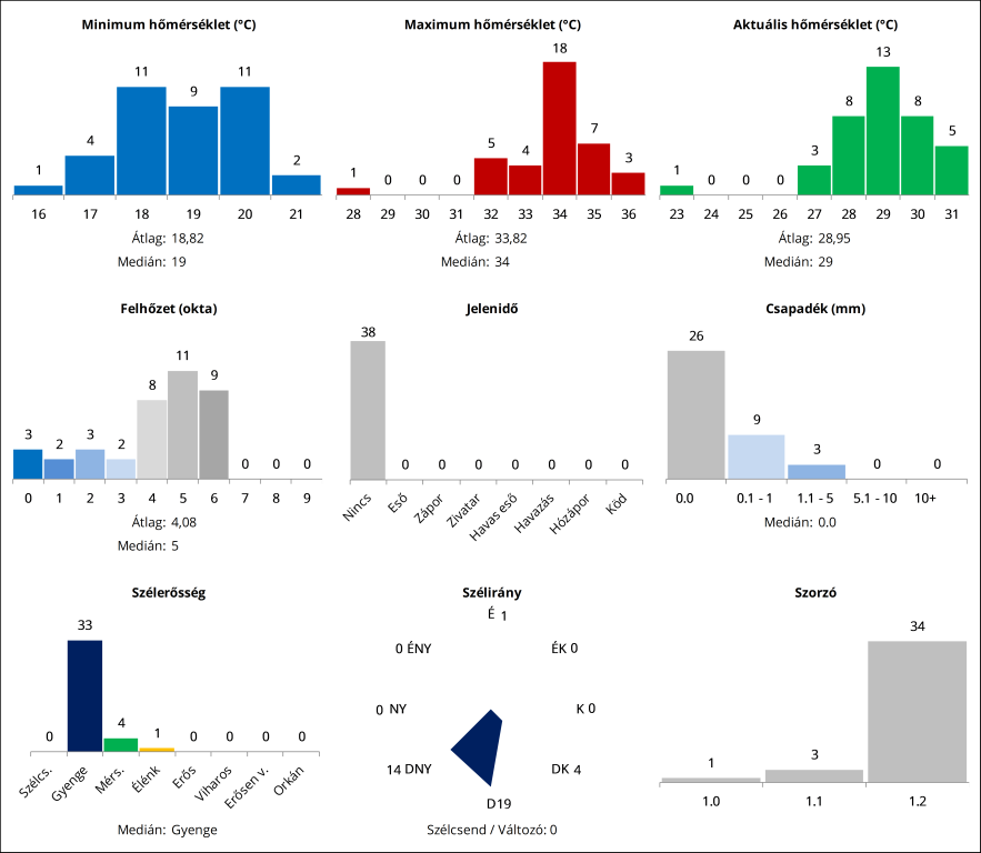
# SYNOPS from 11968, Kosice (Slovakia) | 48-40N | 021-13E | 230 m################################################################################
202112050600 AAXX 05061 11968 11227 82801 11009 21016 39786 40073 57005 69922 77122 885//
333 21023 3/104 47997 70002 81706 83714 88640=Azaz:
Tmin: -2,3C
Takt: -0,9C
8 okta borult
Gyenge D-i szél
havazás
Szlovák met. oldalról az alábbiakat hámoztam ki: Takt.: -0.9°C, borult, havazás, gyenge nyugati szél.
Kicsit késve, de elkészült az összefoglaló: Link
Azért ritkán van ennyi jelenidő.
A hőmérséklet pedig eddig -1,9 fokig ment le (23 órai adat), de jönnek mennek a felhők, nem hinném, hogy (pechemre) nagyon lejjebb menne, de persze hátha.
Azért ritkán van ennyi jelenidő.

Szzerintem nem véletlen. Vannak helyzetek, hogy választani kell, itt a havazás ( nagyon fitt lenne?!) de a kiszáradt légkör miatt esetleg --> eltolódik a csapadék, 50-100 km.szélességi fokban, délre északra -- és akkor ott a 3 pont. vagy a hav.-nál.
Bkrisz szomszéd meg akarsz tankolni jobban mint én múlt héten. Vegyük a 2x-es szorzót; senki sem akart full tele tenni az autóját ( <10 mm.) a többség csak rátankol emme még nem éppen ócsó benzinre. Én is tettem bele 17,5 litert 515.90-ért.a 100-as benzinből. + a nejem meg vett grill csírkét 1590-ért egészben. Nagyon finom.
A helyet meg adom privátban.
Ez nem a reklám helye. Vagy nem tom jól, lehetnek még olcsóbb helyek.
Bkrisz szomszéd meg akarsz tankolni jobban mint én múlt héten. Vegyük a 2x-es szorzót; senki sem akart full tele tenni az autóját ( <10 mm.) a többség csak rátankol emme még nem éppen ócsó benzinre. Én is tettem bele 17,5 litert 515.90-ért.a 100-as benzinből. + a nejem meg vett grill csírkét 1590-ért egészben. Nagyon finom.
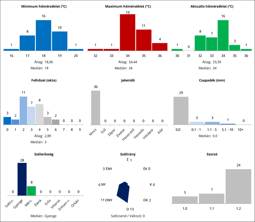
Nagy szórás nem lesz a pontokban, Tmax 2 fokon belül, Takt 3 fokon belül az egész mezőnyben
Csapadék mennyiség lehet a vízválasztó. (coontac, véletlen a 0,0 mm?
)
Sziasztok!
A 4. fordulóban menjünk Kassára, mégpedig december 5-én 7 órára (6 UTC).
Sok szerencsét mindenkinek!
A 4. fordulóban menjünk Kassára, mégpedig december 5-én 7 órára (6 UTC).
Sok szerencsét mindenkinek!
Mint az egyik jelenidős köszönöm a gratulációt!
Coontac írta: Amúgy nem lehetne most lefújni a téli kört?
Egyetértek
Coontac írta: Amúgy nem lehetne most lefújni a téli kört?
Egyetértek
Miért szidod? Pedig előkelő 15 pontos fordulót hagyól mögötted.
Én még a nyári gumikkal vagyok, ( tényleg az autót majd dec. elején viszem gumishoz) voltak is megcsúszások dögivel.( a T sor se jött be igazán, meg a hab a tortán a csapi se
semmi jelenidő mellett
) Pedig akartam tele tenni a virtuális tankot ócsó benzinnel.
Én még a nyári gumikkal vagyok, ( tényleg az autót majd dec. elején viszem gumishoz) voltak is megcsúszások dögivel.( a T sor se jött be igazán, meg a hab a tortán a csapi se
A ku....tyafáját!
Most látom, jelenidő nélkül holtversenyes forduló győzelemre is jó lehettem volna... 
Szerintem azért jó ez a verseny, mert akármennyire is kijön hosszú távon, hogy ki mennyire tapasztalt és ki tudja jobban összeszedni az infokat az adott időpontokra, de az időjárás mindig hordozza magában a szerencsefaktort is, és ettől kicsit sportfogadás jellege is van (néha az utolsó csapat is tud győzni
)
Szerintem azért jó ez a verseny, mert akármennyire is kijön hosszú távon, hogy ki mennyire tapasztalt és ki tudja jobban összeszedni az infokat az adott időpontokra, de az időjárás mindig hordozza magában a szerencsefaktort is, és ettől kicsit sportfogadás jellege is van (néha az utolsó csapat is tud győzni
Ó, én csak buktam, 8 fokot adtam, meg az enyémet szívtuk. 
Mondjuk cserében kaptam egy kávét.
És egy jó emberrel beszélgethettem!
Mondjuk cserében kaptam egy kávét.
És egy jó emberrel beszélgethettem!
Nem gondoltam volna, hogy még a +3,5°C sem tud összejönni. Ez volt a jellemző a nyugati határvidéken, kicsit keletebbre már +5, +6°C volt a jellemző.
Az észlelők cigizési szokásának és a cigizés idejének ismerete akkor döntő lehet
Az észlelők cigizési szokásának és a cigizés idejének ismerete akkor döntő lehet
Ha múltkor nem dumálunk és nem szívunk el egy cigit Tomival, lehet 8 fok lett volna a Takt. 
Amúgy kifejezetten szar idő volt ma Szombathelyen, itt legalább száradtak a mosott ruhák a napon.
Amúgy kifejezetten szar idő volt ma Szombathelyen, itt legalább száradtak a mosott ruhák a napon.
Tmax 3,3, csapadék eddig 0,8 mm. Részemről le is zárhatnánk
De minimális esély azért még van arra, hogy összejöjjön az a plusz 0,3 mm.
Szóval 2 fok és punktum. én 5 fokot adtam nem jött be. Talán esik 11,2 mm. reggelig.
Szegeden reggelig lejött 10 mm. Áltak a vizek a járdákon. Ahogy látom nagykanizsai pályán mozog az áldás...kicsit lehetne északabbra??
Már inkább Pécsi..egye fene.
Szegeden reggelig lejött 10 mm. Áltak a vizek a járdákon. Ahogy látom nagykanizsai pályán mozog az áldás...kicsit lehetne északabbra??
Már inkább Pécsi..egye fene.
Ha meg éppen a 00-s körüli adatot irja csak be (erre is van példa), akkor most 3°C-ot fogadunk el. The show must go on
2,4°C lesz elírtam. Legtöbb észlelő megvárja az óra 50-es hőmérsékelti adatokat, de most Szombathely esetében a 12:48-as hőmérsékleti adattal ment ki a dolog. Mindig a MET-ÉSZ-es hőmérsékleti adatot vesszük figyelembe és csak abban tudunk bízni, hogy a legtöbben megvárják az 50-es adatokat. Ez itt nem történt meg, de akármilyen lett volna a kimenetele a dolognak akkor is ez lett volna az érvényes, mert nincs kapacitásunk folyamatosan nézni, hogy ki várja meg vagy ki nem.
A későbbi vitás kérdéseket megelőzendő - szerencsére most semmin nem változtat, de - hogyhogy a 2,5 fok lesz a Takt? A szabályzatban egyértelmű, hogy az óra 50 és óra 10 közötti első észlelés adja a Taktot, felhőzetet, jelenidőt.