Információk az előrejelzési versenyhez
Versenyinformációk
A VERSENYSZABÁLYZATÚj előrejelzés elküldése az előrejelzési versenybe
A legutóbbi forduló eredménye
A verseny összesített állása
A 3 kieső fordulót nem tartalmazó összesített lista
A synop-kódok értelmezéséhez egy kis segítség
Szélirány-meghatározáshoz segítség
Stelvio segítségével megjelenített összesített ranglista
Stelvio segítségével megjelenített örökranglista
Stelvio segítségével megjelenített dicsőséglista
A meteorológiai állomások elhelyezkedése
A meteorológiai állomások beosztása
A kiesős lista a fenti linken frissítve.
Érdekesség az idei verseny erősségének mérésére, hogy ha összeadom a verseny 37 versenyzőjének összpontszámát és ugyanezt megnézem az előző téli körben (ott is a 17. forduló után), akkor a mostani jóval kisebb, azaz nehezebb a mezőnynek ez a kör jóval: 7328.7 vs 8461.4
Érdekesség az idei verseny erősségének mérésére, hogy ha összeadom a verseny 37 versenyzőjének összpontszámát és ugyanezt megnézem az előző téli körben (ott is a 17. forduló után), akkor a mostani jóval kisebb, azaz nehezebb a mezőnynek ez a kör jóval: 7328.7 vs 8461.4
Gratulálok Hidegcseppnek a fordulóhoz, valamint deco05- nek a kiíráshoz!
A kiírás időpontjában hol járt a hullámzó front..., de én még csütörtök este is vajúdtam, hogy változtassak-e.
A kiírás időpontjában hol járt a hullámzó front..., de én még csütörtök este is vajúdtam, hogy változtassak-e.
Az ogimetet vesszük alapul, így szélcsendre pontozunk.
A fordulót Hidegcsepp95 nyerte 15,6 ponttal. Gratulálok neki és mindenkinek, aki elégedett a teljesítményével.
Forduló: Link
Összetett: Link
A következő kiíró szintén Gordonka lesz. Írd ki kérlek a fordulódat!
Választható helyszínek:
Budapest-Újpest [metnet-es észlelő]
Siófok [metnet-es észlelő]
Szolnok [12860]
A fordulót Hidegcsepp95 nyerte 15,6 ponttal. Gratulálok neki és mindenkinek, aki elégedett a teljesítményével.
Forduló: Link
Összetett: Link
A következő kiíró szintén Gordonka lesz. Írd ki kérlek a fordulódat!
Választható helyszínek:
Budapest-Újpest [metnet-es észlelő]
Siófok [metnet-es észlelő]
Szolnok [12860]
Csapadéknál a kézi mérés számít, és az 0,8 mm a MET-ÉSZ szerint.
Azaz 0.9, mert az elmúlt 12 órában is volt 0.1 mm. tök mindegy, csak hogy ugyanazt látjuk-e.
Link
Link
METÉSZ, gondolom kézi 0,1-del kevesebb, úgyhogy az már tán marad 
24 órás csapadékmennyiség
0.8 mm
24 órás csapadékmennyiség
0.8 mm
Ezen a linken közben 0 m/s szerepel már. Beszélek Imivel... (de kivan a hócipőm ezekkel...)
A szokásos kavar lehet az időpontokkal. Különböző helyeken, különböző időpontokra (10-20 perc eltérés) szóló adatokat tesznek közre azonos jelöléssel. De hogy ez még egy adott oldal két részoldala között is előforduljon....
Ha viszont az általad adott linken ráklikkelsz a 18Z-re, akkor ugyanazon adatok jönnek, mint amiket én alább beírtam: Link
Hogy miért van ez!?
Hogy miért van ez!?
A szélnél Link e szerint 276 fok (NY), de 0,7 km/h ami kb. 0,2 m/s, ha ez számít akkor szélcsend az észlelés.
06 UTC-s synopban kerek 19 fok szerepel, azóta hűsebb van.
Összecsöpörgött eddig 0.8 mm az automata szerint, de a csapadék már elállt.
Ütős égy forduló!
Összecsöpörgött eddig 0.8 mm az automata szerint, de a csapadék már elállt.
Ütős égy forduló!
Kiváló, azóta hűlünk (bár előtte a 19 fok talán megvolt már kerekítve) 
Takt 16,8...
Takt 16,8...
Köszönöm szépen! Gratulálok én is minden résztvevőnek!
Utazzunk ismét a Dunántúlra és a következő forduló legyen 17-én (pénteken) Nagykanizsán 20 órakor!
Utazzunk ismét a Dunántúlra és a következő forduló legyen 17-én (pénteken) Nagykanizsán 20 órakor!
Eme kissé megterhelő hegymászás után a kiesős lista a fenti linken nyílik meg.
Mivel csapadék esélytelen, így pontoztam.
A fordulót deco05 nyerte. Gratulálok neki és mindenkinek, aki elégedett a teljesítményével.
Forduló: Link
Összetett: Link
A következő kiíró szintén deco05 lesz. Írd ki kérlek a fordulódat!
Választható helyszínek:
Budapest-Újpest [metnet-es észlelő]
Nagykanizsa [12925]
Siófok [metnet-es észlelő]
Szolnok [12860]
A fordulót deco05 nyerte. Gratulálok neki és mindenkinek, aki elégedett a teljesítményével.
Forduló: Link
Összetett: Link
A következő kiíró szintén deco05 lesz. Írd ki kérlek a fordulódat!
Választható helyszínek:
Budapest-Újpest [metnet-es észlelő]
Nagykanizsa [12925]
Siófok [metnet-es észlelő]
Szolnok [12860]
Legutóbb már csak 16,6 fok volt, a maximum alighanem beállt, a kérdés, hogy 18 vagy 19 fokon. Volt 3-4 18 fok egymás után, de nincs nagy reményem a 19 fokra.
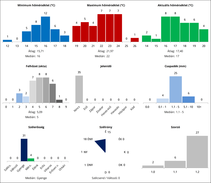
Elkészült az összefoglaló.
Link
Úgy látszik a hőmérsékleteken lehet majd nagyokat nyerni, vagy bukni.
Úgy látszik a hőmérsékleteken lehet majd nagyokat nyerni, vagy bukni.

Köszi szépen, szerencsém volt, hogy épp kitartott még a jelenidő.
Amúgy több jelenidős tippet vártam a Versenyzőtársaktól, mondjuk sok időm nem volt nézegetni a modelleket, de a csütörtök 0 UTC-s GFS egyértelműen adta a hideg-borult verziót és az esőt-záport. Azzal is tisztában vagyok, hogy az ECM-nek egy kevésbé felhős, melegebb és záporos futása volt, ami nem igazán jött be.
Amúgy több jelenidős tippet vártam a Versenyzőtársaktól, mondjuk sok időm nem volt nézegetni a modelleket, de a csütörtök 0 UTC-s GFS egyértelműen adta a hideg-borult verziót és az esőt-záport. Azzal is tisztában vagyok, hogy az ECM-nek egy kevésbé felhős, melegebb és záporos futása volt, ami nem igazán jött be.
Bocsánat, de a délelőtti linken mégis csak az aug.-i beó volt..
Most látom a linken a szeptembert, akkor legyen Kékes, 8.-a szerda, 20UTC 22HLT
Most látom a linken a szeptembert, akkor legyen Kékes, 8.-a szerda, 20UTC 22HLT
Péntek szeptember 3-a, és az nagyon közel van, 36 óra sem lenne az 1.2-es szorzóig. Vagy legyen másnap 6:50-ig (5 UTC-ig) egy időpont Nagykanizsán, vagy egy másik hely és idő, kérlek.
Legyen egy nyugis vénasszonyos nyári kör végre.
Szept.6. péntek, Nagykanizsa 20UTC (22HLT),ha még belefér.
Szept.6. péntek, Nagykanizsa 20UTC (22HLT),ha még belefér.
