Információk az előrejelzési versenyhez
Versenyinformációk
A VERSENYSZABÁLYZATÚj előrejelzés elküldése az előrejelzési versenybe
A legutóbbi forduló eredménye
A verseny összesített állása
A 3 kieső fordulót nem tartalmazó összesített lista
A synop-kódok értelmezéséhez egy kis segítség
Szélirány-meghatározáshoz segítség
Stelvio segítségével megjelenített összesített ranglista
Stelvio segítségével megjelenített örökranglista
Stelvio segítségével megjelenített dicsőséglista
A meteorológiai állomások elhelyezkedése
A meteorológiai állomások beosztása
"Kornéllal egyeztetve megbeszéljük akkor kinek a fejére teszi rá Zsolt a koronát Siófokon."
Mindamellett, hogy nagy megtiszteletetés számomra -és ismét szeretném megköszönni mindenkinek a lehetőséget!-, hogy én koronázhatok ismét és immár hagyományosan, azt azért megjegyezném, hogy velem lehet tárgyalni a győztes kilétéről.
Nehéz megvesztegetni, de egy próbát feltétlenül megér.
Mindamellett, hogy nagy megtiszteletetés számomra -és ismét szeretném megköszönni mindenkinek a lehetőséget!-, hogy én koronázhatok ismét és immár hagyományosan, azt azért megjegyezném, hogy velem lehet tárgyalni a győztes kilétéről.
Köszönjük Iminek az észlelést! 
A fordulót toronymagasan dabrony nyerte gratulálok neki és minden elégedettnek.
A következő kiíró így elsőre nem tudom ki lesz, mert valaki nem írta ki korábban a fordulót. Kornéllal egyeztetve megbeszéljük akkor kinek a fejére teszi rá Zsolt a koronát Siófokon.
Forduló: Link
Összetett: Link
A fordulót toronymagasan dabrony nyerte gratulálok neki és minden elégedettnek.
A következő kiíró így elsőre nem tudom ki lesz, mert valaki nem írta ki korábban a fordulót. Kornéllal egyeztetve megbeszéljük akkor kinek a fejére teszi rá Zsolt a koronát Siófokon.
Forduló: Link
Összetett: Link
Nem túl vastag a Cs, ami érkezett, de úgy 5 perc kintlét és égkémlelést követően már kivehető volt, hogy ott van. A műholdon is ott van, meg - bár ez már jóval messzebb van - a Lőrinci felhőalapmérő is beadta.
Hát nálam (onnan kb. 4 km-re) 15 perce ez volt nyugat felé:
De nem én észlelek, ergo elfogadom
A csapadékot pedig várom szeretettel, de csak módjával

De nem én észlelek, ergo elfogadom
A csapadékot pedig várom szeretettel, de csak módjával
Ebben még én is reménykedtem. 19:45-kor Imi észlelt is a METÉSZ szerint 4 oktát. Sajnos egész órára ez 6 okta lett, kemény bukta
A csapadék necces lehet. Talán késik!
No akkor:
Felhőzet: 6 okta (Cs6).
Jelenidő: 03 (nincs).
Takt: 18,4 °C.
Szél: 1,0 m/s 146 fokról.
Tmax: 25,3 °C.
Tmin: 10,2 °C.
A csapadékot pedig majd meglátjuk.
Felhőzet: 6 okta (Cs6).
Jelenidő: 03 (nincs).
Takt: 18,4 °C.
Szél: 1,0 m/s 146 fokról.
Tmax: 25,3 °C.
Tmin: 10,2 °C.
A csapadékot pedig majd meglátjuk.
Nekem ugyanez jutott eszembe. Mint anno a '90-es években a Játék Határok Nélkülben.
Goldman most használja fel a duplázó Jokert. 
Vajon összejött-e a kerekített 26 fok? És vajon ideérnek-e 19:50-ig a felhők? Ezek miatt és a csapadék miatt módosítottam 1,2-esről 1,0-ra, úgyhogy remélem igen.
Vajon összejött-e a kerekített 26 fok? És vajon ideérnek-e 19:50-ig a felhők? Ezek miatt és a csapadék miatt módosítottam 1,2-esről 1,0-ra, úgyhogy remélem igen.
Ma este 19.58-ig 1.0-ás tegyék meg tétjeiket!
Milyen messze van az állatkert? De tényleg, a T.min. miatt kérdem...
Milyen messze van az állatkert? De tényleg, a T.min. miatt kérdem...
Zseegee ki is jelölte a következő forduló helyszínét és időpontját.
Budapest-Újpest 2021. október 5., kedd 20 óra (18 UTC).
Lehet is tippelni: Link
Budapest-Újpest 2021. október 5., kedd 20 óra (18 UTC).
Lehet is tippelni: Link
Összfelhőzet: 1 okta
Jelenidő: Nincs
T min: 9,1°C
T akt: 27,0°C
T max: 27,9°C
Szélirány: Délkeleti (130°)
Erőssége: Gyenge
Csapadék: Nem volt/lesz.
Forduló: Link
Összetett: Link
A fordulót hófúvás, Télember páros nyerte. Gratulálok nekik és mindenkinek aki elégedett a teljesítményével!
A következő kiíró zseegee lesz, így szeretnénk kérni egy helyszínt és egy időpontot. Akit választani szeretnél kérlek írd meg az időpontot, hogy mikor végezzék el az észlelést. Egyeztetek velük, aztán ha nekik is stimm az időpont akkor kiírom a fordulót.
Választható helyszínek:
Budapest-Újpest [metnet-es észlelő]
Siófok [metnet-es észlelő]
Jelenidő: Nincs
T min: 9,1°C
T akt: 27,0°C
T max: 27,9°C
Szélirány: Délkeleti (130°)
Erőssége: Gyenge
Csapadék: Nem volt/lesz.
Forduló: Link
Összetett: Link
A fordulót hófúvás, Télember páros nyerte. Gratulálok nekik és mindenkinek aki elégedett a teljesítményével!
A következő kiíró zseegee lesz, így szeretnénk kérni egy helyszínt és egy időpontot. Akit választani szeretnél kérlek írd meg az időpontot, hogy mikor végezzék el az észlelést. Egyeztetek velük, aztán ha nekik is stimm az időpont akkor kiírom a fordulót.
Választható helyszínek:
Budapest-Újpest [metnet-es észlelő]
Siófok [metnet-es észlelő]
Avagy hiszünk az egy oktának, hogy nem havazott és köd sem volt éppen
Még egy harmadik synopot szerzünk a jelenidőhöz ill. a csapadékhoz
27.9 lett a Tmax.
Valószínű, hogy mint múltkor, most is az ogimet lesz jogerős. Az OMSZ órás is ugyanazt adja szélre egyébként.
A meteomanz viszont legalább kisegít bennünket a felhő adattal: 1 okta.
Valószínű, hogy mint múltkor, most is az ogimet lesz jogerős. Az OMSZ órás is ugyanazt adja szélre egyébként.
A meteomanz viszont legalább kisegít bennünket a felhő adattal: 1 okta.
Na igen, ogimeten már én is látom, hogy ott 130 és 3 van.
Most sem lesz könnyű a pontozás.
Jó kérdés. A szokásos ogimet - meteomanz eltérés, valószínűleg mert eltérő időpontra szóló értékekből szerkeszti meg a synopot a két különböző oldal. Ezt támasztja alá, hogy az aktuális hőmérsékletek is kissé eltérőek (27,0 vs 26,7°C)
Na, akkor segít a METÉSZ. Ja nem, mert továbbra is 8:45-ös az utolsó észlelés ott az állomásról. Katasztrófa....
Na, akkor segít a METÉSZ. Ja nem, mert továbbra is 8:45-ös az utolsó észlelés ott az állomásról. Katasztrófa....
METÉSZ-en 8:45-ös az utolsó észlelés Szolnokról.
A synopban 12UTC-kor 27.0°C, gyenge délkeleti szél (3 m/s, 130°)
A synopban 12UTC-kor 27.0°C, gyenge délkeleti szél (3 m/s, 130°)
Szerintem többen gondolkoztunk így, csak a várt (GFS) 10 fokos harmatpont mellett, 91-92%-os rH-nál sikerült 9 fokig hűlni. 
Gratula kahdrának, OMSZ hitt ebben az alacsony harmatpontban.
Érdekes azért, hogy a melegadvenció ellenére sikerült alulmúlni a tegnapi minimumot, tanulságos eset.
Gratula kahdrának, OMSZ hitt ebben az alacsony harmatpontban.
Érdekes azért, hogy a melegadvenció ellenére sikerült alulmúlni a tegnapi minimumot, tanulságos eset.
Gratula!
Bejött, amit a derült égtől és nagyon gyenge széltől reméltem, sőt még egy kicsit túl is lőtt rajta. Azt gondoltam, a harmatpont kicsit magasabb marad...
De jó kezdés
Bejött, amit a derült égtől és nagyon gyenge széltől reméltem, sőt még egy kicsit túl is lőtt rajta. Azt gondoltam, a harmatpont kicsit magasabb marad...
De jó kezdés
Hihi :-) amikor tegnap a többiek Tmin-jét megláttam, biztos voltam benne, hogy az enyém egy huncut pontot sem fog érni
Nem bonyolult a forduló, kahdrának sikerült is eltalálni a Tmin-t (9.1°C). 

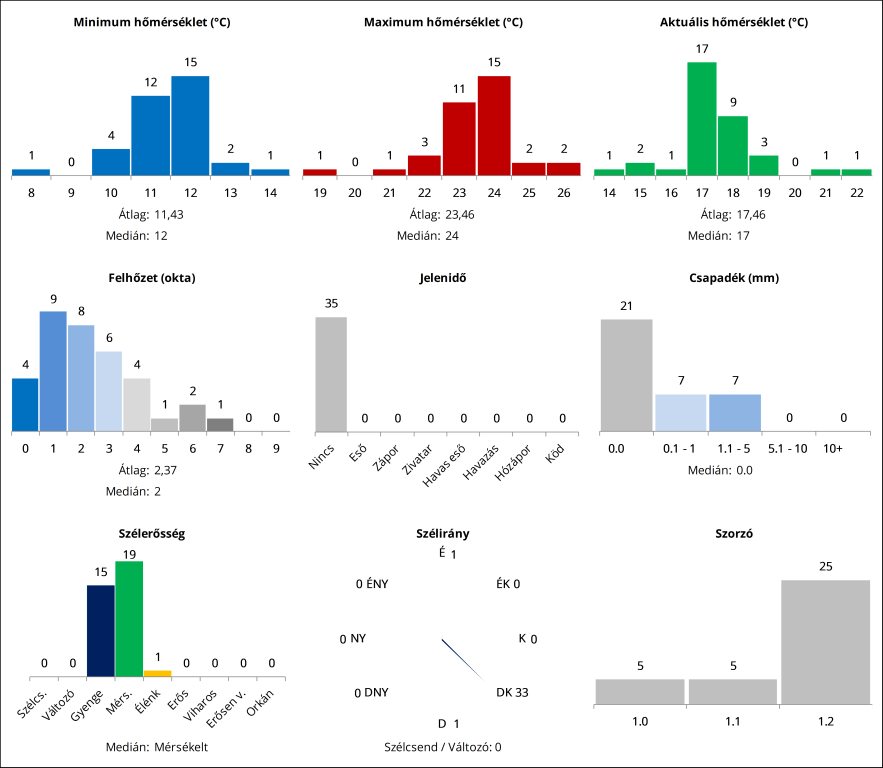
Elkészült az összefoglaló.
Link
Nem tűnik egy bonyolult fordulónak, mondjuk nekem az 1.2-esemet sikerült jól elszúrni sajnos, muszáj volt felülírjam.
Nem tűnik egy bonyolult fordulónak, mondjuk nekem az 1.2-esemet sikerült jól elszúrni sajnos, muszáj volt felülírjam.

Meteomanzon szoktam nézegetni a mért adatokat, megakadt a szemem a havi 0.8 mm csapadékon, durva! Link

