Információk az előrejelzési versenyhez
Versenyinformációk
A VERSENYSZABÁLYZATÚj előrejelzés elküldése az előrejelzési versenybe
A legutóbbi forduló eredménye
A verseny összesített állása
A 3 kieső fordulót nem tartalmazó összesített lista
A synop-kódok értelmezéséhez egy kis segítség
Szélirány-meghatározáshoz segítség
Stelvio segítségével megjelenített összesített ranglista
Stelvio segítségével megjelenített örökranglista
Stelvio segítségével megjelenített dicsőséglista
A meteorológiai állomások elhelyezkedése
A meteorológiai állomások beosztása
A mindig furfangos csíki fordulót a kiíró Télember nyerte, szép találat
Gratulálok!
Forduló: Link
Összetett: Link
Deco_05 a következő kiíró, így szeretnénk kérni egy helyszínt és egy időpontot.
Választható helyszínek:
Budapest-Újpest [metnet-es észlelő]
Kecskemét [12970]
Kékestető [12851]
Nagykanizsa [12925]
Pécs-Egyetem [38528]
Siófok [metnet-es észlelő]
Meteorológiai állomások beosztása: Link
Forduló: Link
Összetett: Link
Deco_05 a következő kiíró, így szeretnénk kérni egy helyszínt és egy időpontot.
Választható helyszínek:
Budapest-Újpest [metnet-es észlelő]
Kecskemét [12970]
Kékestető [12851]
Nagykanizsa [12925]
Pécs-Egyetem [38528]
Siófok [metnet-es észlelő]
Meteorológiai állomások beosztása: Link
Tmin: -12 fok
Tmax: +5 fok
Felhőzet: 5 okta
Jelenidő: -
Takt: -7 fok
Szél: gyenge északnyugati
Csapadék: nem volt.
Tmax: +5 fok
Felhőzet: 5 okta
Jelenidő: -
Takt: -7 fok
Szél: gyenge északnyugati
Csapadék: nem volt.
Kellenek a kieső fordulók is
Én biztos voltam a buktában, mert az előző sorozatban 19 pontom volt Csíkszeredán, ami nem arról híres, hogy átlagot javítani megy oda az ember.
Én biztos voltam a buktában, mert az előző sorozatban 19 pontom volt Csíkszeredán, ami nem arról híres, hogy átlagot javítani megy oda az ember.
Tmax-tól függően még 16-17 pontos forduló-nyerők is lehetnek.
Én valahol a 6 és 9 pont között fogok végezni, úgy látom...
Én valahol a 6 és 9 pont között fogok végezni, úgy látom...
Legyen így, legyen 4,5 fok a maxi! legalább ennyi örömünk legyen ebben a fordulóban. 
Nekem persze tök mindegy , hogy 6 vagy 7,2 pontot kapok majd... Ejj, pedig de szeretem "civilben" a Csíki-medencét, de az időjárásának előrejelzése mindig megfekszi a gyomromat...
Nekem persze tök mindegy , hogy 6 vagy 7,2 pontot kapok majd... Ejj, pedig de szeretem "civilben" a Csíki-medencét, de az időjárásának előrejelzése mindig megfekszi a gyomromat...
Egy újabb tanúlságnak jó lesz 
10 UTC-kor már -0,2°C volt, ami már csak 0,7 fokkal kevesebb a tegnap ilyenkorinál. Így simán behozhatja a tegnapi +5,2°C-os Tmax-ot. Egy szerencsés +4,5°C-kal természetesen nem számolok
10 UTC-kor már -0,2°C volt, ami már csak 0,7 fokkal kevesebb a tegnap ilyenkorinál. Így simán behozhatja a tegnapi +5,2°C-os Tmax-ot. Egy szerencsés +4,5°C-kal természetesen nem számolok
Üdv sorstárs! Ez egy "gyorsanfelejtsükel" forduló lesz nekem is... 
Szerk.: met4evernek válaszoltam természetesen.
Szerk.: met4evernek válaszoltam természetesen.
Gratulálok a három -12 fokosnak! Ennyit akartam adni, de magasabb harmatponttal számoltam. A valóságban -13°C alá süllyedt a harmatpont, így persze a köd sem jött össze, még 10 km alá sem ment a látástávolság. Így ugrott a 9 okta felhőzet is, helyette lett 5 okta Cs 08UTC-kor. A szelet már meg sem említem. Kiváncsi vagyok, hány ponttal lehet majd nyerni ezt a fordulót....
És már csak -6,3/-8,6°C, 8 okta Cs mellett. Tegnap ilyenkor még csak -3,1°C-nál tartott....
-1,4/-6,9°C-kal kezdünk (18UTC). Tegnap ilyenkor +0,4/-6,5°C volt, de már szélcsend, most még(?) 2 m/s-os délkeleti szél.
Jó széles tartományok vannak! Takt pl. -9 és +3 fok között 
Extra nagy bizonytalanságot tükröznek a tippek, amiben nem csak az időjárási helyzetből adódó bizonytalanság tükröződik, hanem a helyszín okozta is.
16UTC-kor már alig volt 0°C felett a T (+0,6°C), s bár 7 okta felhőzetet észlelt az állomás, azt csak magasszintű felhőzetből. A harmatpont -8,2°C volt. Jöhetnek az izgalmak
Extra nagy bizonytalanságot tükröznek a tippek, amiben nem csak az időjárási helyzetből adódó bizonytalanság tükröződik, hanem a helyszín okozta is.
16UTC-kor már alig volt 0°C felett a T (+0,6°C), s bár 7 okta felhőzetet észlelt az állomás, azt csak magasszintű felhőzetből. A harmatpont -8,2°C volt. Jöhetnek az izgalmak
Elkészült az összefoglaló: Link
Jó kis betlizős forduló lesz ahogy nézem.
Most lehet nagyot nyerni, de nagyot bukni is. 
Jó kis betlizős forduló lesz ahogy nézem.

+5,1°C-ot adott az állomás legutóbb a -10,4°C-os minimum után. A száraz levegő, derült éggel és éjszakai gyenge légáramlással csodákra képes.
Holnapra annyi változik, hogy kicsit melegszik a magasban a levegő (850 hPa-on pl. a ma hajnali -7 fokról holnap hajnalra/napközbenre kb -4°C-ra), ami nem sokat szólna bele az éjszakai lehűlésbe. Ami sokkal inkább beleszólhat, az a most délre található, kisméretű magassági teknőhöz köthető felhőzet, ami most is a közelben ólálkodik és a teknő átvonulásával várhatóan éjszaka is beleszólhat a hőmérséklet alakulásába. Ha főleg vékony, magasszintű felhőzet lesz csak a jellemző, akkor ujabb erősen fagyos éjszaka jöhet, ha viszont középszinten is több lesz időnként a felhőzet, az mérsékelheti a lehűlést. Ez pedig az esetleges hajnali köd kialkulására is hatással lehet. A légmozgás gyengének néz ki, igy a kissé magasabb harmatpontot könnyebben elérheti a hőmérésklet és beködölhet, ha a felhőzet ebbe nem köp bele. Nagyon bizonytalannak látom még most is.
Legutóbb péntek hajnalban ködölt be az állomáson -8,2°C-os Tmin-t követően és csak 11UTC-re oszlott fel a köd, de összekapta magát és +8,9°C-ig kilőtt a hőmérséklet, 19,1°C-os napi hőingást hozva. Spec. hely, spec. mikrolímával, ha a feltételek adottak
Hajrá Perico!
Holnapra annyi változik, hogy kicsit melegszik a magasban a levegő (850 hPa-on pl. a ma hajnali -7 fokról holnap hajnalra/napközbenre kb -4°C-ra), ami nem sokat szólna bele az éjszakai lehűlésbe. Ami sokkal inkább beleszólhat, az a most délre található, kisméretű magassági teknőhöz köthető felhőzet, ami most is a közelben ólálkodik és a teknő átvonulásával várhatóan éjszaka is beleszólhat a hőmérséklet alakulásába. Ha főleg vékony, magasszintű felhőzet lesz csak a jellemző, akkor ujabb erősen fagyos éjszaka jöhet, ha viszont középszinten is több lesz időnként a felhőzet, az mérsékelheti a lehűlést. Ez pedig az esetleges hajnali köd kialkulására is hatással lehet. A légmozgás gyengének néz ki, igy a kissé magasabb harmatpontot könnyebben elérheti a hőmérésklet és beködölhet, ha a felhőzet ebbe nem köp bele. Nagyon bizonytalannak látom még most is.
Legutóbb péntek hajnalban ködölt be az állomáson -8,2°C-os Tmin-t követően és csak 11UTC-re oszlott fel a köd, de összekapta magát és +8,9°C-ig kilőtt a hőmérséklet, 19,1°C-os napi hőingást hozva. Spec. hely, spec. mikrolímával, ha a feltételek adottak
Hajrá Perico!
Nem hiszem , hogy bánod, én már igen, hogy leadtam. Az a modell, amit néztem (egy perc nálam az összedobása az előrének, nem nézek napokig 100 modellkimenetet) egész más úton jár, mert -3 fokot ad éjszakára, itt viszont a zord idő dominál. Vagy hatalmába kerített a tavaszi zsongású előrejelzések hada (másról sem írnak, mint a +10 fokokról, a -10-eket valahogy nem favorizálják , lásd a mai időjárást) és semmi nem vonzott, hogy valami vadkeleti hidegben gondolkodjak.
Mindenesetre tény, hogy -10 ,4 volt a reggeli minimum és 11-kor is csak -2,5 fok van. Ebből csoda lenne egy -3 fokos minimum. Persze az éjféli 90 % után hajnalra 0 felhőzet, nem csoda ha hideg lett. Persze a -5-10 fokos harmatpontok nem sok melegnek kedveznek.
2-9 közt van mindenféle okta, nem csodálkoznék a 0 oktán. Vagy hogyan lesz 7-9 oktából -10 alatti min nem tudom, bár lehet, hogy a felhőtlen éjszaka után 9-re beborul.
Szélcsend,változó meg mindenféle irányú szél: teljes káosz, de a gyenge körüli szél biztos.
Csapadék és jelenidő : stabil semmi, ebből jönnek a meglepetések, bár vagy heten ködöt adtak, lehet, hogy tarolnak. És mi van, ha ónos ködszitálás vagy hódara esik ?
A többség kemény fagy után elszálló maximumot +3-8 fokokat vár. Szép is lesz a mínusz 10 fok,szélcsend és ború után du. +6-7 fok. Ha ez tényleg így lesz megehetem a kalapom.
Mérhető csapadékot már nem emlékszem miért vártam, talán valami fekete-tengeri ciklon okklóziójából magam sem tudom...
Mindenesetre tény, hogy -10 ,4 volt a reggeli minimum és 11-kor is csak -2,5 fok van. Ebből csoda lenne egy -3 fokos minimum. Persze az éjféli 90 % után hajnalra 0 felhőzet, nem csoda ha hideg lett. Persze a -5-10 fokos harmatpontok nem sok melegnek kedveznek.
2-9 közt van mindenféle okta, nem csodálkoznék a 0 oktán. Vagy hogyan lesz 7-9 oktából -10 alatti min nem tudom, bár lehet, hogy a felhőtlen éjszaka után 9-re beborul.
Szélcsend,változó meg mindenféle irányú szél: teljes káosz, de a gyenge körüli szél biztos.
Csapadék és jelenidő : stabil semmi, ebből jönnek a meglepetések, bár vagy heten ködöt adtak, lehet, hogy tarolnak. És mi van, ha ónos ködszitálás vagy hódara esik ?
A többség kemény fagy után elszálló maximumot +3-8 fokokat vár. Szép is lesz a mínusz 10 fok,szélcsend és ború után du. +6-7 fok. Ha ez tényleg így lesz megehetem a kalapom.
Mérhető csapadékot már nem emlékszem miért vártam, talán valami fekete-tengeri ciklon okklóziójából magam sem tudom...
Már megint a végéről integettem a safety car-nak, na majd szeredán eldurrantok megint egy jelenidős lufit, talán észre veszi az Időjárás. 
Gratula Tullner_Job-nak a forduló győzelemhez.
Egy "kicsit" más várakozásaim voltak ezzel a végül "ami csak tudott, majdnem minden félrement" típusú fordulóval kapcsolatban. De eljő majd a kikelet...
Egy "kicsit" más várakozásaim voltak ezzel a végül "ami csak tudott, majdnem minden félrement" típusú fordulóval kapcsolatban. De eljő majd a kikelet...
Ippeg megvan a 48 óra az 1.2-es szorzó lejártáig, így hadd szóljon: Link
Péntek 9 óráig él az 1.2-es szorzó!
Péntek 9 óráig él az 1.2-es szorzó!
Próbáljunk egy kis téliest csempészni ebbe a tavaszi időjárásba: ha lehetséges, legyen Csíkszereda, hétfő, 02.14. (és egyben Valentin-nap), helyi idő szerint 10 óra.
A debreceni fordulót Tullner_Job nyerte. Gratulálok neki!
Forduló: Link
Összetett: Link
Télember a következő kiíró, így szeretnénk kérni egy helyszínt és egy időpontot.
Választható helyszínek:
Budapest-Újpest [metnet-es észlelő]
Csíkszereda (Miercurea Ciuc) [15170]
Kecskemét [12970]
Kékestető [12851]
Nagykanizsa [12925]
Pécs-Egyetem [38528]
Siófok [metnet-es észlelő]
Meteorológiai állomások beosztása: Link
Forduló: Link
Összetett: Link
Télember a következő kiíró, így szeretnénk kérni egy helyszínt és egy időpontot.
Választható helyszínek:
Budapest-Újpest [metnet-es észlelő]
Csíkszereda (Miercurea Ciuc) [15170]
Kecskemét [12970]
Kékestető [12851]
Nagykanizsa [12925]
Pécs-Egyetem [38528]
Siófok [metnet-es észlelő]
Meteorológiai állomások beosztása: Link
Megint elszúrtam,3 óra múlva masszív gyenge dél-délnyugati szél kezdett fújni. Miből gondoltam 5 napja, hogy ez 3 órával előbb lesz nem tudom.
Most már azt is tudom 3 Debrecen van legalább. Az OMSZ-os északnyugati szelet adott (335 fok) és 19 km/h-t(5,3 m/s), az ogimet NNW (335-344) és 18 km/h(5 m/s) és ugye van a miénk. Megint nem figyeltem oda eme nüanszokra. Mivel radarjelek vannak a környéken, már csak az a kérdés melyik tudja bemérni ? Lila gőzöm sincs. Hát még 5 nappal ezelőtt.
Most már azt is tudom 3 Debrecen van legalább. Az OMSZ-os északnyugati szelet adott (335 fok) és 19 km/h-t(5,3 m/s), az ogimet NNW (335-344) és 18 km/h(5 m/s) és ugye van a miénk. Megint nem figyeltem oda eme nüanszokra. Mivel radarjelek vannak a környéken, már csak az a kérdés melyik tudja bemérni ? Lila gőzöm sincs. Hát még 5 nappal ezelőtt.
Előtte is, utána is épp 6 okta volt, és éppen 12 UTC-re csökkent éppen 3 oktára... 
De legalább most végre a tizedek velem voltak. Hajrá 8 fok és "nocsapi"!
De legalább most végre a tizedek velem voltak. Hajrá 8 fok és "nocsapi"!
Majdnem: 6,6°C 12:55 METESZ
Az 1 órával korábbi 6 okta felhőből meg sajnos 3 okta lett. Dupla bukta.
Az 1 órával korábbi 6 okta felhőből meg sajnos 3 okta lett. Dupla bukta.
Tmin -1,2°C
Éjfél után volt jellemzö a 3-5 m/s-os nyugatias átlagszél, csoda, hogy ennyire lesüllyedt a T
Éjfél után volt jellemzö a 3-5 m/s-os nyugatias átlagszél, csoda, hogy ennyire lesüllyedt a T
METÉSZ 6:55 -0,7°C
Álmomban sem gondoltam volna, hogy egy -1,5-öt sem tud összehozni, de a szél nem nyughatott, még ha jóval gyengébb is volt mint az ország nagyobb részén.
Álmomban sem gondoltam volna, hogy egy -1,5-öt sem tud összehozni, de a szél nem nyughatott, még ha jóval gyengébb is volt mint az ország nagyobb részén.
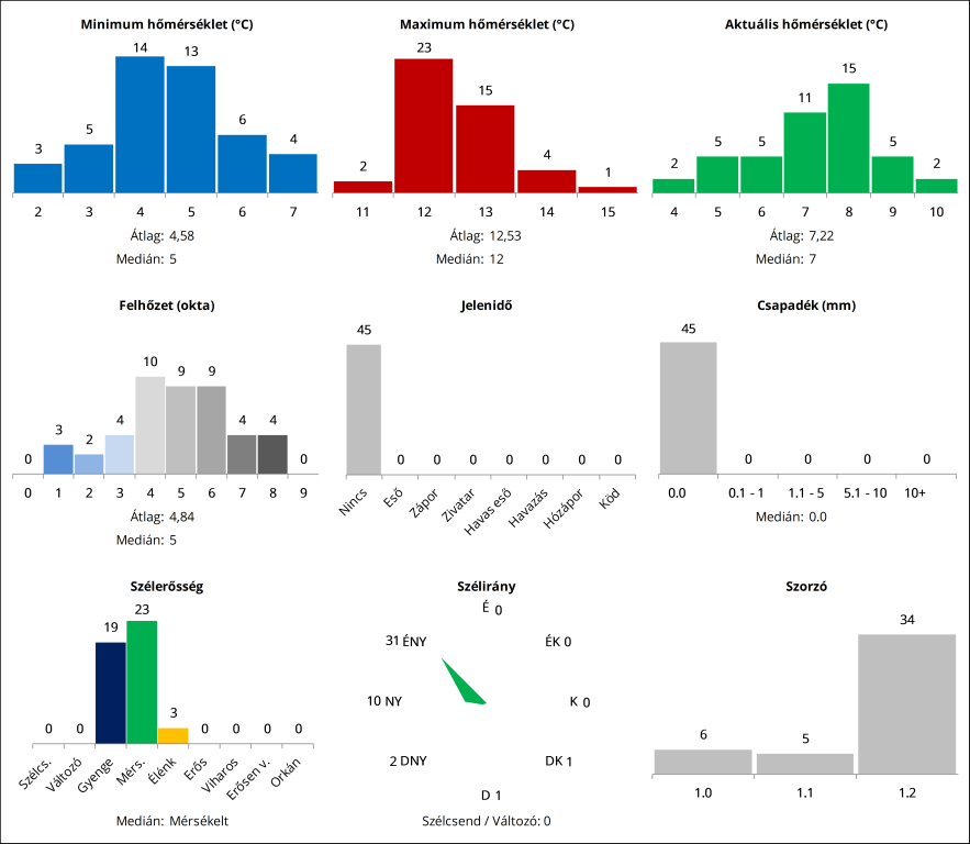
Kissé megkésve, de elkészült az összefoglaló.
Link
A hőmérséklet nem nagyon akar csökkenni, 23 órakor még 1,5 fok volt, nem tudom, hogy lesz meg ebből -3-as tippem... (valószínűleg sehogy)
A hőmérséklet nem nagyon akar csökkenni, 23 órakor még 1,5 fok volt, nem tudom, hogy lesz meg ebből -3-as tippem... (valószínűleg sehogy)
