Információk az előrejelzési versenyhez
Versenyinformációk
A VERSENYSZABÁLYZATÚj előrejelzés elküldése az előrejelzési versenybe
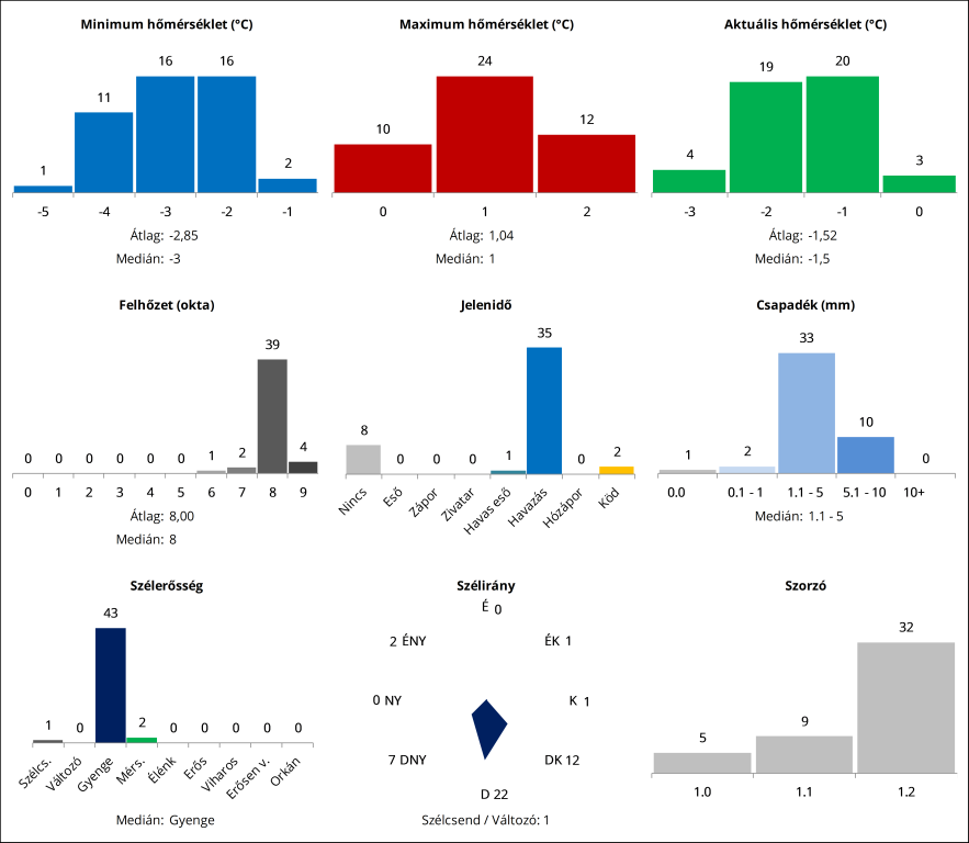
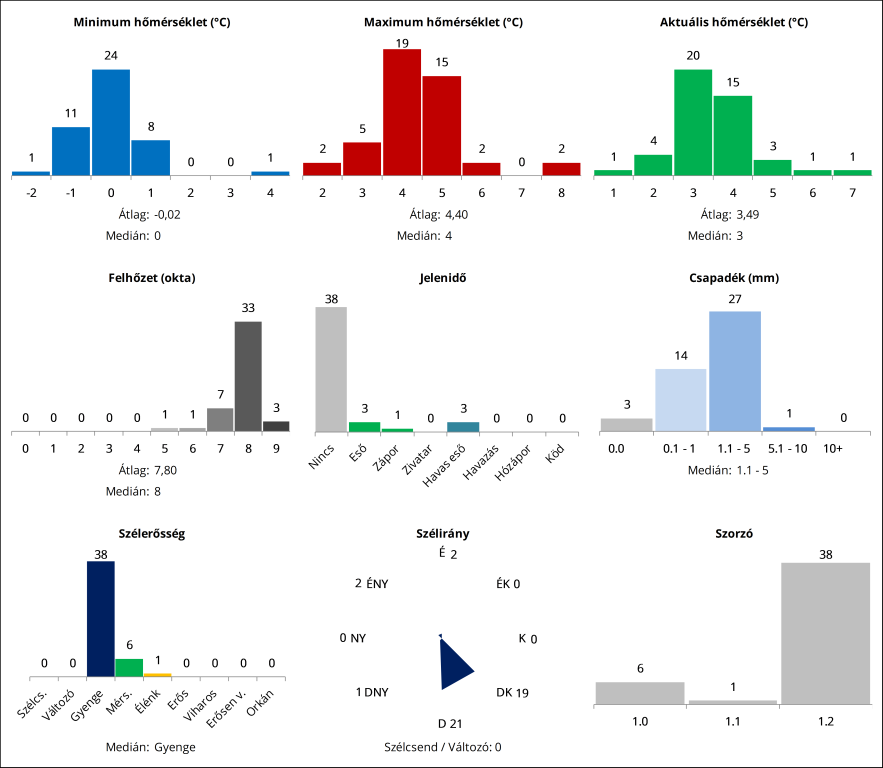
A legutóbbi forduló eredménye
A verseny összesített állása
A 3 kieső fordulót nem tartalmazó összesített lista
A synop-kódok értelmezéséhez egy kis segítség
Szélirány-meghatározáshoz segítség
Stelvio segítségével megjelenített összesített ranglista
Stelvio segítségével megjelenített örökranglista
Stelvio segítségével megjelenített dicsőséglista
A meteorológiai állomások elhelyezkedése
A meteorológiai állomások beosztása
Időpont leegyezteve (köszönöm!). Kiránduljunk el febr. 28-án, hétfőn Újpestre egy télzáró party-ra, fogadás 22UTC-kor
Gratulálok Szabókának a fordulógyözelemhez!
Jimr-nek küldtem idöpontot egyeztetésre. Annyit elárulhatok, hogy az idei "csodás" meteorológiai tél utolsó napjának egyik utolsó óraja lenne, ha megfelel
Télember: Siófok április 1 nincs veszélyben
Jimr-nek küldtem idöpontot egyeztetésre. Annyit elárulhatok, hogy az idei "csodás" meteorológiai tél utolsó napjának egyik utolsó óraja lenne, ha megfelel
Télember: Siófok április 1 nincs veszélyben
"Választható helyszínek:
Budapest-Újpest [metnet-es észlelő]
Kecskemét [12970]
Kékestető [12851]
Nagykanizsa [12925]
Siófok [metnet-es észlelő]"
Ez az észlelési sorrend szerintem maradhat is.
Budapest-Újpest [metnet-es észlelő]
Kecskemét [12970]
Kékestető [12851]
Nagykanizsa [12925]
Siófok [metnet-es észlelő]"
Ez az észlelési sorrend szerintem maradhat is.
A pécsi fordulót szabóka nyerte. Gratulálok neki és mindenkinek, aki elégedett volt a fordulói teljesítményével. 
Forduló: Link
Összetett: Link
met4ever a következő kiíró, így szeretnénk kérni egy helyszínt és egy időpontot.
Választható helyszínek:
Budapest-Újpest [metnet-es észlelő]
Kecskemét [12970]
Kékestető [12851]
Nagykanizsa [12925]
Siófok [metnet-es észlelő]
Meteorológiai állomások beosztása: Link
Forduló: Link
Összetett: Link
met4ever a következő kiíró, így szeretnénk kérni egy helyszínt és egy időpontot.
Választható helyszínek:
Budapest-Újpest [metnet-es észlelő]
Kecskemét [12970]
Kékestető [12851]
Nagykanizsa [12925]
Siófok [metnet-es észlelő]
Meteorológiai állomások beosztása: Link
Akkor ha jól látom, mindent tudunk, ha lesz pontozás, még este csinálnék egy kiesőst.
Ejj, egy jelenidő bevállalással egész jó fordulóm lehetett volna...
Bíztam a gyorsabb átvonulásban.
Tanulságos egy forduló. Szándékosan nem adtam a szélárnyékgödörre sok csapadékot és jelenidőt, hisz a Mecsek "mediterrán" oldala és ugye az előrejelzések hosszútávon különben is semmi csapadék, száraz meleg februárt vetítenek előre megállás nélkül (szárazságról panaszkodnak hónapok óta a pécsiek is ) . Jönnek-mennek ugyan a viharok, de a meleg és alig esik pár tizedmilli az örök. Minden így is alakult, annak rendje és módja szerint 17 órakor a radaron egy óriási pécsi lyuk az automata meg nem mért 17 és 17:10 közt csapadékot. Persze ettől még lehetett valami párakicsapódás ami mérhetetlen. De a mezőny egy részét (és engem )jól megtréfálta a hideg minimum és jelenidő (Pogány reggel 0 fokkal meg az egyik leghidegebb hely) valamint a 10 + csapadék amire talán senki sem számított (északi szélre is csak nyolcan). Este 7-ig a megyei 2-7 mm-ek mellé ez a 11 számomra érthetetlen lee oldalon. Valami nem stimmel ezekkel az automatákkal vagy valami összeáramlásos konvergencia alakult ki az egyetem felett ?
Ez a 10 perces csapadékösszeg nem az órás. Csak itt az oldalon rosszul van feltüntetve.
Az Link oldalon a 10 percenkénti csapadékmennyiség az elmúlt 1 óra csapadéka ugye? (átfedéssel) Ezesetben hogyan lehet kevesebb 15:00 órakor az elmúlt 1 óra csapadéka, mint 14:50-kor, ha 14:00 után volt csak mérhetö mennyiség?
Közben megérkezett a front. 10 perc alatt közel 3 fokot zuhant a hőmérséklet (8,6 --> 5,7).
Én inkább amiatt izgulok, hogy túlfutunk az 5 millin, bár talán a Mecsek kicsit megcsapolja a csapit (lee-oldalon van a város).
Jelenidő nagy eséllyel lesz, hiszen még csak Nagykanizsa környékén, illetve a Balatonnál a csapadéksáv vége másfél órával a versenyidőpont előtt.
Jelenidő nagy eséllyel lesz, hiszen még csak Nagykanizsa környékén, illetve a Balatonnál a csapadéksáv vége másfél órával a versenyidőpont előtt.
Jelen állás szerint inkább fogadnák arra, hogy lesz jelenidő, mint hogy nem, de valószínűleg 20-30 percen fog múlni. Ahogy ez lenni szokott
Már vissza is ment 10,4-re a hőmérséklet.
Viszont a mérsékelt északnyugati szél itt neccesebb lesz, mint Pogányon, ahová a tippet leadtam, a várost ugyanis jobban árnyékolja a Mecsek ebből az irányból, mint a repteret. Na, mindegy.
Köszi a linket!
Ez alapján már megvan a kerekített 11 fok (10,6)
Sokkal feljebb aligha megy már, mert lassan elered(t) ott már az eső is.
Szerk.: Hopp, lassú voltam.
Ez alapján már megvan a kerekített 11 fok (10,6)
Szerk.: Hopp, lassú voltam.
A 11°C-os max már biztos (10.6C legalább). A csapadék már nagyon közel van, így a 11.5°C elérésére nagy összegben most nem tennék, de nem tiltakoznék ellene
Szerintem nincs a 10 perces térképen az egyetem, az északi az Árpádtető lehet.
A T tízpercesen Pécsnél 2 érték van, gondolom a déli Pogány, és az északi lehet az egyetem? Ott 0 fok is volt az éjjel.
A feltételezés helyes. Pécsről SYNOP nem megy ki az ogimetre, az adatokat pedig össze fogom ma bányászni, attól nem kell tartani.
A T min ha minden jól alakul akkor 1,2°C lesz.
A T min ha minden jól alakul akkor 1,2°C lesz.
A tök olyanban is csak számcsavar van az irányító számban , Pécs 7624, Szeged -Rókus 6724.
A "nem mintha számítana" az idei teljesítményemre utalt. 
A Tenkesen van (eladó) pincém, jól ismerem a pogányi helyszínt az egyetemet kevésbé.
Amúgy tök olyan, mint Szeged: külterület reptér, belterület egyetem.
A Tenkesen van (eladó) pincém, jól ismerem a pogányi helyszínt az egyetemet kevésbé.
Amúgy tök olyan, mint Szeged: külterület reptér, belterület egyetem.
1 órával indulás előtt kb 1 fokos eltérés: 6,7 (Egyetem), 5,8 (Pogány)
A versenyszabályzatban a résztvevő állomások felsorolásánál Pécs-Egyetem [38528] szerepel (erre is lett kiírva az aktuális forduló), alatta viszont az állomás beosztások tárgyalásánál még Pécs-Pogány van említve. Feltételezem, hogy átkerült az Egyetemre a helyi észlelés, ezért került a listába az Egyetemi állomás, s lejjebb véletlenül ez még nem került módosításra.
Ha a METÉSZ-t nézzük, két Pécsi OMSz-os állomás látható, az egyik 7624, a másik 7666 irányítószámmal, s mindkettőről jönnek óránként észlelések. A 7666-os a Pogányi állomás, melynek nemzetközi azonosítószáma a 12942, s erről továbbra is megtalálhatóak az órás synopok pl. az ogimet-en és hasonló oldalakon.
A másik, 7624-es irányítószámú pécsi állomás lehet az Egyetemi, ahova átkerülhetett a helyi észlelés Pogányról, ahol már csak távolsági észlelés lehet.
Kb ennyit tudtam kibogozni.
Ha a METÉSZ-t nézzük, két Pécsi OMSz-os állomás látható, az egyik 7624, a másik 7666 irányítószámmal, s mindkettőről jönnek óránként észlelések. A 7666-os a Pogányi állomás, melynek nemzetközi azonosítószáma a 12942, s erről továbbra is megtalálhatóak az órás synopok pl. az ogimet-en és hasonló oldalakon.
A másik, 7624-es irányítószámú pécsi állomás lehet az Egyetemi, ahova átkerülhetett a helyi észlelés Pogányról, ahol már csak távolsági észlelés lehet.
Kb ennyit tudtam kibogozni.
A versenyszabályzatban érdekes módon, mindkét helyszín fel van tüntetve, ráadásul azt sem tudni(tudom), merre található az egyetemi mérés.
Pedig elég részletes adatsor jön Pécs-Pogányról:
Link
Másnem át kell írni a koordinátákat is, A fenti 46-00-00N 018-14-00E
Pécs belváros azért pár dombnyira északra van.
Link
Másnem át kell írni a koordinátákat is, A fenti 46-00-00N 018-14-00E
Pécs belváros azért pár dombnyira északra van.
S vitte magával is a régi 12942-es azonositót vajon?
Mert ha átköltözött és még mindig elérhető 12942 alatt synop pl. az ogimeten, akkor ennek valahonnan jönnie kell.
Mert ha átköltözött és még mindig elérhető 12942 alatt synop pl. az ogimeten, akkor ennek valahonnan jönnie kell.
Én úgy tudom, hogy megszűnt a reptéren a helyi észlelés, és az állomás "átköltözött" az egyetemre.
Igen, az lehet hogy már nem észlelnek a reptéren, mert a MET-ÉSZ-en is két hétre visszamenőleg csak távészlelést látok oda.
Nem tudom, pedig biztos volt róla itt szó. Valsz. nincs észlelő, de inkább passz.
Hmm... Amúgy mi az oka, hogy Pogánytól búcsút vett a verseny mezőnye? Egyik kedvenc helyszínem volt Schwechat mellett, ahol szintén "városba költöztünk."
Ezeken az oldalakon a nemzetközi adatforgalomba kikerülö állomásokat érheted el. Ezek azonositója 12-vel kezdödik magyar állomások esetén. Ez a "38528" nem nemzetközi azonosító, lehet olyanja nincs is ennek az állomásnak. Ekkor viszont nem követhetöek az adatok publikus oldalon...
A 38528 kóddal se az ogimet, se a meteomanz nem talál állomást. Ez hogy van? Pogányt igen, de hát nem az játszik.
Ma ötig egykettes, aki nem tippelt, még megteheti, nagyon könnyű forduló lesz, most lehet javítani a helyezésen
