Információk az előrejelzési versenyhez
Versenyinformációk
A VERSENYSZABÁLYZATÚj előrejelzés elküldése az előrejelzési versenybe
A legutóbbi forduló eredménye
A verseny összesített állása
A 3 kieső fordulót nem tartalmazó összesített lista
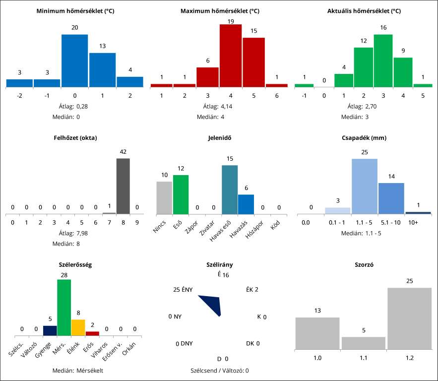
A synop-kódok értelmezéséhez egy kis segítség
Szélirány-meghatározáshoz segítség
Stelvio segítségével megjelenített összesített ranglista
Stelvio segítségével megjelenített örökranglista
Stelvio segítségével megjelenített dicsőséglista
A meteorológiai állomások elhelyezkedése
A meteorológiai állomások beosztása
Éppen így vagyok vele én is. Múlt héten ugyanígy szívtam. Viszont nem tudom mi ez a fenenagy meleg Szolnokon, amikor azidőképen már kicsit keletebbre havazást meg 0 fokot látok. Gondolom 16 -kor még beadják, hogy 3 fok eső (vagy eláll) aztán 16:10-kor meg havazni kezd 0 fokban, hogy ne kaphassak pontot és még mérgelődhessek is ha akarok. Gondolom a szél meg északiról átvált valami lehetetlenre 10 perc erejéig és viharos lesz, aztán persze lecsillapodik. Mindenesetre ha havazni fog (gondolom nincs kézi mérés), akkor az 5,1 mm-t sem mérik be soha.
Ismét egy váltópontnyi különbség, ez most jól jött, de idén ősszel szívóágon vagyok ezekkel...
11:00-kor 4,6°C volt, most pedig már csökken is a hőmérséklet. 5 fokos T max már borítékolható is.
Alakul az általam várt kis melegbuborék az Északi-középhegység déli előterében, legalább 4,6 fokot elvárok, de 5,5-nek jobban örülnék a számottevő csapadék érkezése előtt
Véletlenül sem 1,4 ...
Valahogy érzéke van az időjárásnak a ,5-ös végződéshez, amikor verseny van
El is készült az összefoglaló: Link
Izgalmas forduló lesz, van mindenféle jelenidő, szélerősség, csapadékmennyiség.
Én az egykettesemen jó sokáig agyaltam, még a csütörtöki határidő előtt, fél négy körül kisebb habozás után egyszer fölül is írtam a prognózisomat. De aztán elégedetten hátradőltem, mert a modellek eltérő frissebb futásaihoz képest olyan stabilnak tűnt a tippem, mint a magyar forint.
Izgalmas forduló lesz, van mindenféle jelenidő, szélerősség, csapadékmennyiség.
Én az egykettesemen jó sokáig agyaltam, még a csütörtöki határidő előtt, fél négy körül kisebb habozás után egyszer fölül is írtam a prognózisomat. De aztán elégedetten hátradőltem, mert a modellek eltérő frissebb futásaihoz képest olyan stabilnak tűnt a tippem, mint a magyar forint.

Zorro, honza! Mivel Ti vagytok a következő két forduló kiírói szeretnénk benneteket megkérni, hogy a ferihegyi időpontokkal szemezgessetek. Decemberben mindenképpen ki kell írnunk a ferihegyi fordulót. Nagyon köszönjük!
Dobtam az 1,2-es szorzómat talán jogosan. Pont, ami a legtöbb pontot hozza (jelenidő) abban nincs egyetértése a modelleken kicsivel több mint 24 órával az észlelés előtt. Ez lehet cumi lesz.
Dobtam az 1,2-es szorzómat talán jogosan. Pont, ami a legtöbb pontot hozza (jelenidő) abban nincs egyetértése a modelleken kicsivel több mint 24 órával az észlelés előtt. Ez lehet cumi lesz.
Hát leadtam valamit, de ebből olyan 1,0-ás lesz mint a huzat szerintem.
Nem kell ehhez érteni, én se lövök hozzá, mégis vagy 15 éve itt koptatom a "padot", tanulok
Anno első idényben szerintem a met.hu előréjét tippeltem. Nem is volt rossz. Oszt eccer még egy idényt meg is nyertem, máig is értetlenül állok miatta
Ne máá..!
Nézzél bele pár előrejelzéses oldalra, nemcsak német amerikai, van magyar is a metneten kívül. Bombázd körül a jelzet értékeket, és annyi. Persze lehet következtetni a 1-3 napos jelenésre is, erre írta Imi, hogy nagyon necces a Szolnok,pont vas. dél körül...
Na jó tippeket. Tudom a tél nehéz terep.
Nézzél bele pár előrejelzéses oldalra, nemcsak német amerikai, van magyar is a metneten kívül. Bombázd körül a jelzet értékeket, és annyi. Persze lehet következtetni a 1-3 napos jelenésre is, erre írta Imi, hogy nagyon necces a Szolnok,pont vas. dél körül...
Na jó tippeket. Tudom a tél nehéz terep.
Emiatt abba ne hagyd, én is megjártam a poklot, most sem vagyok valami jó helyen, de kit érdekel, a játék szépségéért meg a jó társaság miatt vagyok itt
Engem nyugodtan kihúzhattok a listából, nem égetem magam tovább. 
Nem is tudom miért kezdtem bele a versenybe egyáltalán. Nincs se szakértelmem, se "megérzéseim" a lehetséges jövőképekkel kapcsolatban.
Nem is tudom miért kezdtem bele a versenybe egyáltalán. Nincs se szakértelmem, se "megérzéseim" a lehetséges jövőképekkel kapcsolatban.
Most csinálom az öt napos előrejelzést és hát mit ne mondjak, sikerült beleválasztani.
Rendben, akkor a következő forduló lehetne december 12-én Szolnokon, 15 UTC-s időponttal. Sok sikert mindenkinek!
Az már rövid lesz. Gondolkodj csak. Majd megkérjük akkor a következő kiírót.
Érdeklődnék, hogy mindenképpen most szeretnétek-e túlesni a Ferihegy helyszínen? Ha igen, akkor dec. 10-én a 15 UTC-s időpontot javasolnám, ami viszont elég szoros kiírást jelentene. Ha viszont ezt túl korainak gondoljátok, akkor még gondolkodnék egy kicsit.
98-99-ben már az utolsó mohikánok között voltál. Én 95-ben voltam ott. Szintén rigó.
98-99-ben jártam arra, Szentendrén voltam Rigó.
No ezt sem hiszem, hogy sokan tudják ez mi.
No ezt sem hiszem, hogy sokan tudják ez mi.
Én meg csak egy lòvésre laktam 28 évig, Szentendrén 
Mégis soxor lövésem nincs az elkövetkezendő eseményekről
Szintén a múlt 100-ad volt az esemény időpontja
Mégis soxor lövésem nincs az elkövetkezendő eseményekről
Szintén a múlt 100-ad volt az esemény időpontja
Szintén a múlt évszázadban én is jártam Csobánkán. Minket harcászati gyakorlatra vittek oda. Az estére már kissé illuminált állapotba került hivatásos tiszti állomány aztán jelzőrakétákkal véletlenül fel is gyújtotta a gyakorlótér mellett lévő, 2-3 méter magas szálakból álló nádast, amely az erős szélben gyorsan lángra is kapott. Utána odaküldtek minket oltani, amit gyalogsági ásóval kellett volna végrehajtani. A lelkesebbek mentek is, a kevésbé lelkesek pedig meghúzódtak a félhomályban.
Az országútról is látszott a tűz, mert nemsokára megérkezett a hivatásos tűzoltóság három gépjárművel.
Lőni mi az izbégi lőtérre jártunk. Gépkarabély, géppuska és RPG volt repertoáron.
Gratulálok én is Gordonkának, jelenidős telitalálatos tippet leadni nem kis teljesítmény!
Lőni mi az izbégi lőtérre jártunk. Gépkarabély, géppuska és RPG volt repertoáron.
Gratulálok én is Gordonkának, jelenidős telitalálatos tippet leadni nem kis teljesítmény!
Gratulálok én is, komoly teljesítmény!
Csobánkára vittek lőni anno. Mikor is? Ja, még a múlt évszázadban.
Csobánkára vittek lőni anno. Mikor is? Ja, még a múlt évszázadban.
Köszönöm a gratulációkat!
Majd féltávnál próbálok remélni, mert nekem is van néhány mumus állomás. Csobánkára friss levegőért az hasznos és tényleg hatásos. Aki nem szokott hozzá, az első napokban folyton éhes és hamarabb elalszik az itteni levegőtől. (persze nem fűtési szezonban a kémény mögött)
Gratulálok én is Gordonkának. Fantasztikus sorozat: 4-ből 3 húsz pont feletti kezdés. Ha ilyen lesz a folytatás is, nem kétséges, kié lesz az idei téli korona 
Ami engem illet: nem csak, hogy lekéstem az 1,2-t, de még túl is töltöttem a képzeletbeli csapadékmérőt. Végzetes kombináció havazásos jelenidőben...
A +2°C tényleg megjött végül, "kicsit" későn.
Ami engem illet: nem csak, hogy lekéstem az 1,2-t, de még túl is töltöttem a képzeletbeli csapadékmérőt. Végzetes kombináció havazásos jelenidőben...
Gratulálok Gordonkának!
4 forduló, 2 győzelem 1 dobogó
Ja nem, 3 győzelem abból egy holtversenyes
Asszem elugrok Csobánkára, szívok egy kis friss levegőt
4 forduló, 2 győzelem 1 dobogó
Ja nem, 3 győzelem abból egy holtversenyes
Asszem elugrok Csobánkára, szívok egy kis friss levegőt
Nem.... utánanézünk
Ha szélcsendet tippeltél, akkor a szomszédos erősségre jár az 1 pont (irányra 0) és ennyi.
szerk: javítottuk is.
szerk: javítottuk is.
Nekem biztos hogy szélcsendes tippre 3 pont jár?
Nehogy ezzel bárkit is megelőzzek ám
Nehogy ezzel bárkit is megelőzzek ám
3,8 mm lett a 24 órás csapadék.
A fordulót lepontoztam, amit Gordonka nyert! Hatalmas gratuláció neki, ugyanis egy pont híján majdnem telitalálatos előrejelzést adott le!
Forduló: Link
Összetett: Link
A következő kiíró herbary lesz. Szeretnénk kérni egy helyszínt és egy időpontot.
Választható helyszínek:
Bécs (Wien-Hohe Warte) [11035]
Békéscsaba [12992]
Budapest Liszt Ferenc Nemzetközi Repülőtér [lhbp]
Budapest-Újpest [metnet-es észlelő]
Csíkszereda (Miercurea Ciuc) [15170]
Debrecen [12882]
Felcsút [metnet-es észlelő]
Kecskemét [12970]
Kékestető [12851]
Lomnici-csúcs (Lomnicky Stít) [11930]
Nagykanizsa [12925]
Pécs-Egyetem [38528]
Siófok [metnet-es észlelő]
Sopron-Kurucdomb [nincs kódja]
Szolnok [12860]
Zágráb-Maksimir [14240]
Meteorológiai állomások beosztása: Link
Szolgálati közlemény a kiíróknak! Budapest-Ferihegy állomást kérlek 2021 december 31-ig mindenképpen ki kellene írni. Köszi.
A fordulót lepontoztam, amit Gordonka nyert! Hatalmas gratuláció neki, ugyanis egy pont híján majdnem telitalálatos előrejelzést adott le!
Forduló: Link
Összetett: Link
A következő kiíró herbary lesz. Szeretnénk kérni egy helyszínt és egy időpontot.
Választható helyszínek:
Bécs (Wien-Hohe Warte) [11035]
Békéscsaba [12992]
Budapest Liszt Ferenc Nemzetközi Repülőtér [lhbp]
Budapest-Újpest [metnet-es észlelő]
Csíkszereda (Miercurea Ciuc) [15170]
Debrecen [12882]
Felcsút [metnet-es észlelő]
Kecskemét [12970]
Kékestető [12851]
Lomnici-csúcs (Lomnicky Stít) [11930]
Nagykanizsa [12925]
Pécs-Egyetem [38528]
Siófok [metnet-es észlelő]
Sopron-Kurucdomb [nincs kódja]
Szolnok [12860]
Zágráb-Maksimir [14240]
Meteorológiai állomások beosztása: Link
Szolgálati közlemény a kiíróknak! Budapest-Ferihegy állomást kérlek 2021 december 31-ig mindenképpen ki kellene írni. Köszi.
Éjfélig további 2 mm esett.
Éjféltől minden órában jelentettek csapadékot.
Éjféltől minden órában jelentettek csapadékot.
Nagy nehezen vissza is csusszant negatívba, mehet tovább, az sem baj, ha lassan
Ez így van!
Én csak azt sajnálom, aki szélcsendet adott, egy órával korábban az volt!
Nagy tipp lett volna!
Én csak azt sajnálom, aki szélcsendet adott, egy órával korábban az volt!
Nagy tipp lett volna!
Átléptük nagy nehezen a 0 fokot (+0,1°C). Este 7-ig még melegedhet, az sem baj, ha lassan
1 órával késõbb már délkeleti, ami épp tökéletes lett volna néhányunknak. Az órás adatokat végignézve éjfél utan volt délnyugati, keleti, északi, szélcsend is, szóval szinte minden. Túl gyenge a határozott irányhoz. De legalább havazott még 06UTC-kor.
Most még a csapadékot kellene valahogy aktivizálni estétõl nagy fordulatszámon
Most még a csapadékot kellene valahogy aktivizálni estétõl nagy fordulatszámon