Információk az előrejelzési versenyhez
Versenyinformációk
A VERSENYSZABÁLYZATÚj előrejelzés elküldése az előrejelzési versenybe
A legutóbbi forduló eredménye
A verseny összesített állása
A 3 kieső fordulót nem tartalmazó összesített lista
A synop-kódok értelmezéséhez egy kis segítség
Szélirány-meghatározáshoz segítség
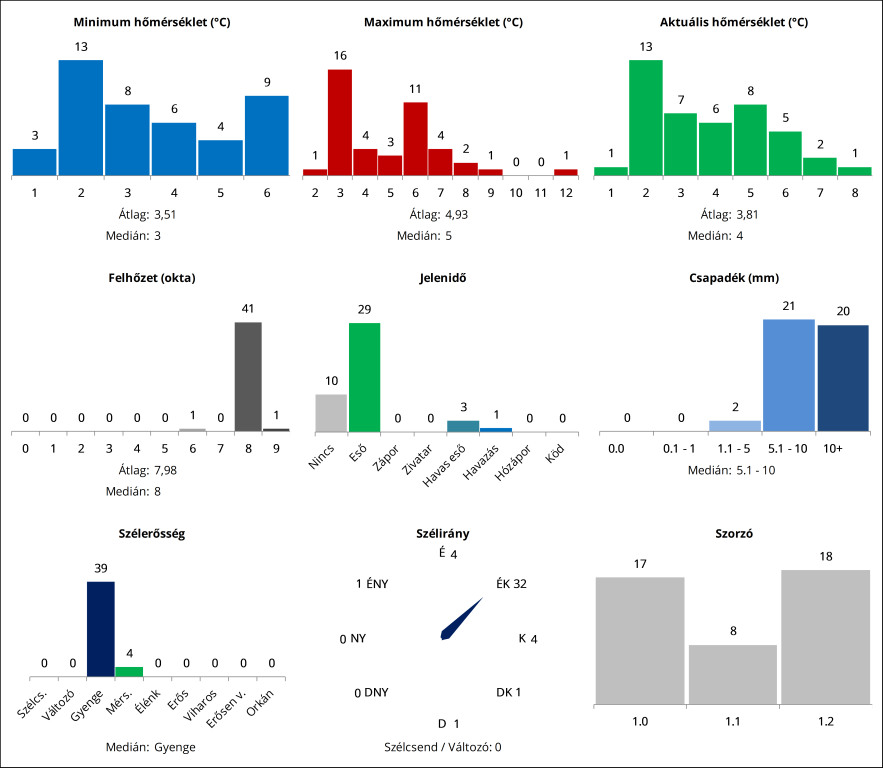
Stelvio segítségével megjelenített összesített ranglista
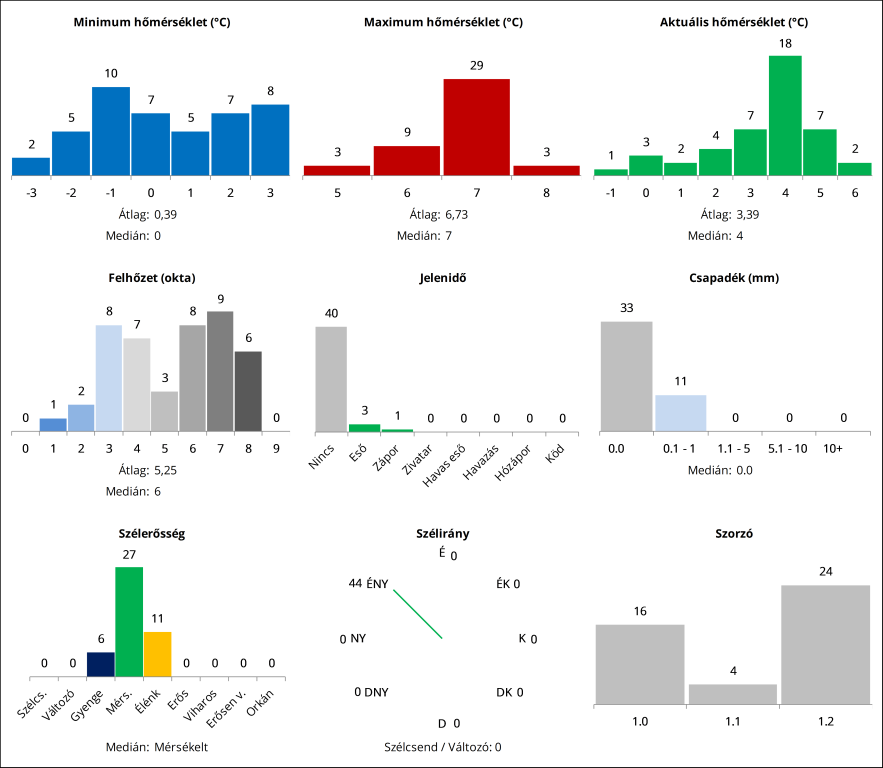
Stelvio segítségével megjelenített örökranglista
Stelvio segítségével megjelenített dicsőséglista
A meteorológiai állomások elhelyezkedése
A meteorológiai állomások beosztása
Onnan még elég messze van az 1 fok, de bízom a hideg levegő hatékony térhódításában.
Mára már nem volt nehéz döntés nekem
A 6 fokos Tmin-t és Tmax-ot cseréltem le jóval lejjebb, mert jó eséllyel a dupla 6-os nem sok pontot hozott volna. De az időjárásé az utolsó szó
De szép bipolaritás a hőmérsékleteknél, főleg a Tmin/Tmax-nál! 
1,2-est 1,1-re módosítottam hűtés és csap. mennyiség növelés miatt, majd erősen gondolkoztam egy 1,0-s módosításon is főleg azért, hogy a jelenidőt kivegyem, de végül nem mertem, még ha elég nagy is az esély a csapadékszünetre....
1,2-est 1,1-re módosítottam hűtés és csap. mennyiség növelés miatt, majd erősen gondolkoztam egy 1,0-s módosításon is főleg azért, hogy a jelenidőt kivegyem, de végül nem mertem, még ha elég nagy is az esély a csapadékszünetre....
El is készült az összefoglaló: Link
Én ki is használtam mind a két módosítási lehetőséget, agyaltam rendesen, éppen hogy csak a határidő előtt kb. egy perccel adtam le a végleges tippemet, de látom vannak akik még nálam is jobban kicentizték.
Aztán lehet szívhatom a fogamat a variálás miatt.
Egyébként jól látszik a hőmérsékleteknél a korábbi és későbbi tippek közötti megosztottság. 
Én ki is használtam mind a két módosítási lehetőséget, agyaltam rendesen, éppen hogy csak a határidő előtt kb. egy perccel adtam le a végleges tippemet, de látom vannak akik még nálam is jobban kicentizték.

Tegnap 17 órakor Maksimir 2,1 fok, most 12,7. Talán nem kellett volna lefaragnom ? Én már nem változtatok. Különben is bevágott egy modell vasárnapra havasesőt. Stabilan adják a mindig mást.
Nemrég még ma délre Zágráb környékére 4-5 fokot vártak, most 1,4 fok Maksimir. Alighanem az előrémet tegnapról módosítom és lefaragok pár fokot.
Egészségedre! 
---------------------------
A 8 oktát én sem tudom hogy gondoltam komolyan, bár az 1,2-esben leadott 7 oktával sem lettem volna sokkal előrébb. Végül 0,4 ponttal értem el többet az 1,0-ás tippel, mint amennyit 1,2-vel szereztem volna.
---------------------------
A 8 oktát én sem tudom hogy gondoltam komolyan, bár az 1,2-esben leadott 7 oktával sem lettem volna sokkal előrébb. Végül 0,4 ponttal értem el többet az 1,0-ás tippel, mint amennyit 1,2-vel szereztem volna.
No, hát ilyen fordulónak is lennie kell: a -1 Tmin-es és 4 oktás, 1,2-es tippem jobban hozott volna, mint a telitalálatos Tmin-el, de 8 oktával leadott 1,0-s... 
Grat azoknak, akik kitartottak a kevesebb felhő mellett a magas Tmin ellenére
Grat azoknak, akik kitartottak a kevesebb felhő mellett a magas Tmin ellenére
Bocs mindenkitől, délutántól kötelező gyümölcskóstoláson vettem részt, aztán ahogy ez lenni szokott, ilyenkor a telefon egy kicsit háttérbe került. Ahogy láttam, Iminek is kulturális programja volt, szóval bocsi tényleg 
Honza a következő kiíró, várjuka helyszínt és az időpontot.
Honza a következő kiíró, várjuka helyszínt és az időpontot.
Egyszerűen jó ez a lazulás. 
Nem kell kapkodni, a várakozás a lényeg, nem is annyira a végeredmény.
Ha valaki megkérdezné, miért szeretem a versenyt, nem is tudom mit mondanék hirtelen.
Egyszerűen szeretem, így ahogy van. Jó ide pillantani minden nap egy kicsit.
Régebben nyertem is néha, manapság kevesebb szerencsém van, illetve az ifjak fel vannak vértezve minden "meteorológiai hájjal", nehéz túljárni az éberségükön.
Ha holnap lesz végeredmény, hát legyen akkor.



Link
Nem kell kapkodni, a várakozás a lényeg, nem is annyira a végeredmény.
Ha valaki megkérdezné, miért szeretem a versenyt, nem is tudom mit mondanék hirtelen.
Egyszerűen szeretem, így ahogy van. Jó ide pillantani minden nap egy kicsit.
Régebben nyertem is néha, manapság kevesebb szerencsém van, illetve az ifjak fel vannak vértezve minden "meteorológiai hájjal", nehéz túljárni az éberségükön.
Ha holnap lesz végeredmény, hát legyen akkor.
Link
A, Az adatokat most gyúrják éppen át, hamarosan megjelenik a 0,1 mm-es csapadékadat, a +7,5°C-os Tmax, na meg a zápor jelenidö.
....vagy.....
B, A pontozó még nem ért ide, az adatok már rég meg voltak.
A,-ra vagy B,-re látsz nagyobb esélyt, ha végigköveted a fórumot?
....vagy.....
B, A pontozó még nem ért ide, az adatok már rég meg voltak.
A,-ra vagy B,-re látsz nagyobb esélyt, ha végigköveted a fórumot?
Kezd elveszni ez a verseny.. Ha már az észlelés óra, 40-50 egész percén, nyomokban esett - részén is vitatkozunk, akkor egy befutó pontozásra órákat kell várni? Svindli van a háttérben már azt gondolom. Vagy haggyuk el e repteres-metaros helyszíneket
Hát, én szívesen lepontoznám nem hivatalos tartalékpontozóként, mert mindent tudunk Zivi jóvoltából. De Kornél annyira a pontozás kapujában állt meg, hogy innen már nem venném ki a kezéből...
Meg még ott van Imi, mint másik hivatalos pontozó.
De ha késő estig senki sem, akkor majd én...
Addig is megírom a szokásos hétfő délután/esti előrémet
De ha késő estig senki sem, akkor majd én...
Addig is megírom a szokásos hétfő délután/esti előrémet
Akkor tehát...
Tmin: 3 fok
Tmax: 7 fok
Felhőzet: 2 okta
Jelenidő: nincs
Takt: 4 fok
Szél: élénk északnyugati
Csapadék: 0
ugye?
Tmin: 3 fok
Tmax: 7 fok
Felhőzet: 2 okta
Jelenidő: nincs
Takt: 4 fok
Szél: élénk északnyugati
Csapadék: 0
ugye?
Köszi az adatokat, az egész órás érték számít, tehát Takt 4 fok 
Ez a 2 okta viszont szörnyű
Ez a 2 okta viszont szörnyű
Takt: én 4 fokot mondanék (a szinop állomásokhoz igazodva óra 50-kor és egészkor is 4,4 volt, a kettő között viszont felment 4,5-4,6 fokig egy-két percre, és a METAR-ba pont az ment bele - ott egyébként már a 4,5 is 5-nek számít)
Szél: élénk ÉNy-i (300° 18 csomó / 9 m/s)
Felhőzet: 2 okta
Jelenidő nincs.
Szél: élénk ÉNy-i (300° 18 csomó / 9 m/s)
Felhőzet: 2 okta
Jelenidő nincs.
Metar alapján élénk északnyugati szél, és visszamentünk 5 fokra kerekítve. A felhőzet 1-2 okta lehet innen nézve.
Eddig jó!
A felhőzetem viszont elég bukósnak néz ki. Borult szinte biztos nem lesz. Mondjuk erősen változik a felhőzet a térségben. Itt Érden például nagyjából 2 és 7 okta között ingadozott az elmúlt 1 órában. Volt egy rövid gyenge zápor is közben (valami jelentéktelen mennyiségű, permetszerű csapadék volt)
Jól vissza kellett keresnem mire megtaláltam, de jogos, remélem a kávé finom volt 
Ja, itt a messze északon csepereg az eső
Ja, itt a messze északon csepereg az eső
Kissé megkésve, de elkészült az összefoglaló.
Link
Azért látom sokan (köztük én is) rámentünk 1-es szorzóval arra a 3 fokos Tminre.
A szélirány is atombiztosnak tűnik.
A felhőzet viszont már kevésbé. 
Azért látom sokan (köztük én is) rámentünk 1-es szorzóval arra a 3 fokos Tminre.

Nem, hanem olyan emberre vadásztam, aki tud nekem adni egy új jelszót az elfelejtett helyett az irodai géphez, ami így vasárnap este nem egy egyszerű feladat (a céges wifit épp karbantartják, úgyhogy B opció nem nagyon játszott). 
Sajnos nem lett meg a -3 fokos minimum, csak -2,1, és az is a harmatponté. A Tmin 2,8, a Tmax 7,2 fok volt.
Sajnos nem lett meg a -3 fokos minimum, csak -2,1, és az is a harmatponté. A Tmin 2,8, a Tmax 7,2 fok volt.
Mindenki milyen türelmetlen, Zivi leírta, hogy estére megy dolgozni.
Most kávézik, ennyi, ez mindenkinek jár.
Most kávézik, ennyi, ez mindenkinek jár.
Este van szolgálatban Zivipötty (ha jól látom a táblázatban 19:50-06:50 között), azt nem tudom, hogy másvalaki van-e onnan, aki követi a fórumot. Így érthető, hogy nincsenek még adataink, de valószínűleg hamarosan érkeznek.
Tényleg azért ilyenkor már egy T.min-t nyilvánosságra lehetne hozni, meg lassan egy maxot is.
Sztem 3-7
Sztem 3-7
A borotvaél éleződikmegit. +1 felfelé+1megint. tele leszek görbülő libanyakkal. 2 pontosakkal.
Bkrisz; fözzél nekik vízben libanyakot a kutyusoknak. Ne sózd be.
Bkrisz; fözzél nekik vízben libanyakot a kutyusoknak. Ne sózd be.
Metar szerint meg van a 7 fok, de ez sem biztos.
Az éjjeli csapadéknál meg biztosabb a kutyáim vacsorája.
Az éjjeli csapadéknál meg biztosabb a kutyáim vacsorája.

Remélem én is.
,
Ugye ez nem Lőrinci állomás, hanem metaros reptér.
Szerintem túl vagyunk a T-min.-en. Ziviőpotty? Ja vonaton vagy...
Szélúrfi közben készülődik az esti előadásra.Remélem bevállik
,
Ugye ez nem Lőrinci állomás, hanem metaros reptér.
Szerintem túl vagyunk a T-min.-en. Ziviőpotty? Ja vonaton vagy...
Szélúrfi közben készülődik az esti előadásra.Remélem bevállik