Információk az előrejelzési versenyhez
Versenyinformációk
A VERSENYSZABÁLYZATÚj előrejelzés elküldése az előrejelzési versenybe
A legutóbbi forduló eredménye
A verseny összesített állása
A 3 kieső fordulót nem tartalmazó összesített lista
A synop-kódok értelmezéséhez egy kis segítség
Szélirány-meghatározáshoz segítség
Stelvio segítségével megjelenített összesített ranglista
Stelvio segítségével megjelenített örökranglista
Stelvio segítségével megjelenített dicsőséglista
A meteorológiai állomások elhelyezkedése
A meteorológiai állomások beosztása
Máskülönben üdvözlet a végeken teljesítő versenyzőknek; Bakonyvár-mzs.- és gulyasm-t nek, hogy kitartotok emme téli versenyben!!!
Lesz még kiolvadás és virágzás!

Júj de jó !! 
Homoki szikkadt alföldi embörnek egy kurriózum, fent a magasban.
Meg most vigyázok a dátumra, mert amúgy 4-es szülinapok következnek, Jan.8-9-10-11, én a 10-es vagyok, többi a lányom, és unokák.
Homoki szikkadt alföldi embörnek egy kurriózum, fent a magasban.
Meg most vigyázok a dátumra, mert amúgy 4-es szülinapok következnek, Jan.8-9-10-11, én a 10-es vagyok, többi a lányom, és unokák.
Zivipötty nyerte a bécsi fordulót. Gratulálok neki! 
Forduló: Link
Összetett: Link
MacBook a következő kiíró. Szeretnénk kérni egy helyszínt és egy időpontot.
Választható helyszínek:
Békéscsaba [12992]
Budapest-Újpest [metnet-es észlelő]
Csíkszereda (Miercurea Ciuc) [15170]
Debrecen [12882]
Felcsút [metnet-es észlelő]
Kecskemét [12970]
Kékestető [12851]
Lomnici-csúcs (Lomnicky Stít) [11930]
Nagykanizsa [12925]
Pécs-Egyetem [38528]
Siófok [metnet-es észlelő]
Sopron-Kurucdomb [nincs kódja]
Meteorológiai állomások beosztása: Link
Forduló: Link
Összetett: Link
MacBook a következő kiíró. Szeretnénk kérni egy helyszínt és egy időpontot.
Választható helyszínek:
Békéscsaba [12992]
Budapest-Újpest [metnet-es észlelő]
Csíkszereda (Miercurea Ciuc) [15170]
Debrecen [12882]
Felcsút [metnet-es észlelő]
Kecskemét [12970]
Kékestető [12851]
Lomnici-csúcs (Lomnicky Stít) [11930]
Nagykanizsa [12925]
Pécs-Egyetem [38528]
Siófok [metnet-es észlelő]
Sopron-Kurucdomb [nincs kódja]
Meteorológiai állomások beosztása: Link
12 UTC-ig csak nyomot jelentett az állomás, lehet mérhetö mennyiség nélkül maradunk.... Na erre, biztosan nem tettem volna.
Még ilyen nem fordult elő velem - holnapra, 6.-dikára tippeltem. Látszik is a T.- jelen- csapi adatokon.
Most is délután úgy voltam,majd megnézem a leadott tippeket, erre fel már tart a verseny. A csütörtök rögzült bennem.
Most is délután úgy voltam,majd megnézem a leadott tippeket, erre fel már tart a verseny. A csütörtök rögzült bennem.
Supa'Kúúúúl 
Kétszámjegyű forduló-eredmény!!!
Kicsinek is kell örülni ilyen ínséges időkben 
Zivipötty-nek gratula a valószínűsíthető forduló győzelemhez, szép tippsor!
Kétszámjegyű forduló-eredmény!!!
Zivipötty-nek gratula a valószínűsíthető forduló győzelemhez, szép tippsor!
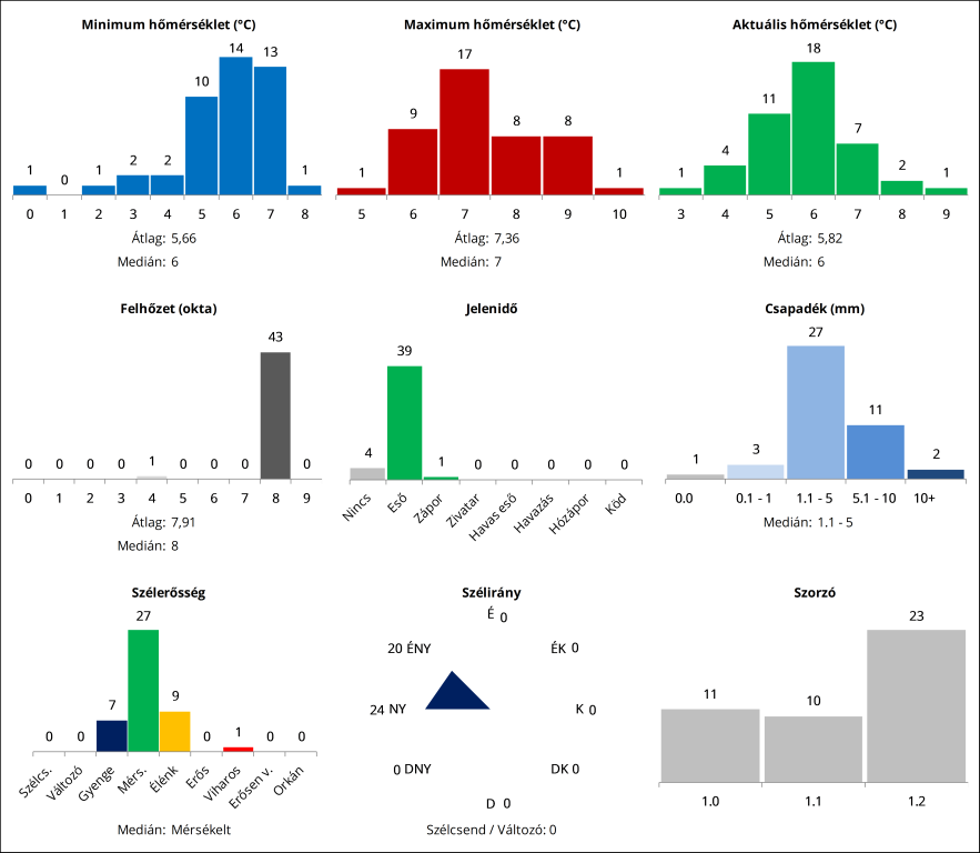
Blizzard tette meg 1,2-essel a dupla 8 fokot (Tmin, Tmax), szép találatnak tűnik, legalábbis mivel már kerekített 6 fok van, a Tmax kevéssé reális, hogy 8,5 fölé kúszon ma már.
Osztrák oldalon 7,4 fok a 7 órás mérés, de eddig nem nagyon egyezett ez a synop adataival. Valószínűleg a hivatalos meteorológiai oldalon az egész órás érték szerepel, a synopban pedig az óra 40/50-es.
Kissé megkésve, de elkészült az összefoglaló
Link
Közben szépen csökken a hőmérséklet, 0:00 -kor már "csak" 11,3 fok. Remélem azért lesüllyed szépen 6 fokig is hajnalra.
Közben szépen csökken a hőmérséklet, 0:00 -kor már "csak" 11,3 fok. Remélem azért lesüllyed szépen 6 fokig is hajnalra.

Ejj, miért emlékeztem én 16 órás határidőre? Úgy látom, a szorzócsúszást sikerült "átmentenem" az új esztendőre is...
Elnézést a lassú válaszért. A következő forduló legyen akkor Bécs (Hohe Warte), január 5. 13 óra, így bőven lesz idő az 1,2-es szorzóig.
Igaz, nagyon reggel van. 
Szabóka akkor a lentebb lévő üzenet neked szól.
Szabóka akkor a lentebb lévő üzenet neked szól.
A fordulót Pestimet nyerte. Gratulálok neki és minden elégedettnek.
19,2-es 1,2-es szorzót dobtam el a 18 pontos 1,0-ért, de hát annyira azért érzékenyen nem érint, főleg, hogy 20 pontos a Pestimet tippje is. 
Forduló: Link
Összetett: Link
MacBook a következő kiíró. Ha beosztásos állomást választasz akkor a beosztásra kicsit még várni kell.
Választható helyszínek:
Bécs (Wien-Hohe Warte) [11035]
Békéscsaba [12992]
Budapest-Újpest [metnet-es észlelő]
Csíkszereda (Miercurea Ciuc) [15170]
Debrecen [12882]
Felcsút [metnet-es észlelő]
Kecskemét [12970]
Kékestető [12851]
Lomnici-csúcs (Lomnicky Stít) [11930]
Nagykanizsa [12925]
Pécs-Egyetem [38528]
Siófok [metnet-es észlelő]
Sopron-Kurucdomb [nincs kódja]
Forduló: Link
Összetett: Link
MacBook a következő kiíró. Ha beosztásos állomást választasz akkor a beosztásra kicsit még várni kell.
Választható helyszínek:
Bécs (Wien-Hohe Warte) [11035]
Békéscsaba [12992]
Budapest-Újpest [metnet-es észlelő]
Csíkszereda (Miercurea Ciuc) [15170]
Debrecen [12882]
Felcsút [metnet-es észlelő]
Kecskemét [12970]
Kékestető [12851]
Lomnici-csúcs (Lomnicky Stít) [11930]
Nagykanizsa [12925]
Pécs-Egyetem [38528]
Siófok [metnet-es észlelő]
Sopron-Kurucdomb [nincs kódja]
Tized mm-es változás lehetett a csapadékban, mert mindkettő 2 mm-es érték kerekített. Ahogy kinéz, simán 5 mm alatt maradhat a 24 órás összeg reggelig, még jó, hogy az 1,1-esben változtattam 10+ mm-re 
A jelenidő valóban nagy szerencse/pech volt attól függően, hogy kinek a szempontjából nézzük. Az 1,0-s határidő előtt már világosan látszott, hogy épp a két rendszer közötti szünetbe eshet a kiírt időpont. Ami miatt mégsem vettem ki végül a jelenidőt, az az volt, hogy nedves, telítetthez közeli levegőben szitálásra is volt esélye, na meg a leggyengébb esetleges csepergés/hószállingózás sem párolgott volna el, míg eléri a talajt. Végül bejött, de kevésen múlt, hogy nem. Abszolut kockáztatós szituáció.
A jelenidő valóban nagy szerencse/pech volt attól függően, hogy kinek a szempontjából nézzük. Az 1,0-s határidő előtt már világosan látszott, hogy épp a két rendszer közötti szünetbe eshet a kiírt időpont. Ami miatt mégsem vettem ki végül a jelenidőt, az az volt, hogy nedves, telítetthez közeli levegőben szitálásra is volt esélye, na meg a leggyengébb esetleges csepergés/hószállingózás sem párolgott volna el, míg eléri a talajt. Végül bejött, de kevésen múlt, hogy nem. Abszolut kockáztatós szituáció.
Így, hogy 12Z és 18Z között gyakorlatilag alig mérhető csapadék esett (mindkét időpontban 2 mm-t adtak, tehát a kettő között elvileg nem volt változás), így inkább a jelenidő lett bemákolva azoknak, akik adtak, de mindenesetre lutri volt.
Csak azért bosszantó, mert így egy 5-6 fokos (0 pontot érő) T-kkel, de eső jelenidővel leadott 1,2-es többet ér, mint egy jelenidő mentes, de a T-ket jól közelítő 1,0-s...
Csak azért bosszantó, mert így egy 5-6 fokos (0 pontot érő) T-kkel, de eső jelenidővel leadott 1,2-es többet ér, mint egy jelenidő mentes, de a T-ket jól közelítő 1,0-s...
…meg egy kicsivel később, 16 UTC: 0,6 fok, borult jelenidő nélkül.
Valószínűleg arra számított az 1,0-ások jelentős része, hogy lesz délután egy kis csapadékszünet. (Volt is, csak korábban) Több modell is mutatta. Én is majdnem beadtam a derekam, de azért bíztam egy kis szállingában. Helyette lett csepergés. Az 1 foknak viszont örülök! 
Szerencsére kicsi az esély a 10+ mm-re. Az 5-10 mm viszont jó eséllyel meglehet reggelig. De persze az időjárásé az utolsó szó.
Szerencsére kicsi az esély a 10+ mm-re. Az 5-10 mm viszont jó eséllyel meglehet reggelig. De persze az időjárásé az utolsó szó.
Ez igen bátraké a szerencse . A sok 1.0 kaszíroz a T-ken akár 5-8 pontokat, aki kitartott az 1,2-nél nagy 0 pont. Azt viszont nem értem, hogy a kisszorzósok zöme miért nem várt esőt ? Hogy ne alázzon bennünket annyira ? Köszönjük mi 1,2-esek. Ha 10+ mm-es lenne az eső reggelig, még azzal is inkább az 1,2-esek lehetnének elégedettek. Vajon a tegnapi 15mm után ez lehetséges ?
Hát azt én is, főleg, hogy csak én adtam ilyet az egész mezőnyben.
Már csak 1,9 fok havasesővel. Én aláírnám, ha 2 fok lenne a maxi... Na jó, csapadékszünetben felszaladhat 3 fokra is.
Azóta még csökkent a T. 2,1 és havaseső-hó Ebből nem lesz +4 fok...
És tegnapra mérve lezuttyant 15,4 mm. csapi.
Link
Link
Ütemesen csökken a T az északnyugati szélben, gyenge esőben. 9,1°C