Információk az előrejelzési versenyhez
Versenyinformációk
A VERSENYSZABÁLYZATÚj előrejelzés elküldése az előrejelzési versenybe
A legutóbbi forduló eredménye
A verseny összesített állása
A 3 kieső fordulót nem tartalmazó összesített lista
A synop-kódok értelmezéséhez egy kis segítség
Szélirány-meghatározáshoz segítség
Stelvio segítségével megjelenített összesített ranglista
Stelvio segítségével megjelenített örökranglista
Stelvio segítségével megjelenített dicsőséglista
A meteorológiai állomások elhelyezkedése
A meteorológiai állomások beosztása
Az éjszakai megállás után most napfelkelte előtt húzott bele, -3,8 volt 06:00-kor. Halványan reménykedem, hogy nem megy le -4,5 alá... 
A felhők pedig közelednek ÉK felől, szerintem 8:00-ra lesz pár okta...
A felhők pedig közelednek ÉK felől, szerintem 8:00-ra lesz pár okta...
Vannak automaták a metnet és az időkép térképein ezen kívül is, de most azt látom megtorpant a csökkenés,emelkedik valószínűleg felhősödés miatt. Arborétum,csalános.met 90.hetényegyháza stb. még nem mért -4 alatt(csalános -4,1 de most csak -3,1),az ogimet 22 órakor -3-at adott Kecskemétre, de most nézem , hogy az OMSZ térkép legkeletebbikje 21:30-kor kerekített -4 -et adott. Akkor már van 2 pontom kezdésnek, hacsak nem megy le -8-ig mert akkor már csak 0 pont lesz belőle. Viszont Bajna már -8 fok, vagyis ha lenne egy kis hó felénk (itt a környéken már -5 fokok vannak) zord napok lehetnének simán.
"...csak nem tudom melyik játszik a sok automata adat közül."
Én úgy tudom, hogy a katonai reptér adatsora játszik, ami a térképen a három Kecskemét környéki érték közül a legkeletebbi.
Én úgy tudom, hogy a katonai reptér adatsora játszik, ami a térképen a három Kecskemét környéki érték közül a legkeletebbi.
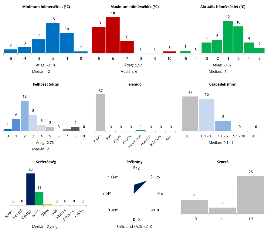
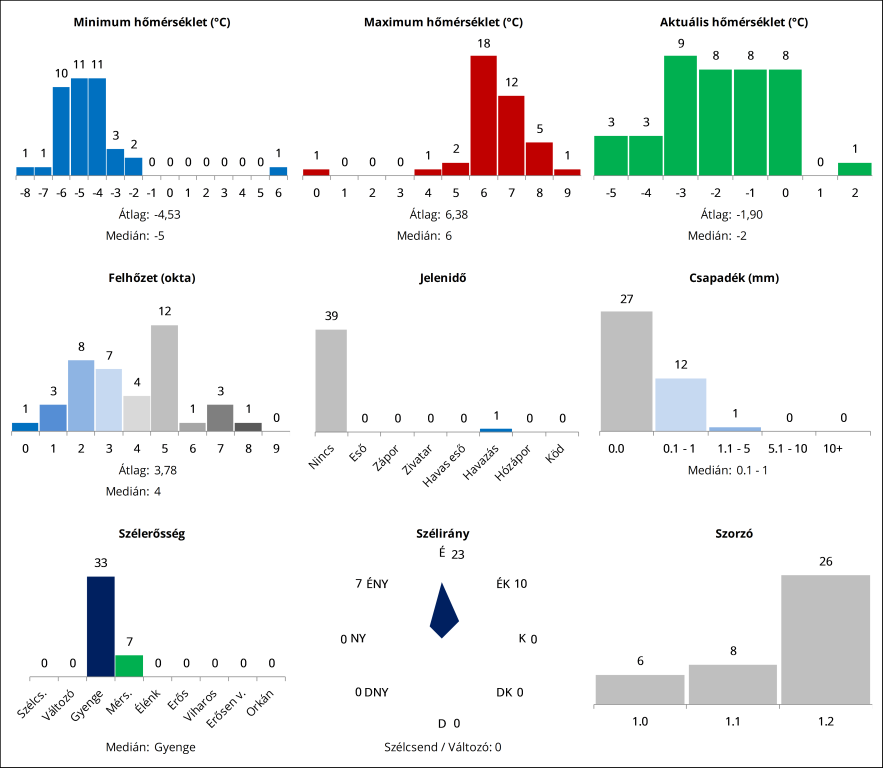
Nagyon melléfogtam alighanem a mostani tippemmel. Arra, hogy erősen felhős idő legyen reggel vagy hogy bemérjenek hópihékből 0,1 mm-t most nem sok esély látszik. Valamit nagyon benéztem most a T-kkel, mert a legfrissebb kiváró előrék (ma reggel adták le őket gondolom) valami erős melegfrontot látnak, mert a mai 3,9 fokos maximum után +6-8 fokos maxikat várnak stabilan. És nem ők nézték be a szitut,hanem én, mert a hivatalos profi előrék csak a legzordabb helyeken várnak 5 fokos maxit, de még a 9 fok is benézhet az országba. Ma Szeged vitte el a pálmát +5,6 fokkal(dombvidékeken téli nap is volt), holnap betör ezek szerint valami melegfront északi széllel. Ebben,vagyis a szélirányban és szélerőben eléggé egysíkú a vélemény, de a min. mint a búcsúban -8-tól +6-ig széles a paletta, de a -4,5 fokos átlag már most majdnem megvan. A hőtérképeket nézve már este 9-kor -2 és -4 fok közt mérnek Kecskemét környékén, csak nem tudom melyik játszik a sok automata adat közül. Itt sok pont kinéz,de hogy reggel nyolcra miért lesz csak -1,9 fok az átlagtipp szerint nem tudom, gondolom hajnalban felhőzóna vagy melegfront jön. Mivel sok felhőt adtam csak jöjjenek.
Ezt így nem áll módunkban módosítani, kérlek adj le egy új tippet megfelelő előjellel. Egy mínusz jelet bárhonnan kimásolva és beillesztve is tudsz negatív előjelű tippet leadni mobilról is.
Sziasztok! Mobilrol sajnos nem tudok minusz jelet beirni, de a min es az aktualis homerseklet is negativ elojellel ertendo az elorejelzesemben...
Bakonyvárnak gratulálok a gyözelemhez.
Nekem tanulság: elaludni nem a módosítási idöpontban kell
Köszönet a kiesös listáért Hófúvásnak, enélkül nem igazán lehetne követni az összesített állást.
Nagy csata folyik a dobogós helyekért. MacBook visszafoglalta a 2 fordulóval ezelött elvesztett vezetö helyet Honzától, a 3. helyen pedig századra azonos pontszámmal áll Tullner_Job és Brighty. A Top10 többi része sincs túlságosan lemaradva, szerintem még bárkinek esélyes lehet egy dobogós helyezés.
Mint ahogy a TOP10, TOP20 és TOP30 is nyitott, jöhet a hajrá. Hajrá!
Nekem tanulság: elaludni nem a módosítási idöpontban kell
Köszönet a kiesös listáért Hófúvásnak, enélkül nem igazán lehetne követni az összesített állást.
Nagy csata folyik a dobogós helyekért. MacBook visszafoglalta a 2 fordulóval ezelött elvesztett vezetö helyet Honzától, a 3. helyen pedig századra azonos pontszámmal áll Tullner_Job és Brighty. A Top10 többi része sincs túlságosan lemaradva, szerintem még bárkinek esélyes lehet egy dobogós helyezés.
Mint ahogy a TOP10, TOP20 és TOP30 is nyitott, jöhet a hajrá. Hajrá!
A kiesős lista a fenti linken frissült.
(Zorro esetében hibás volt az előző számításom, most rendbetettem. Sajnos úgy látom, Ő az utóbbi 4 fordulóban nem tippelt, remélhetőleg hamarosan viszont látjuk!)
(Zorro esetében hibás volt az előző számításom, most rendbetettem. Sajnos úgy látom, Ő az utóbbi 4 fordulóban nem tippelt, remélhetőleg hamarosan viszont látjuk!)
Igen, egy szavam sem lehet, a szerencsefaktor működött (bár a lottóm így jönne be) no meg ahogyan elnézem a T-ken múlt a dolog. Jó hogy figyelembe vettem az újpesti hőszigetelt melegszektort.
Az újpesti fordulót Bakonyvár nyerte. Reméljük elégedett a teljesítményével 
Forduló: Link
Összetett: Link
jocika8627 a következő kiíró, így szeretnénk kérni egy helyszínt és egy időpontot.
Választható helyszínek:
Kecskemét [12970]
Kékestető [12851]
Nagykanizsa [12925]
Siófok [metnet-es észlelő]
Meteorológiai állomások beosztása: Link
Forduló: Link
Összetett: Link
jocika8627 a következő kiíró, így szeretnénk kérni egy helyszínt és egy időpontot.
Választható helyszínek:
Kecskemét [12970]
Kékestető [12851]
Nagykanizsa [12925]
Siófok [metnet-es észlelő]
Meteorológiai állomások beosztása: Link
Takt.: 0,6 °C
Szél: 343 fokról 2 m/s (gyenge északi).
Felhőzet: 2 okta
Jelenidő: nincs (03)
Szél: 343 fokról 2 m/s (gyenge északi).
Felhőzet: 2 okta
Jelenidő: nincs (03)
No akkor pár új adat:
A Tmax. 6,0 °C-kal 15:37-kor állt be.
A 12 órás csapadék (18:45-ig) 0,4 mm lett, ez reggelig, ahogy elnézem, nem nagyon lesz több.
A 22 UTC-t pedig hamarosan meglátjuk.
Jelenleg 1,4 °C-nál járunk.
A Tmax. 6,0 °C-kal 15:37-kor állt be.
A 12 órás csapadék (18:45-ig) 0,4 mm lett, ez reggelig, ahogy elnézem, nem nagyon lesz több.
A 22 UTC-t pedig hamarosan meglátjuk.
Jelenleg 1,4 °C-nál járunk.
Nekem az elalvás miatti tipp módosítás kiesés eddig 4 pont veszteséget hozott. S lesz ez még több is szerintem... Engem a szorzónál jobban kompenzálna, ha meglenne az 1,1 mm...
Elkészült az összefoglaló: Link
Tegnap napközben gondolkoztam még, hogy becseréljem-e az 1.2-es tippemet, de aztán estére teljesen ki is ment a fejemből a dolog.
De lehet nem is baj, remélem a szorzó kompenzál majd valamennyire. 
Tegnap napközben gondolkoztam még, hogy becseréljem-e az 1.2-es tippemet, de aztán estére teljesen ki is ment a fejemből a dolog.

Sajna nem. 
Kint az Omszos automatánál is csak -0,6 fok volt.
Most itt is esik, meglátjuk, mennyi jön le belőle.
Kint az Omszos automatánál is csak -0,6 fok volt.
Most itt is esik, meglátjuk, mennyi jön le belőle.
+1,0°C-os Tmin?
Akkor lehet, jó, hogy elaludtam a tegnapi módosítást -4-röl -2-re
Akkor lehet, jó, hogy elaludtam a tegnapi módosítást -4-röl -2-re
Egyelőre csak a met-észre megy a feltöltés (oda se megy még minden), ide még nem, mert valami hibát dob vissza a rendszer, aminek a forrását egyelőre nem sikerült beazonosítani.
Úgyhogy áthidaló megoldásként igyekszem majd óránként észlelni ide is. Bocsánat, hogy csak mostanra szedtem össze magam, de szombaton 24-ben voltam, aztán olyankor a következő 1-1,5 napban kissé szétvagyok.
Na szóval:
A Tmin. 1,0 °C volt tegnap 22:19-kor.
Úgyhogy áthidaló megoldásként igyekszem majd óránként észlelni ide is. Bocsánat, hogy csak mostanra szedtem össze magam, de szombaton 24-ben voltam, aztán olyankor a következő 1-1,5 napban kissé szétvagyok.
Na szóval:
A Tmin. 1,0 °C volt tegnap 22:19-kor.
Tudjuk valahol követni az adatokat?
Tmin valószínűleg tegnap este állhatott be, az OMSZ-os állomáson -1, 0 fok környékéig csökkent a hőmérséklet.
Tmin valószínűleg tegnap este állhatott be, az OMSZ-os állomáson -1, 0 fok környékéig csökkent a hőmérséklet.
Ne csinálj semmit, elvileg megoldottuk
visszaállítottuk az 1.2-es tippedet, csak akkor nyúlj hozzá, ha módosítani akarsz.
Zivi, met4ever:
nem és nem
Miután leadtam az 1.2-es tippet, be sem léptem a verseny fórumba, tegnap is csak a két társalgót nyitottam meg.
Pont ezt beszéltük Kornéllal, hogy a direkt elküldött 1.0-ás tippemben szerepeltek alapértékek, ezért érthetetlen az üres tippről a visszaigazolás.
nem és nem
Miután leadtam az 1.2-es tippet, be sem léptem a verseny fórumba, tegnap is csak a két társalgót nyitottam meg.
Pont ezt beszéltük Kornéllal, hogy a direkt elküldött 1.0-ás tippemben szerepeltek alapértékek, ezért érthetetlen az üres tippről a visszaigazolás.
Nem maradt nyitva a tippelési oldal? Régebben ha jól emlékszem, akkor fordult elő hasonló egy-két embernél. Bár úgy emlékszem, értékek akkor is kerültek bele, tehát nem tök üres tipp ment ki, hanem "nullás".
Egyébként ezt is könnyen ki lehetne küszöbölni, ha a rendszer nem engedné úgy elküldeni a tippet, hogy nincs kitöltve az összes mező, pl. az előrejelzés írása is így működik (kiküszöbölve az olykor előfordult véletlen enter-nyomást).
Egyébként ezt is könnyen ki lehetne küszöbölni, ha a rendszer nem engedné úgy elküldeni a tippet, hogy nincs kitöltve az összes mező, pl. az előrejelzés írása is így működik (kiküszöbölve az olykor előfordult véletlen enter-nyomást).
Esetleg a tipp leadási oldalon állhatott a böngésződ? Rémlik, mintha régebben ilyen esetekben fordult volna elő hasonló...
Akkor amikor írtam, fél 10 körül, az előtt vettem a kezembe a telefont, addig töltőn volt. Még megnéztem a fórumokat, Nanonak válaszoltam, aztán utána néztem meg a levelet, azt hittem valaki a kolbásztöltés kapcsán írt, és akkor láttam, hogy tippet adtam le...
Ezért ma reggel tippeltem egyet, katt az "új előrejelzés" feliratra, majd mindenféle módosítás nélkül katt az elküld gombra.
Láthatod a két üzenetben mennyi eltérés van.
Azért is írtam, ha én tippelek -úgy hogy nem nyúlok semmihez-, akkor a szél-felhő-csapadék mezők biztosan tartalmaznak valamit, érték nélkül nem lehet tippelni.
Szerintem.
Egyébként nem voltam kilépve.
Ezért ma reggel tippeltem egyet, katt az "új előrejelzés" feliratra, majd mindenféle módosítás nélkül katt az elküld gombra.
Láthatod a két üzenetben mennyi eltérés van.
Azért is írtam, ha én tippelek -úgy hogy nem nyúlok semmihez-, akkor a szél-felhő-csapadék mezők biztosan tartalmaznak valamit, érték nélkül nem lehet tippelni.
Szerintem.
Egyébként nem voltam kilépve.
Kicsit részletezd, kérlek! Hogy vetted észre, hogy leadtál egy tippet, miközben nem nyúltál a telefonhoz? A következő belépésnél jött egy üzenet az alábbi tippel?
Leadtam próbából egy üres tippet, a különbség szembeötlő
"...Kedves satya !
Az előrejelzési verseny aktuális fordulójában leadott adatok a következők:
Tmin: °C
Tmax: °C
Felhőfedettség: 0 okta
Jelenidő: nincs szignifikáns jelenség
Hőmérséklet: °C
Szél: szélcsend
Csapadék: 0.0 mm
Az időtényező értéke: 1..."
Ez hogyan?
Valaki tud ebben segíteni?
"...Kedves satya !
Az előrejelzési verseny aktuális fordulójában leadott adatok a következők:
Tmin: °C
Tmax: °C
Felhőfedettség: 0 okta
Jelenidő: nincs szignifikáns jelenség
Hőmérséklet: °C
Szél: szélcsend
Csapadék: 0.0 mm
Az időtényező értéke: 1..."
Ez hogyan?
Valaki tud ebben segíteni?
Az azért érdekelne, hogyan lehet az, hogy nem nyúlva a telefonhoz ( fürdés esete forog fenn)
küldtem egy számomra teljesen új tippet???
"...Kedves satya !
Az előrejelzési verseny aktuális fordulójában leadott adatok a következők:
Tmin: °C
Tmax: °C
Felhőfedettség: okta
Jelenidő: nincs szignifikáns jelenség
Hőmérséklet: °C
Szél:
Csapadék:
Az időtényező értéke: 1.1..."
küldtem egy számomra teljesen új tippet???
"...Kedves satya !
Az előrejelzési verseny aktuális fordulójában leadott adatok a következők:
Tmin: °C
Tmax: °C
Felhőfedettség: okta
Jelenidő: nincs szignifikáns jelenség
Hőmérséklet: °C
Szél:
Csapadék:
Az időtényező értéke: 1.1..."
Időpont leegyezteve (köszönöm!). Kiránduljunk el febr. 28-án, hétfőn Újpestre egy télzáró party-ra, fogadás 22UTC-kor
Gratulálok Szabókának a fordulógyözelemhez!
Jimr-nek küldtem idöpontot egyeztetésre. Annyit elárulhatok, hogy az idei "csodás" meteorológiai tél utolsó napjának egyik utolsó óraja lenne, ha megfelel
Télember: Siófok április 1 nincs veszélyben
Jimr-nek küldtem idöpontot egyeztetésre. Annyit elárulhatok, hogy az idei "csodás" meteorológiai tél utolsó napjának egyik utolsó óraja lenne, ha megfelel
Télember: Siófok április 1 nincs veszélyben
"Választható helyszínek:
Budapest-Újpest [metnet-es észlelő]
Kecskemét [12970]
Kékestető [12851]
Nagykanizsa [12925]
Siófok [metnet-es észlelő]"
Ez az észlelési sorrend szerintem maradhat is.
Budapest-Újpest [metnet-es észlelő]
Kecskemét [12970]
Kékestető [12851]
Nagykanizsa [12925]
Siófok [metnet-es észlelő]"
Ez az észlelési sorrend szerintem maradhat is.
A pécsi fordulót szabóka nyerte. Gratulálok neki és mindenkinek, aki elégedett volt a fordulói teljesítményével. 
Forduló: Link
Összetett: Link
met4ever a következő kiíró, így szeretnénk kérni egy helyszínt és egy időpontot.
Választható helyszínek:
Budapest-Újpest [metnet-es észlelő]
Kecskemét [12970]
Kékestető [12851]
Nagykanizsa [12925]
Siófok [metnet-es észlelő]
Meteorológiai állomások beosztása: Link
Forduló: Link
Összetett: Link
met4ever a következő kiíró, így szeretnénk kérni egy helyszínt és egy időpontot.
Választható helyszínek:
Budapest-Újpest [metnet-es észlelő]
Kecskemét [12970]
Kékestető [12851]
Nagykanizsa [12925]
Siófok [metnet-es észlelő]
Meteorológiai állomások beosztása: Link
Akkor ha jól látom, mindent tudunk, ha lesz pontozás, még este csinálnék egy kiesőst.
Ejj, egy jelenidő bevállalással egész jó fordulóm lehetett volna...
Bíztam a gyorsabb átvonulásban.
Tanulságos egy forduló. Szándékosan nem adtam a szélárnyékgödörre sok csapadékot és jelenidőt, hisz a Mecsek "mediterrán" oldala és ugye az előrejelzések hosszútávon különben is semmi csapadék, száraz meleg februárt vetítenek előre megállás nélkül (szárazságról panaszkodnak hónapok óta a pécsiek is ) . Jönnek-mennek ugyan a viharok, de a meleg és alig esik pár tizedmilli az örök. Minden így is alakult, annak rendje és módja szerint 17 órakor a radaron egy óriási pécsi lyuk az automata meg nem mért 17 és 17:10 közt csapadékot. Persze ettől még lehetett valami párakicsapódás ami mérhetetlen. De a mezőny egy részét (és engem )jól megtréfálta a hideg minimum és jelenidő (Pogány reggel 0 fokkal meg az egyik leghidegebb hely) valamint a 10 + csapadék amire talán senki sem számított (északi szélre is csak nyolcan). Este 7-ig a megyei 2-7 mm-ek mellé ez a 11 számomra érthetetlen lee oldalon. Valami nem stimmel ezekkel az automatákkal vagy valami összeáramlásos konvergencia alakult ki az egyetem felett ?

