Információk az előrejelzési versenyhez
Versenyinformációk
A VERSENYSZABÁLYZATÚj előrejelzés elküldése az előrejelzési versenybe
A legutóbbi forduló eredménye
A verseny összesített állása
A 3 kieső fordulót nem tartalmazó összesített lista
A synop-kódok értelmezéséhez egy kis segítség
Szélirány-meghatározáshoz segítség
Stelvio segítségével megjelenített összesített ranglista
Stelvio segítségével megjelenített örökranglista
Stelvio segítségével megjelenített dicsőséglista
A meteorológiai állomások elhelyezkedése
A meteorológiai állomások beosztása
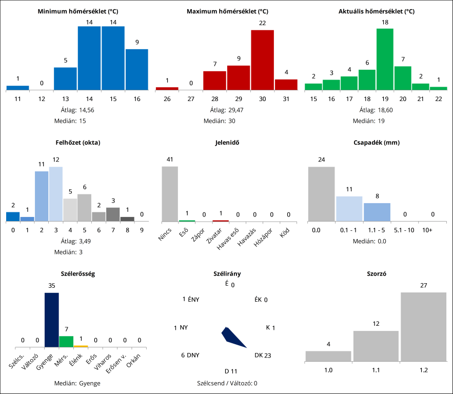
25,3°C volt a Tmax. Még 2 tized, és a 26 fokosok örülhettek volna.
Na, akkor jön az utolsó felvonás, a csapadék kérdés tisztázására. A front felhőzetét anno előbbre vártam kicsit, de nem mertem 0,1 - 1 mm-től többet adni 1,2-essel. Örülnék, ha kikerülnék az állomást az erősebb gócok, vagy ha nem, akkor már mindent bele és jöjjön a 10+ mm
Na, akkor jön az utolsó felvonás, a csapadék kérdés tisztázására. A front felhőzetét anno előbbre vártam kicsit, de nem mertem 0,1 - 1 mm-től többet adni 1,2-essel. Örülnék, ha kikerülnék az állomást az erősebb gócok, vagy ha nem, akkor már mindent bele és jöjjön a 10+ mm
Tmin 8,9°C
Tmax valósz. 25°C
Takt 24,7°C
Felh. 1 okta
Szél mérsékelt déli (4 m/s, 160°)
Jelenidő nincs
Csap ?
Tmax valósz. 25°C
Takt 24,7°C
Felh. 1 okta
Szél mérsékelt déli (4 m/s, 160°)
Jelenidő nincs
Csap ?
8.9°C lett a Tmin. Irány a 24.5°C az éjszakai zivatarok elött.
AZ ECMWF legfrisebb oper. futása 10 mm feletti mennyiséget húzott elö, míg a kontrol és az ensemble átlag 1 mm körüli....
AZ ECMWF legfrisebb oper. futása 10 mm feletti mennyiséget húzott elö, míg a kontrol és az ensemble átlag 1 mm körüli....
1,2 csapkodósom óta semmi időm nem volt még levegőt sem venni, így valszeg ez most kieső, mert a maradék 45 percem is utazással, szaggatott kapcsolattal fog telni, így csak bizakodom, hajrá mindenki!
Elég nehezen beszéltem rá magam az elküldésre, de 17:58:04-kor csak sikerült...
Szerintem én is leadok egy biztonsági "egynégyest", biztos, ami tuti...
Pestimet nyerte a pécsi fordulót. Gratulálok neki!
Forduló: Link
Összetett: Link
A következő kiíró honza lesz, így szeretnénk kérni egy helyszínt és egy időpontot. Amennyiben beosztásos állomás választására kerülne sor június elején, akkor a beosztás készülőben van, így türelmet kérünk.
Választható helyszínek:
Bécs (Wien-Hohe Warte) [11035]
Békéscsaba [12992]
Budapest-Újpest [metnet-es észlelő]
Csíkszereda (Miercurea Ciuc) [15170]
Debrecen [12882]
Felcsút [metnet-es észlelő]
Kassa (Kosice) [11968]
Kecskemét [12970]
Kékestető [12851]
Lomnici-csúcs (Lomnicky Stít) [11930]
Miskolc-Diósgyőr [12772]
Nagykanizsa [12925]
Siófok [metnet-es észlelő]
Szeged [12982]
Szolnok [12860]
Szombathely [12812]
Zágráb-Maksimir [14240]
Meteorológiai állomások beosztása: Link
Forduló: Link
Összetett: Link
A következő kiíró honza lesz, így szeretnénk kérni egy helyszínt és egy időpontot. Amennyiben beosztásos állomás választására kerülne sor június elején, akkor a beosztás készülőben van, így türelmet kérünk.
Választható helyszínek:
Bécs (Wien-Hohe Warte) [11035]
Békéscsaba [12992]
Budapest-Újpest [metnet-es észlelő]
Csíkszereda (Miercurea Ciuc) [15170]
Debrecen [12882]
Felcsút [metnet-es észlelő]
Kassa (Kosice) [11968]
Kecskemét [12970]
Kékestető [12851]
Lomnici-csúcs (Lomnicky Stít) [11930]
Miskolc-Diósgyőr [12772]
Nagykanizsa [12925]
Siófok [metnet-es észlelő]
Szeged [12982]
Szolnok [12860]
Szombathely [12812]
Zágráb-Maksimir [14240]
Meteorológiai állomások beosztása: Link
Na, még a végén betalál egy cella. Egyre közelebb húznak el a várostól a csapadékot adó tömbök.
Bakonyvár! A következő faszságot, amit beírsz azután instant repülni fogsz. Utoljára töröltük a hozzászólásod, elég volt!
30,0°C lett a T max.
Ha csapadék nem lesz, akkor lesz 11 pontom. Mindegy, ezt már elengedtem, valahogy Pécs sohasem fekszik nekem.
Ha csapadék nem lesz, akkor lesz 11 pontom. Mindegy, ezt már elengedtem, valahogy Pécs sohasem fekszik nekem.
Köszöntem szépen a figyelést.
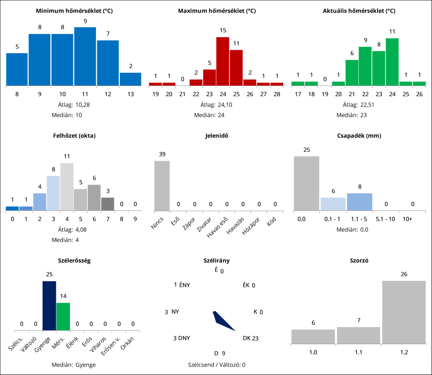
18,6°C lesz. Mondjuk nem is értem miért nem lehet az 50-est beadni, de én már ezt elengedtem.
Köszi mégegyszer.
Köszi mégegyszer.
Összfelhőzet: 5 okta
Jelenidő: Nincs
T min: 17,5°C
T akt: 18,6°C
Szélirány: 65° (keleti)
Erőssége: 2,4 m/s (gyenge)
Jelenidő: Nincs
T min: 17,5°C
T akt: 18,6°C
Szélirány: 65° (keleti)
Erőssége: 2,4 m/s (gyenge)
Ez a mérőhely a belvárosban van ? Ott jó meleg van, még a laposdombi Pogányon is csak 22.9 lett a max. A napsütés nem elég ilyenkor a hőséghez, a déli lejtők viszont rátesznek egy lapáttal az biztos. Lesz itt 29,5 az tuti tényleg.
Éjfélkor csak 17,8 Pogányon,rossz belegondolni mi van a délies beépített domboldalakon. Hogyan lesz ebből 14 fokos minimum ?
Szépen megyeget fel, eddig 23°C körül volt a mai max. A talaj 5 cm mélységben már 28 fokos 
Link
Holnapra a 29.5°C elég lesz a talaj felett 2m-en
Link
Holnapra a 29.5°C elég lesz a talaj felett 2m-en
Holnap jó 5 fokkal melegebb lesz a magasban (850hPa), mint ami most van. Pécsett ez akár 15-16 fok is lehet 1500 méter környékén, vagyis május végi napállás mellett ez már simán lehet 30 fok két méteren, főleg, hogy napközben kevés felhőt várnak arrafelé. Amúgy is szinte majdnem minden modell a Dráva-mentére, illetve úgy általában a Mecsektől délre eső területre (plusz Baja környékére) várja a legmelegebbet. (nagyjából 30-31 fok körüli maximumot) Szóval jó lesz az. Feltéve, ha nem kavarnak majd be észak felől az ottani korábbi zivatarok dögüllői, maradványfelhői. Ez mondjuk reggel esélyesebb, így a 3 oktám lehet, hogy kevés lesz. Meglátjuk!
Most nézem mi a fenét adtam le. Jelenleg 20 fok van Pécsen, hogy a csudába vártam (vagy a modellek) 30 fokot holnapra. Még a hőségsúlytotta Spanyolországban sincs 31 foknál melegebb most ...Szicília felől vagy Athénból vártam ilyen hőhullámot nem tudom ?
Elkészült az összefoglaló.
Link
Én biztosra mentem, és még előző nap késő este leadtam a tippemet, hogy aztán nyugodtan szundíthassak.
Mondjuk lehet, a 31 fokos Tmaxszal túlvállaltam magam, de aztán ki tudja. 
Én biztosra mentem, és még előző nap késő este leadtam a tippemet, hogy aztán nyugodtan szundíthassak.

Maradok a biztonságos 1.1-es követési távolságon, nehogy nekiszaladjak az 1.2-es elöl hasíto verenyzönek majd a végén.
Szóval Pécs belváros? Nem Pécs-Pogány viszont lehet hogy feljebb van mint a reptér.
Szóval Pécs belváros? Nem Pécs-Pogány viszont lehet hogy feljebb van mint a reptér.
Na, örülök, hogy nem vagyok akkor egyedül ebben...
Hajrá egyegyes sorstársak!
Gratula. Nekem most jutott eszembe. Hallgattam volna Dabronyra.........
7:55-kor eszembe jutott a verseny, gép bekapcs, tipp leadva 07:58:55-kor, gyors visszaigazolás ellenőrzés, min-max felcserélve, új tipp 07:59:53-kor leadva.


