Információk az előrejelzési versenyhez
Versenyinformációk
A VERSENYSZABÁLYZATÚj előrejelzés elküldése az előrejelzési versenybe
A legutóbbi forduló eredménye
A verseny összesített állása
A 3 kieső fordulót nem tartalmazó összesített lista
A synop-kódok értelmezéséhez egy kis segítség
Szélirány-meghatározáshoz segítség
Stelvio segítségével megjelenített összesített ranglista
Stelvio segítségével megjelenített örökranglista
Stelvio segítségével megjelenített dicsőséglista
A meteorológiai állomások elhelyezkedése
A meteorológiai állomások beosztása
Azon is gondolkodtam, de nem akartam elvenni a lehetőséget más elől, még hosszú az agusztus!
Ejnye, pedig egy jó siófoki strandolásra most jó alkalom lett volna
De hát, ha Kanizsára megy a gőzös, akkor uccu neki!
Én meg elfelejtettem az 1,2-őt, namajd 1,1, azt is ,...Ha 1,2-essel adom le akkor
15*1,2 = 18 ponty.
15*1,2 = 18 ponty.
Köszönöm, bár a Tmin-Tmax-nál ügyesebb lehettem volna, fájó a 2+2 pont veszteség ott.
Viszont szélcsendet 12 UTC-re Kékestetőre biztosan nem adtam volna 1,2-vel, így az menthetetlen 3 pont veszteség volt.
Ha megtartod, hány pontos tipp lett volna?
A nagyon bizonytalan felhőzet tippem úgy jött ki, hogy a szokásos kékestetői 5 oktához hozzáadtam 1 okta Bubu féle sáskaivadékot
Viszont szélcsendet 12 UTC-re Kékestetőre biztosan nem adtam volna 1,2-vel, így az menthetetlen 3 pont veszteség volt.
Ha megtartod, hány pontos tipp lett volna?
A nagyon bizonytalan felhőzet tippem úgy jött ki, hogy a szokásos kékestetői 5 oktához hozzáadtam 1 okta Bubu féle sáskaivadékot
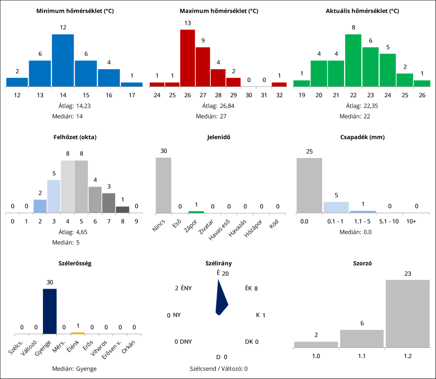
Csapadék nem hullott, a maximum 22,9 fok lett, így met4ever nyerte a fordulót, gratulálok! Mögötte igen sűrű a mezőny 
Forduló: Link
Összetett: Link
Stelvio a következő kiíró!
Választható helyszínek:
Budapest-Újpest [metnet-es észlelő]
Debrecen [12882]
Kecskemét [12970]
Miskolc-Diósgyőr [12772]
Nagykanizsa [12925]
Siófok [metnet-es észlelő]
Szolnok [12860]
Zágráb-Maksimir [14240]
Meteorológiai állomások beosztása: Link
Forduló: Link
Összetett: Link
Stelvio a következő kiíró!
Választható helyszínek:
Budapest-Újpest [metnet-es észlelő]
Debrecen [12882]
Kecskemét [12970]
Miskolc-Diósgyőr [12772]
Nagykanizsa [12925]
Siófok [metnet-es észlelő]
Szolnok [12860]
Zágráb-Maksimir [14240]
Meteorológiai állomások beosztása: Link
Stimmel, ha nem lenne egyértelmü szélirány, akkor 99 lenne.
Mondjuk az északi irányra 36-ot várnék 00 helyett, mint nem szélcsend kategória esetén. Tényleg mindegy a verseny szempontjából, csak ha már előkerült.
Mondjuk az északi irányra 36-ot várnék 00 helyett, mint nem szélcsend kategória esetén. Tényleg mindegy a verseny szempontjából, csak ha már előkerült.
9 UTC-nél északi iránnyal (0 fok) ment be a szélcsend 0,1 m/s-os átlagszéllel (0000) most 12 UTC-nél pedig nem értem miért 0600, mert 0700-val kellett volna mennie 74 fokos iránynál 0,2 m/s-os átlagszéllel, de igazából mindegy, mert szélcsend lett fenn.
Vajon mi lehet az oka, hogy ad irány nélküli szélcsendet is Kékestető, pl. 09UTC-kor:
SI03/08/2022 09:00->AAXX 0309112851 46/// /0000 10194 20131 39060 42837 52009 555 10067=
Most meg iránnyal (északkeleti):
SM03/08/2022 12:00->AAXX 0312112851 15/// /0600 10204 20124 39055 42832 57005 60001==
Tipp: mikor nincs irány, akkor nem tudtak egyértelmü irányt megállapítani 0,5 m/s alatti átlagszélsebességnél, mikor meg van irány, akkor sikerült. Erdekes, hogy nappal több órája szélcsendet jelent, mint tegnap is.
SI03/08/2022 09:00->AAXX 0309112851 46/// /0000 10194 20131 39060 42837 52009 555 10067=
Most meg iránnyal (északkeleti):
SM03/08/2022 12:00->AAXX 0312112851 15/// /0600 10204 20124 39055 42832 57005 60001==
Tipp: mikor nincs irány, akkor nem tudtak egyértelmü irányt megállapítani 0,5 m/s alatti átlagszélsebességnél, mikor meg van irány, akkor sikerült. Erdekes, hogy nappal több órája szélcsendet jelent, mint tegnap is.
És ott a szélcsend
Egyszer vállaltam be, akkor is meginogtam, így jártam, megérdemlem
Bezzeg éjszaka nem tudott szélcsend lenni, hogy ne keveredjen a környező levegővel a szabad légkörből. Ügyes!
Eddig 22 fok a max, most 21 körül lófrál és nagyon szélcsendközeli a történet... sírni fogok.
Már jártunk kerekített 21 foknál is, de most 19 fok van, sok felhő és közel szélcsend...
A kakas csípné meg. Bosszantó hogy egész órás jelentésekben nem ment 16,5 alá. Akkor a max legyen 23,5 a fene bánná.
Link
Link
Én viszont szándékosan adtam 14-et, szépen benéztem
Ennél azért erősebb kisugárzásra számítottam.
Tmin 16,4 fok.
Ennyit akartam adni, de a visszaigazolásban vettem észre, hogy 14-en maradt, idő már sajnos nem volt módosítani.
Ennyit akartam adni, de a visszaigazolásban vettem észre, hogy 14-en maradt, idő már sajnos nem volt módosítani.
17 foknak néz ki a Tmin a tízpercesek között.
Szerk.: ha az itteni automata állomást nézzük, ami elvileg OMSZ, ott pont beficcen egy 16,5 fokos érték is: Link
Szerk.: ha az itteni automata állomást nézzük, ami elvileg OMSZ, ott pont beficcen egy 16,5 fokos érték is: Link
Szélcsend inkább az éjszaka folyamán legyen, hogy össze tudjon jönni a legalább 14,5 fokos vagy alacsonyabb Tmin a mai 15,0 után, különben baj lesz
Fejemből vetted ki a gondolatot
Anno gondokodtam is egy olyan alternatív pontozáson érdekességből, ami figyelembe vette volna a mezőnyből való kilógását is a tippnek, mert azzal elvileg nagyobb teljesímény jó eredményt elérni, mint egy mezőny átlag körüli tippel nyerni. Megvalósítás még ebben az évtizedben
Anno gondokodtam is egy olyan alternatív pontozáson érdekességből, ami figyelembe vette volna a mezőnyből való kilógását is a tippnek, mert azzal elvileg nagyobb teljesímény jó eredményt elérni, mint egy mezőny átlag körüli tippel nyerni. Megvalósítás még ebben az évtizedben
Nincs mit.
Én mindig kíváncsi vagyok, hogy a mezőnyhöz képest mit sikerül leadnom (biztos más is az
), és így sokkal jobban látszik, hogy nagyjából hasonlóak-e a tippjeim, vagy kilógnak. Igaz, nagyot nyerni azokkal az értékekkel lehet, amik nem gyakoriak, csak hát azoknak be is kell jönniük.
Én mindig kíváncsi vagyok, hogy a mezőnyhöz képest mit sikerül leadnom (biztos más is az
Amúgy nagyon királyak ezek az összefoglalók, köszi az összesért!
El is készült az összefoglaló.
Link
Ahogy nézem, ez a forduló a hőmérsékleteken meg a felhőzeten fog állni vagy bukni.
Ahogy nézem, ez a forduló a hőmérsékleteken meg a felhőzeten fog állni vagy bukni.

Egy utolsó pillanatos módosítással kivettem a szélcsendet, remélem, nem hiába...
Ha egyértelmü a Cumulus belőle, akkor igen. Ha csak füst látható, akkor azt szerintem nem kellene felhőzetnek venni.
Kérdés, mennyire egyértelmü ez a gyakorlatban....
Kérdés, mennyire egyértelmü ez a gyakorlatban....
Pont most augusztusban. Rarzoljon kicsit fejjebb az a hóolvasztó napocska.Mondjuk 2600 méterre. Na a mi kékestetőnk teljesit, ...ha a kormány is akarja. 

Nem tudom, de mostan kapott esőt Kékes? Ha igen, akkor pont szerdára várható egy sáskajárás, akár + 1 oktával besötétítve az eget.
Mosd ki a szennyest, sok a böngészö szemét, vagy ujjabban csak szellőztess..
Most nincs jelentősége, de lehetne, mert rendszerűködési hibára utal. Most, amikor benéztem az oldalra, leadta ugyanazt a tippet a gép - anélkül, hogy az előrejelzési oldalra beléptem volna -, amit tegnap leadtam. Nem tudom, hogy lehetséges, de elég gáz.
Köszönjük, lehet is tippelni: Link
Vasárnap 14 óráig él az 1,2-es szorzó!
Vasárnap 14 óráig él az 1,2-es szorzó!
Legyen a következő forduló augusztus 3-án, 14 órakor Kékestetőn! Köszönöm
Köszönöm szépen a gratulációkat és én is gratulálok Perico-nak és Misimókusnak a jó szerepléshez!
Erre a fordulóra most valahogy nagyon ráéreztem, hiszen mindhárom hőmérsékleti értékem telitalálat lett. Attól félek meglesz majd a böjtje.
Köszönjük szépen Mindenkinek! Én is gratulálok Periconak és radarheadnek, úgy látom hogy nekik is jól jött egy győzelem. Szépen előrébb léphettünk az összetettben.
