Információk az előrejelzési versenyhez
Versenyinformációk
A VERSENYSZABÁLYZATÚj előrejelzés elküldése az előrejelzési versenybe
A legutóbbi forduló eredménye
A verseny összesített állása
A 3 kieső fordulót nem tartalmazó összesített lista
A synop-kódok értelmezéséhez egy kis segítség
Szélirány-meghatározáshoz segítség
Stelvio segítségével megjelenített összesített ranglista
Stelvio segítségével megjelenített örökranglista
Stelvio segítségével megjelenített dicsőséglista
A meteorológiai állomások elhelyezkedése
A meteorológiai állomások beosztása
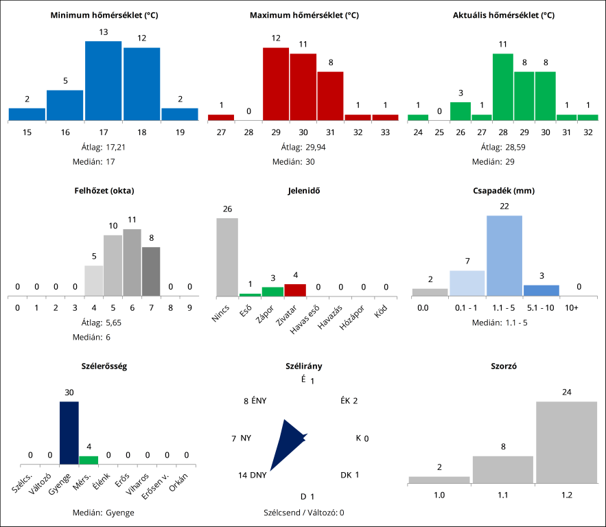
21,4°C-kal "fordultunk" éjfélkor. Szépen mutatnak a zivatar előrejelzések az összefoglaló diagrammon
Elkészült az összefoglaló.
Link
Ez a forduló, ahogy nézem, a csapadékon és az esetleges jelenidőn állhat vagy bukhat.
Ez a forduló, ahogy nézem, a csapadékon és az esetleges jelenidőn állhat vagy bukhat.

Nem dumálta le.
Úgy látom, hogy a hét második fele kissé nyugisabb lesz. Lazítsunk akkor egyet Diósgyőrött és nézzük meg, hogy vasárnap (08.28.) - ezen belül is kiemelten 14 órakor- milyen idő lesz arrafelé.
Gratulálok Hidegcsepp95-nek, no és a dobogó jól kinéző többi részének is.
Úgy látom, hogy a hét második fele kissé nyugisabb lesz. Lazítsunk akkor egyet Diósgyőrött és nézzük meg, hogy vasárnap (08.28.) - ezen belül is kiemelten 14 órakor- milyen idő lesz arrafelé.
Gratulálok Hidegcsepp95-nek, no és a dobogó jól kinéző többi részének is.
Sorry! Az előző forduló tippjét láttam mostaninak. Nagyon siettem. A 12 pont jön be és -4.8 pont. Fogom pár nap múlva korrigálni, most nem tudom.
szerk. velem lesz holtversenyben?
szerk. velem lesz holtversenyben?
Annyira nem panaszkodom, 18-ból 12, ja de 
Aki meg merte tartani a tippjét gratulálok, rám ez nem igaz
Aki meg merte tartani a tippjét gratulálok, rám ez nem igaz
Gratulálok! Bejött a stratégiád.
Hófúvás: ha jól látom Misimókus kihagyta a fordulót, de maradtak a kiesöi, s az átlagpontszámával nött az összpontszáma nálad.
Hófúvás: ha jól látom Misimókus kihagyta a fordulót, de maradtak a kiesöi, s az átlagpontszámával nött az összpontszáma nálad.
Köszönöm.
Nem gondoltam volna, hogy ilyen jól fog elsülni nekem ez a forduló.
Már majdnem a módosításon voltam, de aztán úgy voltam vele, hátha bejön, és akkor nagyot kaszálok a szorzóval, vagy ha nem, akkor meg megy a levesbe a kiesők közé.
Egy igen gyors kiesőst csináltam. Ha hiba van benne, csak a hétvége felé tudom javítani, sorry.
Hidegcsepp95 nyerte a fordulót, gratulálok! A további dobogó is jól néz ki
Forduló: Link
Összetett: Link
Télember a következő kiíró! Vajon ledumálja-e magával a következő forduló siófoki időpontját?
Választható helyszínek:
Budapest-Újpest [metnet-es észlelő]
Debrecen [12882]
Kecskemét [12970]
Miskolc-Diósgyőr [12772]
Siófok [metnet-es észlelő]
Szolnok [12860]
Meteorológiai állomások beosztása: Link
Forduló: Link
Összetett: Link
Télember a következő kiíró! Vajon ledumálja-e magával a következő forduló siófoki időpontját?
Választható helyszínek:
Budapest-Újpest [metnet-es észlelő]
Debrecen [12882]
Kecskemét [12970]
Miskolc-Diósgyőr [12772]
Siófok [metnet-es észlelő]
Szolnok [12860]
Meteorológiai állomások beosztása: Link
Sikerült egy 22 pontos 1,1-esböl egy 12 pontos 1,0-st csinálnom. Rendkívül jó üzlet volt
Igen, a 17 UTC-s synopban már ott a jelenidő, a leggyengébb eső kóddal. A 10+ mm összegyűjtése elkezdődött
Sok múlhat egy jó döntésen, hogy meg tudtad állni, hogy változtass.
Én meg a futások tendenciájára még lapot húztam.....
Próbálom legalább hajnalra intézni a 10+ mm-t, de nincs aki kiszállítsa........
Én meg a futások tendenciájára még lapot húztam.....
Próbálom legalább hajnalra intézni a 10+ mm-t, de nincs aki kiszállítsa........
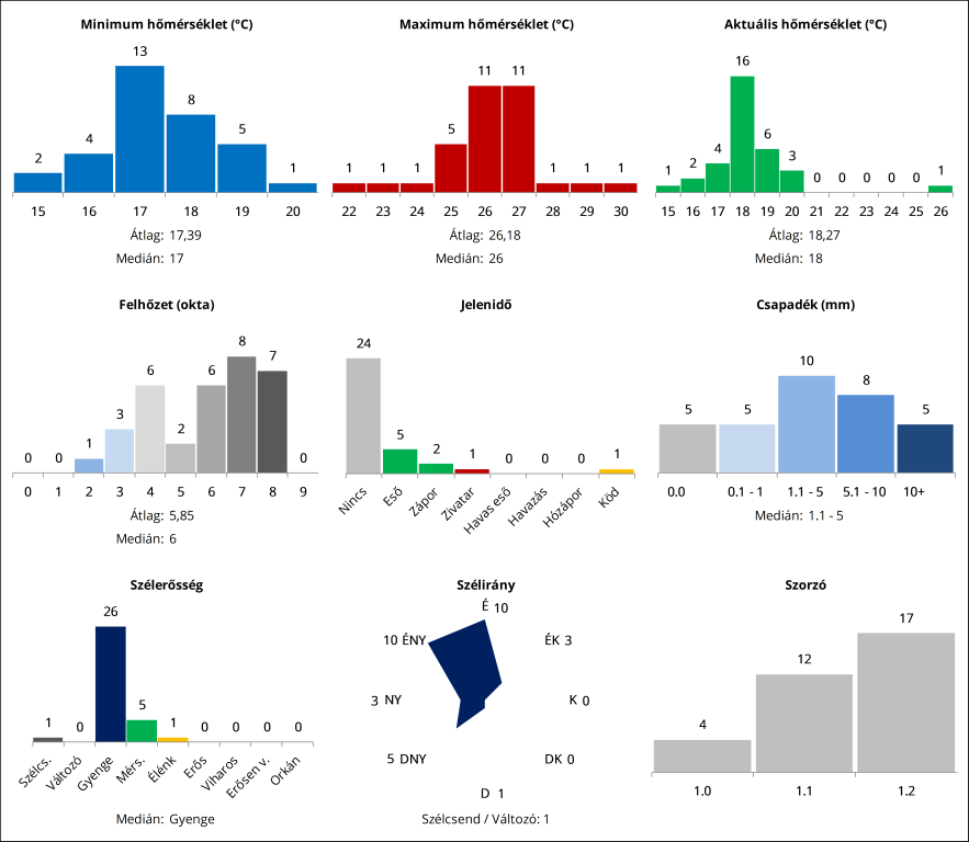
Kissé megkésve, de elkészült az összefoglaló.
Link
Hála az égnek, hogy nem módosítottam, pedig erősen gondolkoztam rajta a frissebb futások alapján, de aztán arra jutottam, nem kockáztatok ilyen bizonytalan helyzetben. A hőmérséklet is szépen kilőtt, 13 órakor (11Z) már 26,8 fok volt a meteomanz szerint. Csapadék pedig kérdéses, hogy lesz-e egyáltalán holnap reggelig bezárólag, és ha igen, akkor mennyi.
Hála az égnek, hogy nem módosítottam, pedig erősen gondolkoztam rajta a frissebb futások alapján, de aztán arra jutottam, nem kockáztatok ilyen bizonytalan helyzetben. A hőmérséklet is szépen kilőtt, 13 órakor (11Z) már 26,8 fok volt a meteomanz szerint. Csapadék pedig kérdéses, hogy lesz-e egyáltalán holnap reggelig bezárólag, és ha igen, akkor mennyi.

Bubu bá'!
Azért az a közeli meleg tenger még majdnem 150 km oda. Északias légmozgásnál meg nem sok hatása van a horvát fővárosra.
Én eddig elégedett vagyok a fordulóval, a minimumot leszámítva.
Csapadéknál a nagy bizonytalanság miatt az arany középutat választottam. (1,1-5 mm) Talán 0,0 mm nem lesz és remélem 10+ sem.
Azért az a közeli meleg tenger még majdnem 150 km oda. Északias légmozgásnál meg nem sok hatása van a horvát fővárosra.
Én eddig elégedett vagyok a fordulóval, a minimumot leszámítva.
Érdekes ez az idő-Járás. A meleg tenger közelsége, és a eléggé szűz hidegfront mégsem hozta meg a várt eredményt.
Talán várni kell az alsóbb napállásra, az őszi "nedveseb-ködös, 17-15 alatti T.minekre".
Csak eztán ne induljon el a megint szélsőséges európai-monszun. (napi 20-50 ml. elég lenne cirka 15 napig/ hó.)
Na ugye szépekrőél álmodok. Eccő talán bejön!
Talán várni kell az alsóbb napállásra, az őszi "nedveseb-ködös, 17-15 alatti T.minekre".
Csak eztán ne induljon el a megint szélsőséges európai-monszun. (napi 20-50 ml. elég lenne cirka 15 napig/ hó.)
Na ugye szépekrőél álmodok. Eccő talán bejön!
Én meg az 1.0-s módosításnál elrontottam a Tmin-t, a felhőzetet is.... A 27-ről 22-re módosított Tmax-omhoz pedig hamarosan esnie kellene, amire nincs esély, illetve a 0,1 - 1 mm-ről 10+ mm-re változtatott csap.mennyiséget már nem is említem. Katasztrofális 1.0-s módosítás kerekedhet ki ebből....
A kakas csípte volna meg a kutya után!
Imi behintette, hogy reptér, erre én elővettem a ködömet,meg ugye esők utáni nagyobb mint 90% légkör szuflát. De majdnem hajlottam volna a jocika szélcsendjére is, ilyen korán.
De nem baj a fölhő totál talált, a gyenge szél is, ( 4 pontos ritka irányt dny. adtam, nem sikerült.) És a a min.- aktuel celsius is mellette robbant.(2 pont)
Imi behintette, hogy reptér, erre én elővettem a ködömet,meg ugye esők utáni nagyobb mint 90% légkör szuflát. De majdnem hajlottam volna a jocika szélcsendjére is, ilyen korán.
De nem baj a fölhő totál talált, a gyenge szél is, ( 4 pontos ritka irányt dny. adtam, nem sikerült.) És a a min.- aktuel celsius is mellette robbant.(2 pont)
Igen, az volt a helyes, bocsi.
Másik zágrábi állomást néztem valsz.
17,6 lett az alja, a kutya mindenit
17,6 lett az alja, a kutya mindenit
20 km-es látás lett 04UTC-kor és gyenge (1 m/s) északi szél (340°). 6 oktával, jelenidő nélkül.
Én 20,6-ot látok a SYNOP-on 18UTC-re.
Most nincs jelentősége, de honnan van a te infód?
Csak mert külföldi állomásoknál úgy tudom, 100%-ban a SYNOP táviratra hagyatkozunk.

Most nincs jelentősége, de honnan van a te infód?
Csak mert külföldi állomásoknál úgy tudom, 100%-ban a SYNOP táviratra hagyatkozunk.
Érdekes fordulónak ígérkezik. A 30 fokos max-tól kezdve a nem mérhető csapadékon át a 10+ mm-ig van itt sok minden, még 04UTC-s szélcsend, illetve zivatar is
Sokat változtak a kilátások ahogy közeledtünk, s most is nagy még a bizonytalanság.
Köszönöm a gratulációkat!
Ez a forduló most tényleg nagyon összejött. A legjobb fordulóim mostanság mindig nyugaton vannak (legutóbb Szombathelyen is nyertem)
Irány Zágráb! Lássuk, tényleg olyan jók-e a horvát lányok?
Ez a forduló most tényleg nagyon összejött. A legjobb fordulóim mostanság mindig nyugaton vannak (legutóbb Szombathelyen is nyertem)
Irány Zágráb! Lássuk, tényleg olyan jók-e a horvát lányok?
Grat. Petinek, csak egy pont difi...
Akkor is Mungo jerry... di-di-dáá-dáá- svim.. Akkor voltam 2.középiskolás, és a Kunfehértói lányok....nyáridőőő..
Link

Akkor is Mungo jerry... di-di-dáá-dáá- svim.. Akkor voltam 2.középiskolás, és a Kunfehértói lányok....nyáridőőő..
Link
Jó volt a tippem az elutazásra 
Épp belefértem időben a kiesőssel, fenti linken található.
(az a csapadék!
)
Épp belefértem időben a kiesőssel, fenti linken található.
(az a csapadék!
Ráért volna, de Peti már tűkön ült, így végre nyilvános a győzelme, amihez gratulálok
Nincs baj gyerekek nyugi, csak nyaralásomat töltöttem a Dél-Dalmát partvidékén és most tartok hazafelé. Egyszerűen nem tudok betelni a táj szépségével, illetve a horvát lányok/nők sem gyengék azt azért ne felejtsük el. 
A fordulót Perico nyerte. Gratulálok a gyönyörű tippsorhoz.
Forduló: Link
Összetett: Link
A következő kiíró én leszek. Estig kiírom.
A fordulót Perico nyerte. Gratulálok a gyönyörű tippsorhoz.
Forduló: Link
Összetett: Link
A következő kiíró én leszek. Estig kiírom.
Valami probléma lehet a háttérben? Se Imi, se coontac egyébként nem tippelt, most látom, tán elutaztak... Remélhetőleg nincs gond! Én valsz. csak holnap du. v. este tudom szállítani a kiesőst.
Úgy tűnik, a pontozók is elpárologtak.
Mondanám, hogy lepontozom, de mióta nem egy az egyben synop távirat alapján pontozunk (a hazai állomásoknál), azóta nem teljesen világos hogy olyankor melyik adatot pontosan honnan vesszük (főleg a szél, vagy a Takt érdekes). Így inkább meghagyom ezt Imiéknek.
Mondanám, hogy lepontozom, de mióta nem egy az egyben synop távirat alapján pontozunk (a hazai állomásoknál), azóta nem teljesen világos hogy olyankor melyik adatot pontosan honnan vesszük (főleg a szél, vagy a Takt érdekes). Így inkább meghagyom ezt Imiéknek.
Van egy 19:57-es METÉSZ 23.6 fok, 7 okta. Ogimet szerint Tmax 27.3, szél 2 m/s és iránya 335-344 fok, és ott 23.2 fok szerepel.
Ha jól emlékszem, a közel 10 éves játék alatt egyszer sem sikerült helyszínt felcserélnem, most eljött ez is. Nézem a tízpercest, synopot, met-észt, minden boldog, összejött a telitalálatos Tmin, furán elég kevesünknek, összesen 4en adtunk 16 fokot. A kommented után csekkoltam (mondom, valamit nagyon benéztél
), valóban Nagykanizsa és nem Szombathely .
Legalább nem az ország másik felére tippeltem, így van esély néhány pontra.
Legalább nem az ország másik felére tippeltem, így van esély néhány pontra.
