Információk az előrejelzési versenyhez
Versenyinformációk
A VERSENYSZABÁLYZATÚj előrejelzés elküldése az előrejelzési versenybe
A legutóbbi forduló eredménye
A verseny összesített állása
A 3 kieső fordulót nem tartalmazó összesített lista
A synop-kódok értelmezéséhez egy kis segítség
Szélirány-meghatározáshoz segítség
Stelvio segítségével megjelenített összesített ranglista
Stelvio segítségével megjelenített örökranglista
Stelvio segítségével megjelenített dicsőséglista
A meteorológiai állomások elhelyezkedése
A meteorológiai állomások beosztása
Köszönjük, lehet is tippelni: Link
1.2-es szorzó péntek 20 óráig!
1.2-es szorzó péntek 20 óráig!
A tegnapi erősen fölhős égbolt után a hideg lehellet derült hajnalra behozta a 10 fok alatti fokot. A T max meg megint tele van autó gázzal, ami melegebb ugye.De azért jó forduló, kevés felhö mellett. 
Namajd hétközepe után
nagyon kell megint az eső!
Namajd hétközepe után
Összfelhőzet: 3 okta.
Jelenidő: Nincs.
T min: 8,6°C.
T akt: 23,9 °C.
Szélsebesség: 1,3 m/s (gyenge).
Irány: 264° (nyugati).
A Tmax. valószínűleg már beállt 24,5 °C-kal, de majd este megírom mennyi lett véglegesen.
Jelenidő: Nincs.
T min: 8,6°C.
T akt: 23,9 °C.
Szélsebesség: 1,3 m/s (gyenge).
Irány: 264° (nyugati).
A Tmax. valószínűleg már beállt 24,5 °C-kal, de majd este megírom mennyi lett véglegesen.
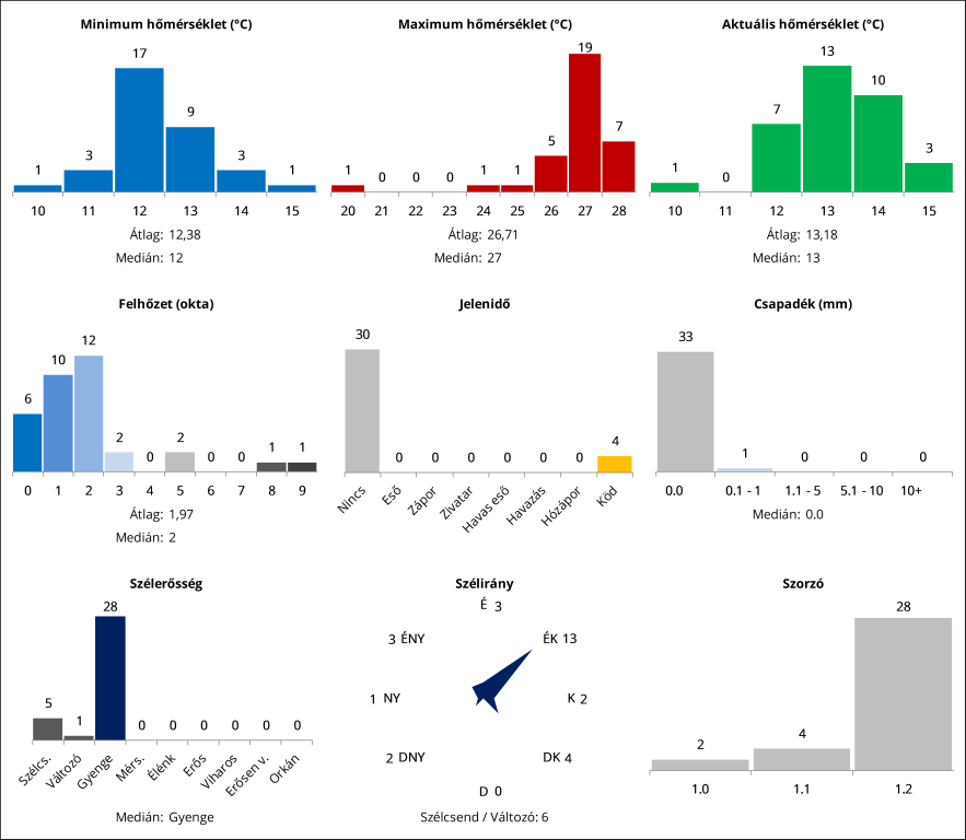
Elkészült az összefoglaló.
Link
Van egy 0 fokos, gondolom üresen felejtett Takt érték, az nem szerepel az adott diagramon és annak átlagában.
Van egy 0 fokos, gondolom üresen felejtett Takt érték, az nem szerepel az adott diagramon és annak átlagában.

Köszi, már jobb. Amúgy most hétvége a repülőnapoké Szegeden. Nagyon jó lenne egy hétvégi időjárás erőre- jelentés, most, pont Szegedre, nem Pestre. Ki vállalja be, (kirugásmentesen)?
Na eléggé labilis a hétvége itt, de esetleg a reptér melletti bekötőút - Met- állomás - talán még szabad.A reptéren ( napijegy 3900+autóparkir egy napra 1000 magyar forint.)
Péntek 15 órátől -vasárnap estefeléig.
De ott a prérin talán ingyenes. Persze ha jönnek a zivik, akkor törölve az egész, esetleg Met. állomás látogatása nappal- estefelé," Met állomások éjszakája"
Na eléggé labilis a hétvége itt, de esetleg a reptér melletti bekötőút - Met- állomás - talán még szabad.A reptéren ( napijegy 3900+autóparkir egy napra 1000 magyar forint.)
De ott a prérin talán ingyenes. Persze ha jönnek a zivik, akkor törölve az egész, esetleg Met. állomás látogatása nappal- estefelé," Met állomások éjszakája"
Ajjaj, igazságod vagyon! A táblázatom képlete elromlott, hogy hogyan, az rejtély. Javítva. Jövök neked egy sörrel, vagy fröccsel, ha Szögedön összefutunk eccer.
A fordulót lepontoztam, amit jocika8627, radarhead duó nyert. Gratulálok nekik! 
Forduló: Link
Összetett: Link
Vizipók a következő kiíró, így szeretnénk kérni egy helyszínt és egy időpontot.
Választható helyszínek:
Budapest-Újpest [metnet-es észlelő]
Debrecen [12882]
Siófok [metnet-es észlelő]
Szolnok [12860]
Meteorológiai állomások beosztása: Link
Forduló: Link
Összetett: Link
Vizipók a következő kiíró, így szeretnénk kérni egy helyszínt és egy időpontot.
Választható helyszínek:
Budapest-Újpest [metnet-es észlelő]
Debrecen [12882]
Siófok [metnet-es észlelő]
Szolnok [12860]
Meteorológiai állomások beosztása: Link
Óra 50-kor és egészkor is gyenge északi szél volt, de ha jól rémlik katonai reptérként az óra 45-ös adatokat vesszük alapul?
Az adatok jók, felkerült az ogimetre is.
A minimum-hőmérséklet 17,5°C lett.
A minimum-hőmérséklet 17,5°C lett.
Gondoltam, írok egy hőzöngő hsz.-t, de jobban belegondolva, igazi kuriózum, amikor az időjárás ilyen alaposan megszívatja a népet
Kegyetlen nagy cumó
Az ogimet szokás szerint szarakodik, de amit tudunk a meteomanz-ról, aztán ha beesik az ogimetre a távirat megnézzük jobban a dolgokat.
Összfelhőzet: 8 okta
Jelenidő: Nincs
T akt: 18,2°C
Szélcsend.
Összfelhőzet: 8 okta
Jelenidő: Nincs
T akt: 18,2°C
Szélcsend.
A Tmin-Takt párossal nem igen lesz senkinek sem gondja, úgy látom, 18 fok alatt nem volt eddig a 10 percesekben.
Elkészült az összefoglaló.
Link
23 (21Z) órakor 19,9 fok és borult égbolt volt az észlelés.
Már nincs is olyan sok idő arra, hogy lehűljön, és feloszoljon a felhőzet. 
23 (21Z) órakor 19,9 fok és borult égbolt volt az észlelés.

Nagy megelégedéssel leadtam fél 5ig, majd 1,1-est látok a visszajelzésben. Jaaa, mert ahol épp vagyok, ott 1 oraval kevesebb van, igy nem az itteni fél 5 a nyerő.
Heti szerencsétlenkedés pipa
Heti szerencsétlenkedés pipa
Leadva, tipikus kecskeméti helyszín, illat-tipp: fűszag. ( persze lesznek még; esőszag, hószag, főld szag, zápor szag, netán amperszag, tegyük be 8. tippnek.
) És a ködnek is van valami átható illata...
Holnap reggel ötig egykettes, aki nem akar korán kelni, azt most lépjen egy nyerő egykettes ügyében
Azért az egész magyarországi észlelést beírhatnád, nincs abban semmi bubus,tüzijáték ellenes lefejező helyszín..
Például Szeged szeptember hóban , mikor van észlelés? Csak mer repülőnap is lesz 9-10-11. és ócsó ingyé jegyet váltanák a met állomás kifutó pályáján.


Ja milyen idő is lesz péntek-vasárnap Szegeden?
Normál jegyes IC. vonatok jönnek mennek óránként.
Például Szeged szeptember hóban , mikor van észlelés? Csak mer repülőnap is lesz 9-10-11. és ócsó ingyé jegyet váltanák a met állomás kifutó pályáján.
Ja milyen idő is lesz péntek-vasárnap Szegeden?
Normál jegyes IC. vonatok jönnek mennek óránként.
Az időjárás az unalmas majd 3 hónapja. 
A talán a Nagy Alföld Két szikkadt városa meghozza a Mannát; Kecskemét és Szolnok beteríthetné a punnyadt jelenidőt.
A talán a Nagy Alföld Két szikkadt városa meghozza a Mannát; Kecskemét és Szolnok beteríthetné a punnyadt jelenidőt.
Pontoztam, a fordulót Hidegcsepp95 és Pestimet nyerte holtversenyben, gratulálok! Kezd kicsit unalmassá válni 
Forduló: Link
Összetett: Link
Goldman a következő kiíró!
Választható helyszínek:
Budapest-Újpest [metnet-es észlelő]
Debrecen [12882]
Kecskemét [12970]
Siófok [metnet-es észlelő]
Szolnok [12860]
Meteorológiai állomások beosztása hamarosan.
Forduló: Link
Összetett: Link
Goldman a következő kiíró!
Választható helyszínek:
Budapest-Újpest [metnet-es észlelő]
Debrecen [12882]
Kecskemét [12970]
Siófok [metnet-es észlelő]
Szolnok [12860]
Meteorológiai állomások beosztása hamarosan.