Információk az előrejelzési versenyhez
Versenyinformációk
A VERSENYSZABÁLYZATÚj előrejelzés elküldése az előrejelzési versenybe
A legutóbbi forduló eredménye
A verseny összesített állása
A 3 kieső fordulót nem tartalmazó összesített lista
A synop-kódok értelmezéséhez egy kis segítség
Szélirány-meghatározáshoz segítség
Stelvio segítségével megjelenített összesített ranglista
Stelvio segítségével megjelenített örökranglista
Stelvio segítségével megjelenített dicsőséglista
A meteorológiai állomások elhelyezkedése
A meteorológiai állomások beosztása
202302260600 AAXX 26061 12982 16/// /3307 10023 20010 39954 40057 52002 60042 333 20023 55000 70073
555 10091 55104=
Akkor eddig:
a csapi mostantól számít,
jelenidő: -
Tmin: +2,3C
Takt.: +2,3C
Szél: ÉNY 330 fok
mérsékelt: 7m/s
Felhőzet borult, de nem innen van...
555 10091 55104=
Akkor eddig:
a csapi mostantól számít,
jelenidő: -
Tmin: +2,3C
Takt.: +2,3C
Szél: ÉNY 330 fok
mérsékelt: 7m/s
Felhőzet borult, de nem innen van...
Köszi a tippstatisztikát! 
Én egy kicsit a maximumoktól tartok. Sajnos most a 2 fokos maxira elég kicsi az esély, ezt szerintem kicsit alábecsültem, ahhoz nagyon be kéne ragadnia a felhőzetnek napközben és tényleg hideget hozó északias szélnek kéne fújnia. Csapadékmennyiség tekintetében az 5+ mm-t váróknak jó hír lehet a vasárnap éjjel/hétfő hajnalban visszapörgő csapadék. Holnap reggel a szignifikáns jelenidő elég sanszos, a halmazállapot már érdekesebb, eső/ havas eső talán most esélyesebb, de ki tudja...
21 óra előtt 3,6 fok volt a hőmérséklet.
Én egy kicsit a maximumoktól tartok. Sajnos most a 2 fokos maxira elég kicsi az esély, ezt szerintem kicsit alábecsültem, ahhoz nagyon be kéne ragadnia a felhőzetnek napközben és tényleg hideget hozó északias szélnek kéne fújnia. Csapadékmennyiség tekintetében az 5+ mm-t váróknak jó hír lehet a vasárnap éjjel/hétfő hajnalban visszapörgő csapadék. Holnap reggel a szignifikáns jelenidő elég sanszos, a halmazállapot már érdekesebb, eső/ havas eső talán most esélyesebb, de ki tudja...
21 óra előtt 3,6 fok volt a hőmérséklet.
Elkészült az összefoglaló.
Link
Ahogy met4ever is írta előttem, ebben a fordulóban úgy néz ki, a jelenidő lesz a döntő faktor, illetve még a csapadékmennyiségnél van nagyobb eltérés.
Én havazásra tippeltem, a két nappal előtti modellfutások alapján nagyjából úgy számoltam, hogy pár száz méter magasan lehet a fagyhatár, és 0,5 és 1 fok között olvadozó hópelyhek hullanának. Azóta sajnos az újabb verziók enyhítettek a hőmérsékleten, a csapadékot meg szépen lecsökkentették, így nem a havas és nagy mennyiségű csapadékos előrejelzéseknek áll a zászló.
Gondolkoztam a módosításon, de a bizonytalanság miatt inkább bent tartottam az 1.2-est, legalább a szorzó kompenzáljon (ha lesz mit
).
Mindenesetre, izgalmas fordulónak nézünk elébe. 20 órakor (19Z) 3,8 fokot mértek az állomáson, a friss modellfutások ehhez képest nagyjából 5 fok körüli hőmérséklettel számoltak mostanra, így ki tudja, mi lesz reggelre.
A hétfő éjszaka is tartogathat meglepetéseket, ha csak néhány tíz kilométerrel nyugatabbra realizálódna az a sok csapadék, amivel jelenleg a modellek számolnak. 
Ahogy met4ever is írta előttem, ebben a fordulóban úgy néz ki, a jelenidő lesz a döntő faktor, illetve még a csapadékmennyiségnél van nagyobb eltérés.
Én havazásra tippeltem, a két nappal előtti modellfutások alapján nagyjából úgy számoltam, hogy pár száz méter magasan lehet a fagyhatár, és 0,5 és 1 fok között olvadozó hópelyhek hullanának. Azóta sajnos az újabb verziók enyhítettek a hőmérsékleten, a csapadékot meg szépen lecsökkentették, így nem a havas és nagy mennyiségű csapadékos előrejelzéseknek áll a zászló.
Mindenesetre, izgalmas fordulónak nézünk elébe. 20 órakor (19Z) 3,8 fokot mértek az állomáson, a friss modellfutások ehhez képest nagyjából 5 fok körüli hőmérséklettel számoltak mostanra, így ki tudja, mi lesz reggelre.

Ahogy lenni szokott estefelé megnyugszik a légkör, láttam Ény-É.felé felszakadozó felhőzetet, nem kizárt az éjjeli kisugárzás 0-2-3 fok felé.
Még mindig szinte szélcsend. ( a vadgalambok brútyoknak, keresik a párjukat. Február vége!)
Attól tartok, hogy lesz egy fagyzóna még márciusban... ne lenne igaz.
Viszont nyáron megfőlünk,-halunk ahogy ki gondolja.
Még mindig szinte szélcsend. ( a vadgalambok brútyoknak, keresik a párjukat. Február vége!)
Attól tartok, hogy lesz egy fagyzóna még márciusban... ne lenne igaz.
Viszont nyáron megfőlünk,-halunk ahogy ki gondolja.
Komolyan nem esik semmi, amikor masszív csapadékmezőt mutat a radar ?
Ma szombaton "delelő" 14.45 napállásnál Szeged: borult,homogén Ns.(nimbo stratus) felhőzet, alig szél,szinte semmi. délelőtt volt egy kis záporka, 6,8 fok ennyi.
Holtvágányra tévedt ez a front?

Vagy délebbi szélességi pályaszámot kapott?
Holtvágányra tévedt ez a front?
Vagy délebbi szélességi pályaszámot kapott?
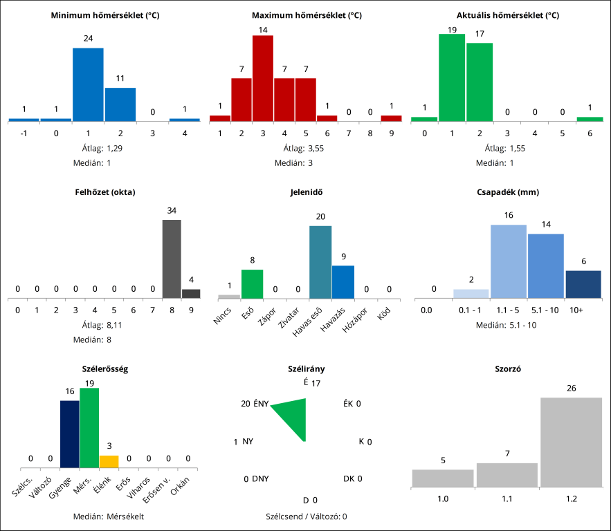
A jelenidös csapadékhalmazállapot döntheti el a fordulót a több hasonló elörejelzés között.
Ha jól számoltam:
nincs jelenidö: 1
esö: 8
havasesö: 20
hó: 9
Ha lesz csapadék jelenidö holnap 06UTC-kor, akkor az a kérdés, hogy milyen rétegzödés lesz a felszínközeli rétegekben.
850 hPa: -5°C körül, 925 hPa: -1°C körül valószínü. A 0 fokos szint magassága 500 m körül lehet. Tehát a kérdés az ez alatti réteg viszonyaira redukálódik. Inverzió nem várható, a levegö a hidegadvekció és a csapadékhütés együttes hatására hül majd. A 06 UTC elötti 6 óra folyamán a friss modellfutások többsége szerint 2-6 mm csapadék várható, ami már elegendö lehet ahhoz, hogy érdemben segítse a hidegakvekciót az alacsonyabb rétegek hütésében. Ilyenkor a 0°C-os szint alatt akár több 100 m vastag 0 fok közeli izoterm réteg alakul ki, amit a hópelyhek jelentösebb olvadás nélkül átvészelhetnek. Ha ez a réteg a felszínig vagy közel a felszinig leér, akkor a havazás magassága a felszínig süllyed, ellenkezö esetben havasesö/esö lesz jellemzö a felszinen az olvadás mértékétöl függöen.
Jelen esetben sem ez esöt/havasesöt/havat nem zárnám ki Szegedre 06UTC-re, nem sokon múlhat. Ami miatt a havasesö mellett döntöttem, az a valószinüleg még enyhén pozitiv felszinközeli harmatpont, ami neheziti a csapadékhütést, s így a tiszta havazást. A vártnál erösebb csapadék vagy/és erösebb hidegadvekcio vagy alacsonyabb harmatpont viszont simán a havazás felé billentheti a halmazállapotot, mint ahogy nagyon gyenge csapadék estén az esö felé billenhet a mérleg. Remélem legalább pár vizes hópehelynek sikerül lejutnia és ezt az észlelö észre is veszi...........
Ha jól számoltam:
nincs jelenidö: 1
esö: 8
havasesö: 20
hó: 9
Ha lesz csapadék jelenidö holnap 06UTC-kor, akkor az a kérdés, hogy milyen rétegzödés lesz a felszínközeli rétegekben.
850 hPa: -5°C körül, 925 hPa: -1°C körül valószínü. A 0 fokos szint magassága 500 m körül lehet. Tehát a kérdés az ez alatti réteg viszonyaira redukálódik. Inverzió nem várható, a levegö a hidegadvekció és a csapadékhütés együttes hatására hül majd. A 06 UTC elötti 6 óra folyamán a friss modellfutások többsége szerint 2-6 mm csapadék várható, ami már elegendö lehet ahhoz, hogy érdemben segítse a hidegakvekciót az alacsonyabb rétegek hütésében. Ilyenkor a 0°C-os szint alatt akár több 100 m vastag 0 fok közeli izoterm réteg alakul ki, amit a hópelyhek jelentösebb olvadás nélkül átvészelhetnek. Ha ez a réteg a felszínig vagy közel a felszinig leér, akkor a havazás magassága a felszínig süllyed, ellenkezö esetben havasesö/esö lesz jellemzö a felszinen az olvadás mértékétöl függöen.
Jelen esetben sem ez esöt/havasesöt/havat nem zárnám ki Szegedre 06UTC-re, nem sokon múlhat. Ami miatt a havasesö mellett döntöttem, az a valószinüleg még enyhén pozitiv felszinközeli harmatpont, ami neheziti a csapadékhütést, s így a tiszta havazást. A vártnál erösebb csapadék vagy/és erösebb hidegadvekcio vagy alacsonyabb harmatpont viszont simán a havazás felé billentheti a halmazállapotot, mint ahogy nagyon gyenge csapadék estén az esö felé billenhet a mérleg. Remélem legalább pár vizes hópehelynek sikerül lejutnia és ezt az észlelö észre is veszi...........
Hát elég egyöntetű a mezőny tippje, morcos kis hidegfront látványos betörését jelezzük előre sokan.
Az én tippem olyan, mint a szegedi IC. érkezése a Nyugati pályaudvarra, talán hullámot vet, és lelassul..a még maradó nyugati széllel nyomulok előre.
jocika8627 meg a bevállaló semmi jelenidővel nyerheti a fordulót.
Az én tippem olyan, mint a szegedi IC. érkezése a Nyugati pályaudvarra, talán hullámot vet, és lelassul..a még maradó nyugati széllel nyomulok előre.
jocika8627 meg a bevállaló semmi jelenidővel nyerheti a fordulót.
Köszönet mókuskának, kezdődik a felszerelt kieső rosta, és a borotvaélen lévő jelenidő-szél,-szecska vágó forgatása... ez most nem a napfény városi forduló lesz. 
Hajrá Szeged!
Hajrá Szeged!
Naez szép, éhgyomorra beolvasni az akt.helyzetet.
Szerintem nem nehéz...Ja majdnem,de március monnyon le! .. április van....
A T.maxot, csapit meg árgus szemekkel figyelik a szuper atomaták.
Szerintem nem nehéz...Ja majdnem,de március monnyon le! .. április van....
A T.maxot, csapit meg árgus szemekkel figyelik a szuper atomaták.
Gratulálok a győzteseknek, nem egy egyszerű időjárási helyzet volt a hétvégén. 
Hogy tovább fokozzuk az izgalmakat, az alábbi helyszínt és időpontot javaslom:
Szeged, 2023.02.26. (vasárnap) 07:00.
Hogy tovább fokozzuk az izgalmakat, az alábbi helyszínt és időpontot javaslom:
Szeged, 2023.02.26. (vasárnap) 07:00.
En is gratulálok az elégedetteknek
Nyom...orult 1 tized, vagyis a hiánya megfosztott az első helytől
Nyom...orult 1 tized, vagyis a hiánya megfosztott az első helytől
Gratulálok a győzteseknek.
Nyom....ós ok lett volna a katonai elhárítópajzsot figyelembe venni. Egyúttal lelepleződtek a környéken kihelyezett titkos egységek is. Végső "poén": az ogimeten még 1 nappal a tegnap 09 UTC-s időpont után is fél óránként cserélődik a kétféle tárgyalt synop. Nagyon jó lenne tudni, mi ennek az oka, a hivatalos források sem tudják? A katonai elhárítópajzzsal együtt ez 4,8 pontot vett el tőlem, nem vagyok tőle feldobva
Nyom....ós ok lett volna a katonai elhárítópajzsot figyelembe venni. Egyúttal lelepleződtek a környéken kihelyezett titkos egységek is. Végső "poén": az ogimeten még 1 nappal a tegnap 09 UTC-s időpont után is fél óránként cserélődik a kétféle tárgyalt synop. Nagyon jó lenne tudni, mi ennek az oka, a hivatalos források sem tudják? A katonai elhárítópajzzsal együtt ez 4,8 pontot vett el tőlem, nem vagyok tőle feldobva

Előállt egy lehetséges kiesős rangsor. Egészen érdekes dolgok történtek eme nyomorékos fordulóban!
A szolnoki fordulót sorban maco88, honza, Pestimet, MacBook és Kaszabubu nyerte. Gratulálok nekik!
Forduló: Link
Összetett: Link
Misimókus lesz a következő kiíró, gy szeretnénk kérni egy helyszínt és egy időpontot.
Választható helyszínek:
Békéscsaba [12992]
Budapest-Újpest [metnet-es észlelő]
Felcsút [metnet-es észlelő]
Kecskemét [12970]
Siófok [metnet-es észlelő]
Szeged [12982]
Meteorológiai állomások beosztása: Link
Forduló: Link
Összetett: Link
Misimókus lesz a következő kiíró, gy szeretnénk kérni egy helyszínt és egy időpontot.
Választható helyszínek:
Békéscsaba [12992]
Budapest-Újpest [metnet-es észlelő]
Felcsút [metnet-es észlelő]
Kecskemét [12970]
Siófok [metnet-es észlelő]
Szeged [12982]
Meteorológiai állomások beosztása: Link
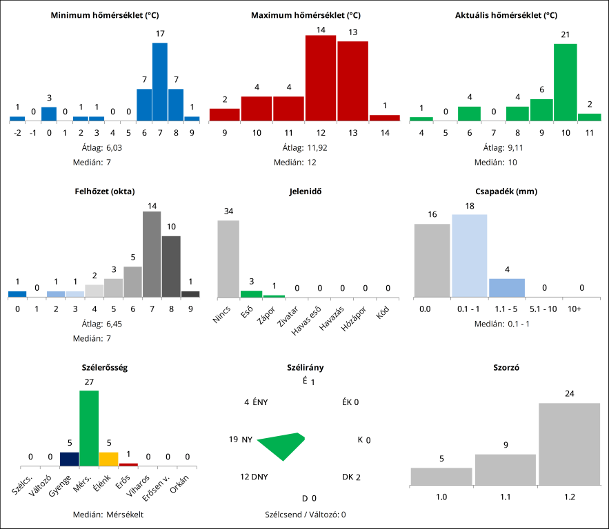
15,6 fok is volt már ? Ez igen ! Érdemes volt a maxot 5 fokkal emelnem,10-el kellett volna ? Ennyit arról miért éri meg eldobni az 1,2-es szorzót ! T aktra azért talán egy ember kaphat egy pontot ? Persze örül az emberfia, amikor 10 órakor 10 fokot lát a methu-n. Aztán jön, hogy a 9,1 kerekítve tíz. 20 év után sem tudom ezeket a rejtjelezett előrejelzési versenyeket értelmezni. Örülök a nyugati szélnek, aztán jön a magyarázat, hogy azt délnyugatinak kell értelmezni... a lehullott eső meg semmi...a szélerő meg csak káprázat, hogy mérsékelt ? Mi jöhet még ? Hogy mégis esett az eső 10-kor holott nem ?(ja azt már elsütötték) Dabronnyal a dobogós helyekért küzdtünk-csakhogy inkább hátulról ?
Megy a diskurálás, de nem tudom hova tenni ezeket az ugrálásokat. Mindenestre eddig ezek lesznek (belső infó alapján)
Összfelhőzet: 8 okta.
Jelenidő: Nincs
T akt: 9,1°C
T min: 7,1°C
Szélirány: 235°
Szélsebesség: 5,1 m/s
Összfelhőzet: 8 okta.
Jelenidő: Nincs
T akt: 9,1°C
T min: 7,1°C
Szélirány: 235°
Szélsebesség: 5,1 m/s
Nálam most pedig a 9,2 fokos, 240es szelet mutatja megint.
12:20-kor volt egy kerekített 13 fok.
12:20-kor volt egy kerekített 13 fok.
Azt hiszem, az OMSZ-os 10 perceseken a reptér adatai szerepelnek, de nem vagyok benne 100%-ban biztos.
A synopban biztosan azok, de ez már megint váltott, 09UTC-re visszaállt a nyugati szeles, 10 fokos verzió. Nekem épp ez lenne telitalálat
Mintha valami automatikusan futó program átírná időnként, egymástól pár perccel eltérő adatokból dolgozva. A 12 fokos Tmax mindenesetre már megvan.
A synopban biztosan azok, de ez már megint váltott, 09UTC-re visszaállt a nyugati szeles, 10 fokos verzió. Nekem épp ez lenne telitalálat

Én az utóbbinak a hőmérsékletét, az előbbinek pedig a szélirányát kérném. (:
Jó lenne megtudni, hogy mi okozza ezeket az eltéréseket. Mely adatok mennek ki szinte rögtön az észlelés pillanatában (pl. 8:40, 9:00 UTC ogimeten), ezeket milyen adatok és miért írják felül? És ez miért módosul akár 2-3x is rövid időn belül?
Az OMSZos 10 perces térképeken (szél, hőmérséklet, csapadék) egyébként a reptér adatai szerepelnek?
Néhány gyengébb radarjel mellett az automata még nem mért csapadékot.
Jó lenne megtudni, hogy mi okozza ezeket az eltéréseket. Mely adatok mennek ki szinte rögtön az észlelés pillanatában (pl. 8:40, 9:00 UTC ogimeten), ezeket milyen adatok és miért írják felül? És ez miért módosul akár 2-3x is rövid időn belül?
Az OMSZos 10 perces térképeken (szél, hőmérséklet, csapadék) egyébként a reptér adatai szerepelnek?
Néhány gyengébb radarjel mellett az automata még nem mért csapadékot.
Lehet, hogy van aki ezt tudja követni...nem én. Persze időmilliomosok át tudják nézni az összes adatbázist meg szabályzatot, de az nem én leszek. Csak az a szomorú, hogy ezen a 9 vagy 10 fokon múlik, hogy dabrony vagy Bakonyvár nyer...
Ez egy katonai reptér, ne feledjük.
A pontos adat megtalálása nincs az órrunkra kötve. ( gondoljuk csak el, egy rakéta koordinátái pár tized fokkal arréb, és kész a baj.)
A pontos adat megtalálása nincs az órrunkra kötve. ( gondoljuk csak el, egy rakéta koordinátái pár tized fokkal arréb, és kész a baj.)
Na akkor 09UTC-re van 2 synopunk, az ogimeten az elsőt megint felülirta a második verzio, ugyanúgy 09UTC-s jelzéssel.
A kettő közötti különbség:
9,2°C (9) => 9,6°C (10)
240° (DNY) => 250° (NY)
Ez 2 pont eltérés, ember legyen a talpán, aki eldönti, hogy melyik számít.
Segíthetne mondjuk egy METÉSZ-es észlelés, de 2 nappal ezelőtti ott a legutóbbi észlelés a szolnoki katonai állomásról.
A kettő közötti különbség:
9,2°C (9) => 9,6°C (10)
240° (DNY) => 250° (NY)
Ez 2 pont eltérés, ember legyen a talpán, aki eldönti, hogy melyik számít.
Segíthetne mondjuk egy METÉSZ-es észlelés, de 2 nappal ezelőtti ott a legutóbbi észlelés a szolnoki katonai állomásról.
Megy a borotva penge élező csitt-csatt. (szegény apám használta a 70-es években) ...
Nem tom miért kell pár tizeden, ( kolbász kerekítésen és jelenidőn vacillázni annyi oszt annyi.)
Már csak a déli szalonna sütés melege, és a tüzet lefolytó Ka-26 kopter permete, esőkéje hiányzik.
Nem tom miért kell pár tizeden, ( kolbász kerekítésen és jelenidőn vacillázni annyi oszt annyi.)
Már csak a déli szalonna sütés melege, és a tüzet lefolytó Ka-26 kopter permete, esőkéje hiányzik.
Ugyanúgy ogimet.
(Úgy látom a hozzászólásba közvetlenül feltöltött screenshot elég gyatra minőségű, de talán a lényeg látszik.)
A szelet elírtam, a korábbi adatasoroknál a 240 fok még délnyugati, egyébként ez szerepel a metar táviratban is, 240 fokról 12 csomós szél.
(Úgy látom a hozzászólásba közvetlenül feltöltött screenshot elég gyatra minőségű, de talán a lényeg látszik.)
A szelet elírtam, a korábbi adatasoroknál a 240 fok még délnyugati, egyébként ez szerepel a metar táviratban is, 240 fokról 12 csomós szél.

Azok honnan valók?
Későn néztem, most az ogimeten:
AAXX 1909112860 25967 /2505 10096 20056 30059 40170 57002 333 60005 90710 91108 91007
Még egy ujabb verzio, 9:00 UTC-re. Nem mindegy, mert itt kerekitett 10°C szerepel.
250°/5m/s Felhőzet itt ki van /-ezve már.
Igen, a METAR-ban a "BECMG -RA" előrejelzést jelent.
Későn néztem, most az ogimeten:
AAXX 1909112860 25967 /2505 10096 20056 30059 40170 57002 333 60005 90710 91108 91007
Még egy ujabb verzio, 9:00 UTC-re. Nem mindegy, mert itt kerekitett 10°C szerepel.
250°/5m/s Felhőzet itt ki van /-ezve már.
Igen, a METAR-ban a "BECMG -RA" előrejelzést jelent.
Most is van egy 8:40 és egy 9:00 UTC-s adatsorunk.
08:40 UTC: 9,1 fok, mérsékelt nyugati (240/5), nincs jelenidő, 8 okta
09:00 UTC: 9,2 fok, mérsékelt nyugati (240/6), nincs jelenidő, 8 okta
A 9:45-ös (LT) METARban pedig gyenge eső (-RA) is szerepel. Hmm
08:40 UTC: 9,1 fok, mérsékelt nyugati (240/5), nincs jelenidő, 8 okta
09:00 UTC: 9,2 fok, mérsékelt nyugati (240/6), nincs jelenidő, 8 okta
A 9:45-ös (LT) METARban pedig gyenge eső (-RA) is szerepel. Hmm
Idáig, 8 utc. : 8 okta, befordul a szél nyugatira, csak ne álljon el, a T is jó fele halad.
Link
Link
Közben az ogimet-en felüliródott a 06UTC-s synop. 7.0°C-ból 6.9C lett és eltűnt a Tmin illetve a felhőzet észlelés. Automatának tűnik, ami felülirja a nem automata észlelést egy kicsit későbbi időpontban.

