Információk az előrejelzési versenyhez
Versenyinformációk
A VERSENYSZABÁLYZATÚj előrejelzés elküldése az előrejelzési versenybe
A legutóbbi forduló eredménye
A verseny összesített állása
A 3 kieső fordulót nem tartalmazó összesített lista
A synop-kódok értelmezéséhez egy kis segítség
Szélirány-meghatározáshoz segítség
Stelvio segítségével megjelenített összesített ranglista
Stelvio segítségével megjelenített örökranglista
Stelvio segítségével megjelenített dicsőséglista
A meteorológiai állomások elhelyezkedése
A meteorológiai állomások beosztása
5 és 6 óra között a szlovén és horvát radar szerint is volt egy zápor a város felett. Tudja valaki, hogy hol található az állomás? Az állomás nevéből következtetve a Maksimir parkra tippelnék (radar alapján itt volt a legintenzívebb része), de még az elmúlt időben sincs a synopban utalás arra, hogy esett volna ebből bármi is.
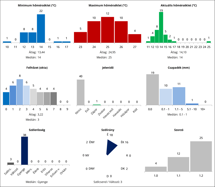
Elkészült az összefoglaló.
Link
Elég egységesek a tippek, de vannak azért nagyobb különbségek is, főleg a felhőzetnél és a csapadéknál.
Elég egységesek a tippek, de vannak azért nagyobb különbségek is, főleg a felhőzetnél és a csapadéknál.

Én meg módosítottam az 1,2-est, remélem jó irányba. Nagyon kiszámíthatatlan a T. meg a szél, és a csapi. Kész lottó.
Majdnem jól elfelejtettem, de azért még elment 1-es szorzóval 
Az elmúlt fordulóm csodás lett, annál csak jobb lehet ez
Az elmúlt fordulóm csodás lett, annál csak jobb lehet ez
A csapadék is csütörtöki:
Tmin: 05.31. 18 UTC - 06.01. 06 UTC
Tmax: 06.01. 06 UTC - 06.01. 18 UTC
Csapadék: 06.01. 06 UTC - 06.02. 06 UTC
Tmin: 05.31. 18 UTC - 06.01. 06 UTC
Tmax: 06.01. 06 UTC - 06.01. 18 UTC
Csapadék: 06.01. 06 UTC - 06.02. 06 UTC
Akkor a szerda 6.01 - csütörtök 6.00-ig számító csapadékot vesszük figyelembe?
Min a csütörtök 6.00-ig beálló hőmérsékleti érték a minimum?
Max a csütörtök 18.00-ig beálló maximum (persze UTC).
Min a csütörtök 6.00-ig beálló hőmérsékleti érték a minimum?
Max a csütörtök 18.00-ig beálló maximum (persze UTC).
Pontoztam, több nagyon jó tipp is született, végül Blizzard húzta be az első helyet egy 1.1-es tippel, gratula!
Forduló: Link
Összetett: Link
A következő kiíró Hidegcsepp95 lesz, így szeretnénk kérni egy helyszínt és egy időpontot.
Választható helyszínek:
Bécs (Wien-Hohe Warte) [11035]
Békéscsaba [12992]
Budapest-Újpest [metnet-es észlelő]
Csíkszereda (Miercurea Ciuc) [15170]
Debrecen [12882]
Felcsút [metnet-es észlelő]
Kecskemét [12970]
Lomnici-csúcs (Lomnicky Stít) [11930]
Miskolc-Diósgyőr [12772]
Paks [12950]
Pécs-Egyetem [38528]
Siófok [metnet-es észlelő]
Sopron-Kurucdomb [13704]
Szeged [12982]
Szolnok [12860]
Szombathely [12812]
Zágráb-Maksimir [14240]
Meteorológiai állomások beosztása a fejlécben.
Forduló: Link
Összetett: Link
A következő kiíró Hidegcsepp95 lesz, így szeretnénk kérni egy helyszínt és egy időpontot.
Választható helyszínek:
Bécs (Wien-Hohe Warte) [11035]
Békéscsaba [12992]
Budapest-Újpest [metnet-es észlelő]
Csíkszereda (Miercurea Ciuc) [15170]
Debrecen [12882]
Felcsút [metnet-es észlelő]
Kecskemét [12970]
Lomnici-csúcs (Lomnicky Stít) [11930]
Miskolc-Diósgyőr [12772]
Paks [12950]
Pécs-Egyetem [38528]
Siófok [metnet-es észlelő]
Sopron-Kurucdomb [13704]
Szeged [12982]
Szolnok [12860]
Szombathely [12812]
Zágráb-Maksimir [14240]
Meteorológiai állomások beosztása a fejlécben.
Ó, fogd meg a söröm: Tmin és Tmax egyaránt 1 tizeden megy el...!
(szél is éppen mellé).
Azért nem kicsit vagyok agyilag fáradt. A 7 órára azt hittem 19 óra
Ez most kimarad, de többet nem hagyok ki, remélem
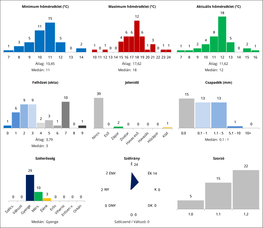
Elkészült az összefoglaló.
Link
Ahogy nézem, ebben a fordulóban inkább apróságokon fognak múlni pontok.
A Tmax-nál 15 és 19 fok között van sok tipp, a felhőzetnél több 1 és 3 okta közötti, meg egy másik nagy tömb van 7 oktás tippekkel, a csapadéknál pedig kérdés, betalál-e valami zápor, és ha igen, akkor egyáltalán hullik-e több nyomnál, vagy akár 1 mm-nél is több.
És akkor ott van még a szél is. 
Ahogy nézem, ebben a fordulóban inkább apróságokon fognak múlni pontok.

Úgy látszik egyértelmű mi lesz holnap a Kékesen. Legalábbis a szél (északias)meg a jelenidő(csak 3).
A többi kicsit szór már : 0-9 okta közt,a T-k 7-14 fok, 10-23 fok,7-16 fok közt. Még jó, hogy az előrejelzéseket nem kollektíve demokratikusan készítik. Így is szidják az előrejelzőket gyakorta.
A többi kicsit szór már : 0-9 okta közt,a T-k 7-14 fok, 10-23 fok,7-16 fok közt. Még jó, hogy az előrejelzéseket nem kollektíve demokratikusan készítik. Így is szidják az előrejelzőket gyakorta.
Szépen lekéstem ezt is, az este már nem volt lelkierőm semmit leadni (max. a lopott holmit
), most meg elfelejtettem, na de úgyis egyegyes tipp fog nyerni
"2 pohár whisky, vagy épp 2 térdfájás között, meg úgy egyébként is tolhattok egy tippet, vagy reggel megint tehetek lavórt a gép alá."
Nem vagy, hanem és
.
Megtörtént, nem kell lavór.
Nem vagy, hanem és
Megtörtént, nem kell lavór.
2 pohár whisky, vagy épp 2 térdfájás között, meg úgy egyébként is tolhattok egy tippet, vagy reggel megint tehetek lavórt a gép alá
Jóccakát
Jóccakát
Azért kardomba nem dőltem, de egy fordulógyőzelem kinek nem jön jól
Szerencsére mégegyszer ránéztem a kiírásra, elsőre az 1,2-es határidejére adtam le az előrét 
Játszunk.
Nem?
Minek bosszankodni...
Ez csak egy kikapcsolódás nekem az élet napi szarságai mellett, örülök, ha időben le tudom adni az 1.2-est.
Nem?
Minek bosszankodni...
Ez csak egy kikapcsolódás nekem az élet napi szarságai mellett, örülök, ha időben le tudom adni az 1.2-est.
No, képzeld, mit érzek, a kis szaros paca miatt, ami ha nem téved arra, akkor simán nyerem a fordulót.
Nekem is volt v.mikor 3 első pontos helyezésem, emléxek már beítrák hogy le kell lőni Bubut, majd persze tényleg elcsesztem azt a fordulót. 
Különben a nyarat kedvelem, de a pontokat a nézve jobbak a tippjeim télen.
Hajrá szegedi block!
Különben a nyarat kedvelem, de a pontokat a nézve jobbak a tippjeim télen.
Hajrá szegedi block!
Deco05-nak ös a dobogósoknak gratulálok.
Elinte még örültem, hogy lemaradtam a módosításról, de aztán a paca minden vitt
Van honnan feljönni
Elinte még örültem, hogy lemaradtam a módosításról, de aztán a paca minden vitt
Van honnan feljönni
Beintult az előre megmondtam verseny cukor-cefréje. 
Igy is jó, sok hozzászólás a verseny értékelőjében, szinte semmi előtte.
Lesznek még vitatott helyszínek, elírások, elfelejtett tippek, és észlelések +1 +2-2 óra .
Jó ez így.
Úgy látom 52 löveg ágyu áll készenlétben, hát tessék jobban célozni. Még a kieső listából is maradt 1 lövés bárkinek.
Igy is jó, sok hozzászólás a verseny értékelőjében, szinte semmi előtte.
Lesznek még vitatott helyszínek, elírások, elfelejtett tippek, és észlelések +1 +2-2 óra .
Jó ez így.
Úgy látom 52 löveg ágyu áll készenlétben, hát tessék jobban célozni. Még a kieső listából is maradt 1 lövés bárkinek.
Nekem sikerült javítanom, az első fordulós 11 pont után most már félelmetes 12 pontom lett... A fejlődés megkérdőjelezhetetlen...
Ezért mondom, hogy ha csak kicsit is kétes az eredmény, akkor ismételjük meg a fordulót.
Amúgy is ez egy "novemberi" forduló volt és nem nyári.
Amúgy is ez egy "novemberi" forduló volt és nem nyári.