Információk az előrejelzési versenyhez
Versenyinformációk
A VERSENYSZABÁLYZATÚj előrejelzés elküldése az előrejelzési versenybe
A legutóbbi forduló eredménye
A verseny összesített állása
A 3 kieső fordulót nem tartalmazó összesített lista
A synop-kódok értelmezéséhez egy kis segítség
Szélirány-meghatározáshoz segítség
Stelvio segítségével megjelenített összesített ranglista
Stelvio segítségével megjelenített örökranglista
Stelvio segítségével megjelenített dicsőséglista
A meteorológiai állomások elhelyezkedése
A meteorológiai állomások beosztása
Várjunk csak.
Pécs Egyetem állomás hol van. Ez akkor nem Pogány, és dombtető és sík vidék, hanem talán Pécs Boszorkány utca?
Pécs Egyetem állomás hol van. Ez akkor nem Pogány, és dombtető és sík vidék, hanem talán Pécs Boszorkány utca?
Sorry, a sor végét nézem mindig az összetettben és elnéztem. Javítva.
Bocsi, hogy "belevau", de én biztos nem javítottam 2 helyet, mivel sikerült ügyesen kihagynom ( 

) a fordulót, emiatt nekem egy 10,8-as korábbi kieső pontszám kerül be a számításba.
Akkor irány Pécs-Egyetem! Az időpont pedig legyen 2023.09.10. (vasárnap) 07:00.
Ha már ilyen nyugodt időjárás vár ránk a héten, akkor legalább a reggeli hőmérsékletek hozzanak valami izgalmat.
Ha már ilyen nyugodt időjárás vár ránk a héten, akkor legalább a reggeli hőmérsékletek hozzanak valami izgalmat.
Maradt a nyomnyi csapadék (sajnos), így a fordulót met4ever nyerte előttem és mzs előtt, gratulálok!
Forduló: Link
Összetett: Link
Misimókus lesz a következő kiíró, így szeretnénk kérni egy helyszínt és egy időpontot.
Választható helyszínek:
Kecskemét [12970]
Pécs-Egyetem [38528]
Siófok [metnet-es észlelő]
Szeged [12982]
Állomások beosztása a fejlécben.
Forduló: Link
Összetett: Link
Misimókus lesz a következő kiíró, így szeretnénk kérni egy helyszínt és egy időpontot.
Választható helyszínek:
Kecskemét [12970]
Pécs-Egyetem [38528]
Siófok [metnet-es észlelő]
Szeged [12982]
Állomások beosztása a fejlécben.
Összfelhőzet: 7 okta
Jelenidő: Nincs (14).
T akt: 23,1°C
T min: 16,2°C
Szélirány: 325° (északnyugati)
Erőssége: 1,7 m/s (gyenge)
Jelenidő: Nincs (14).
T akt: 23,1°C
T min: 16,2°C
Szélirány: 325° (északnyugati)
Erőssége: 1,7 m/s (gyenge)
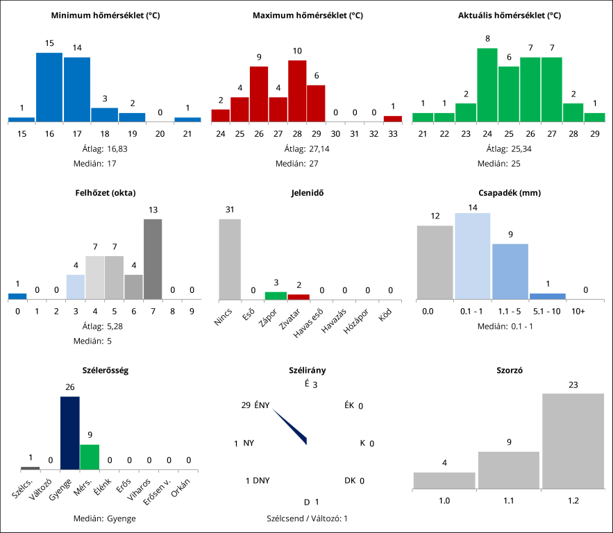
Elkészült az összefoglaló.
Link
Van egy 0 fokos Takt érték, az nem szerepel a diagramon, és az átlagba/mediánba sincsen beleszámítva.
Érdekes forduló lesz, én még a módosításon is gondolkoztam, de aztán inkább bent hagytam az 1.2-est. Ahogy nézem, sokan mások is inkább így döntöttek.
Van egy 0 fokos Takt érték, az nem szerepel a diagramon, és az átlagba/mediánba sincsen beleszámítva.
Érdekes forduló lesz, én még a módosításon is gondolkoztam, de aztán inkább bent hagytam az 1.2-est. Ahogy nézem, sokan mások is inkább így döntöttek.

Kornél bátyó, tök egyszerű forduló lesz ez is, simán megnyered, mint a múltkor
Gratula a győztes négyesnek, különösen Kornél bátyónak, csak egy ponttal maradtunk el elég sokan, hát majd legközelebb
Szeptemberi beosztást még nem látok a telón, de amennyiben az észlelőnek jó, legyen 3.-a vasárnap 12HLT Újpest
Pontoztam. Négyes holtversenyben Pestimet, herbary, matyi06 és jómagam végeztünk az élen. Köszi a szülinapi ajándékot 
Forduló: Link
Összetett: Link
Blizzard lesz a következő kiíró, így szeretnénk kérni egy helyszínt és egy időpontot.
Választható helyszínek:
Budapest-Újpest [metnet-es észlelő]
Kecskemét [12970]
Pécs-Egyetem [38528]
Siófok [metnet-es észlelő]
Szeged [12982]
Állomások beosztása a fejlécben.
Forduló: Link
Összetett: Link
Blizzard lesz a következő kiíró, így szeretnénk kérni egy helyszínt és egy időpontot.
Választható helyszínek:
Budapest-Újpest [metnet-es észlelő]
Kecskemét [12970]
Pécs-Egyetem [38528]
Siófok [metnet-es észlelő]
Szeged [12982]
Állomások beosztása a fejlécben.
Kár érte, mert azt hittem a totális medián tippek fullosak lesznek 
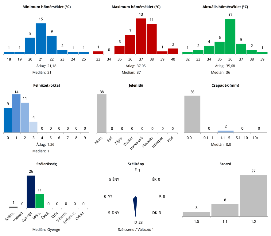
36 foknál tartunk. A 37 simának látszik, elég is lesz.
36 foknál tartunk. A 37 simának látszik, elég is lesz.
Elkészült az összefoglaló.
Link
Túl sok izgalom most se néz ki, megint az apróságokkal lehet néhány plusz pontot begyűjteni, leginkább a hőmérsékletnél.
Túl sok izgalom most se néz ki, megint az apróságokkal lehet néhány plusz pontot begyűjteni, leginkább a hőmérsékletnél.

Na, máris van egy "baklövésem". Úgy látom, sikerült északi szelet nyomnom a tippleadásnál déli helyett... 
Jól indul... Ezért kell (kéne...) mindig megnézni a visszaigazoló üzenetet, ugye... !!!
Nem kicsit lóg ki a széltippem, még csak közelében sincs más szélirány, az összes tipp - a szélcsenden kívül - délies irányú...
Nem kicsit lóg ki a széltippem, még csak közelében sincs más szélirány, az összes tipp - a szélcsenden kívül - délies irányú...
Hát az tény és való, hogy mellettem semmi nem megy el. Legyen az virga vagy akármi.
Figyelmes észlelő előnyben 
Gratula a nyerteseknek. Szélcsend meg sem fordult a fejemben.
Gratula a nyerteseknek. Szélcsend meg sem fordult a fejemben.
Északra lenn a horizonton volt illetve még most is van lenn egy kevés Ac.
A szélcsend az rendben van, az 1 oktát nem értem
A jakuzzi fölött alakult ki?

