Információk az előrejelzési versenyhez
Versenyinformációk
A VERSENYSZABÁLYZATÚj előrejelzés elküldése az előrejelzési versenybe
A legutóbbi forduló eredménye
A verseny összesített állása
A 3 kieső fordulót nem tartalmazó összesített lista
A synop-kódok értelmezéséhez egy kis segítség
Szélirány-meghatározáshoz segítség
Stelvio segítségével megjelenített összesített ranglista
Stelvio segítségével megjelenített örökranglista
Stelvio segítségével megjelenített dicsőséglista
A meteorológiai állomások elhelyezkedése
A meteorológiai állomások beosztása
Gratulálok minden 22,8 pontos versenyzőnek (akár megkapta érte a pontot, akár nem)! 
A magas minimum miatt még morogtam magamban (hú, micsoda alliteráció lett
) egy keveset, de a többi paraméter azért elég jó lett.
A magas minimum miatt még morogtam magamban (hú, micsoda alliteráció lett
Basszus, ezért akkor tényleg kár. 
A visszaigazolásos üzeneteket én mindig meg szoktam tartani, nem csak átnézni, bár ilyen velem még nem fordult elő (csak olyan, hogy egyszer még valamelyik 1-2 évvel ezelőtti körben felcseréltem a Tmaxot és Taktot a kapkodás miatt).
Köszönöm! Gratulálok Hidegcsepp95-nek és honzának a nyeréshez, de az egész mezőnyt dícséret illeti a magas pontszámokért.
A kiesős lista frissítve.
A kiesős lista frissítve.
Nem tudom srácok az ogimeten miért írja felül az első kiadott SYNOP-ot, de az első a lényeg, ami 150° vagyis délkeleti. A fordulót Hidegcsepp95, hófúvás és hoznza trió nyerte. Gratulálok nekik!
Forduló: Link
Összetett: Link
A következő kiíró Tullner_Job lesz, így szeretnénk kérni egy helyszínt és egy időpontot.
Választható helyszínek:
Siófok [metnet-es észlelő]
Szeged [12982]
Állomások beosztása: Link
Forduló: Link
Összetett: Link
A következő kiíró Tullner_Job lesz, így szeretnénk kérni egy helyszínt és egy időpontot.
Választható helyszínek:
Siófok [metnet-es észlelő]
Szeged [12982]
Állomások beosztása: Link
Hogy mivel játszunk, az jo kérdés.
Leginkább a Metész-es észleléssel, mert ott jelenik meg a jelenidő észlelés, ami a synopba sajnos nem mindig kerül már be. A szelet meg a synopból szoktuk venni, ami szerintem 50-es alapesetben. Van, amikor azonban felülíródik a 00-ással, mint most is.
Ráadásul most Metész-es észlelés sem volt.
Leginkább a Metész-es észleléssel, mert ott jelenik meg a jelenidő észlelés, ami a synopba sajnos nem mindig kerül már be. A szelet meg a synopból szoktuk venni, ami szerintem 50-es alapesetben. Van, amikor azonban felülíródik a 00-ással, mint most is.
Ráadásul most Metész-es észlelés sem volt.
Kapizsgálom
Akkor az egész-órás adattal játszunk. Én újabban azt gondoltam, hogy a jó régi 40-es adatok helyett az 50-es számít mostanság. Mindegy, csak konzekvens legyen.
Matematikailag igen. Az kavar be, hogy a szélirányt 10°-ra kerekítve szokás megadni, így szerepel a synopbnan is, s ez alapján soroljuk be az irányt is (lásd verseny szabályzat: 150° még délkeleti, 160° már déli.)
A 16:50-es hőmérsékletet tartalmazó synopban 150°, míg a 17:00-s hőmérsékletet tartalmazó frissítésban 160° szerepel 10°-os kerekítésként, miközben a 10 perces adatoknál mindkettőnél 155° fok jelent meg. Valószínűleg a 155° is csak egy kerekítés, s 16:50-kor 155° alatt, 17:00-kor pedig 155° felett lehetett az érték, ami magyarázná az eltérő 10°-os kerekítést...
A 16:50-es hőmérsékletet tartalmazó synopban 150°, míg a 17:00-s hőmérsékletet tartalmazó frissítésban 160° szerepel 10°-os kerekítésként, miközben a 10 perces adatoknál mindkettőnél 155° fok jelent meg. Valószínűleg a 155° is csak egy kerekítés, s 16:50-kor 155° alatt, 17:00-kor pedig 155° felett lehetett az érték, ami magyarázná az eltérő 10°-os kerekítést...
Az 50-es adat játszik? A 155 fok matematikailag DK-i, nem? (157.5 fok a határ matematikailag).
Igen, a szél meg a 16:40-esnek tűnik az első synopban. Szép kis kavarodás...
Akkor a hőmérséklet 27,6°C volt, arról nem láttam synopot
Azóta meg már egyértelműen délkeleti lett a szél
Akkor a hőmérséklet 27,6°C volt, arról nem láttam synopot
Azóta meg már egyértelműen délkeleti lett a szél
Link alapján a 27,3°C 16:50-es, a 27,1°C pedig 17:00-s adat....
12970 25984 /1603 10271 20155 30051 40184 57010 333 60005 90710 91107 91007==
Kicsivel később ráfrissítve (ogimeten), a felhőzet eltűnt, a szél gyenge déli (160/3), a hőmérséklet pedig 27,1 fok.
szerk.: érdekes, a szél pedig ezek szerint az óra 40-es érték? Mert mind az 50-es, mind az egészes mérés 155 fokot mutat.
Kicsivel később ráfrissítve (ogimeten), a felhőzet eltűnt, a szél gyenge déli (160/3), a hőmérséklet pedig 27,1 fok.
szerk.: érdekes, a szél pedig ezek szerint az óra 40-es érték? Mert mind az 50-es, mind az egészes mérés 155 fokot mutat.
12970 42780 51503 10273 20157 30053 40184 57011 84162 333 84850 555 10049 /7540=
5 okta
gyenge DK (3 m/s, 150°)
27,3°C
nincs szignif.
5 okta
gyenge DK (3 m/s, 150°)
27,3°C
nincs szignif.
Úgy néz ki a felhők miatt nem jön össze, és ez talán a 28 fokos Takt-nak is betehet.
10 percesekben 28,2 fok volt a teteje.
10 percesekben 28,2 fok volt a teteje.
14:40 27,6°C, ezzel a 28 is behúzva.
A következő 2 órában nekimehetne még a 28,6°C-nak, csak egyetlen fokocska kellene hozzá.... Nem olyan nehéz, vannak állomások, melyeknek már sikerült, sőt 1-2-nek már a kerekített 30 is....
A következő 2 órában nekimehetne még a 28,6°C-nak, csak egyetlen fokocska kellene hozzá.... Nem olyan nehéz, vannak állomások, melyeknek már sikerült, sőt 1-2-nek már a kerekített 30 is....
Viszont neked könnyű dolgod van, ha beszélned kell egy orvossal erről.
Jajj, ez annyira tipikus nálam ebben az idényben... Természetesen 13 fokot tippeltem, de így ez sz.rt sem ért.
Mondjuk én már elengedtem ezt a nyári bajnokságot és már a téli körre edzek...
Törlöm rendszeresen (illetve rendszertelenül).
Arra emlékszem, hogy olvastam. Ezek szerint mégse és öregkori demenciába oltott konfabulálásban szenvedek.
Eddig még nem tapasztaltam, de úgy fest össze kell haverkodnom vele.
Mindegy, ennyit nem ér meg a sztorim.
Jó izgalmakat a fordulóra mindenkinek!
Arra emlékszem, hogy olvastam. Ezek szerint mégse és öregkori demenciába oltott konfabulálásban szenvedek.
Mindegy, ennyit nem ér meg a sztorim.
Jó izgalmakat a fordulóra mindenkinek!
Ha kaptál visszaigazolást és nem törölted ki, akkor tudod bizonyítani, hogy hiba történt.
Az én levelezésem így néz ki:
Az én levelezésem így néz ki:

No, látom, nem adtam le erre a fordulóra se tippet.
Pedig emlékeim szerint igen, de ezek szerint mégse ment el..... Pedig még a visszaigazoló mailra is emlékszem és vissza is néztem. Vagy eltűnt a tippem a bitek világában vagy teljesen meghibbantam.
Ez van, amikor kapkodásba mennek át a dolgaim.
(Ha jól emlékszem ez lett volna: 16, 28, 27, 3 okta, gyenge dk, nincs, nincs.
Azért írom le csak, hogy újból dührohamot kaphassak.
)
Pedig emlékeim szerint igen, de ezek szerint mégse ment el..... Pedig még a visszaigazoló mailra is emlékszem és vissza is néztem. Vagy eltűnt a tippem a bitek világában vagy teljesen meghibbantam.
Ez van, amikor kapkodásba mennek át a dolgaim.
(Ha jól emlékszem ez lett volna: 16, 28, 27, 3 okta, gyenge dk, nincs, nincs.
Azért írom le csak, hogy újból dührohamot kaphassak.
16°C lehet a Tmin. A 10 percesek közt 16,5°C a legalacsonyabb.
Az 5:20-as helyzet szerint a 2 legközelebbi állomás a 13 fokot is hozta. Ügyes
Az 5:20-as helyzet szerint a 2 legközelebbi állomás a 13 fokot is hozta. Ügyes

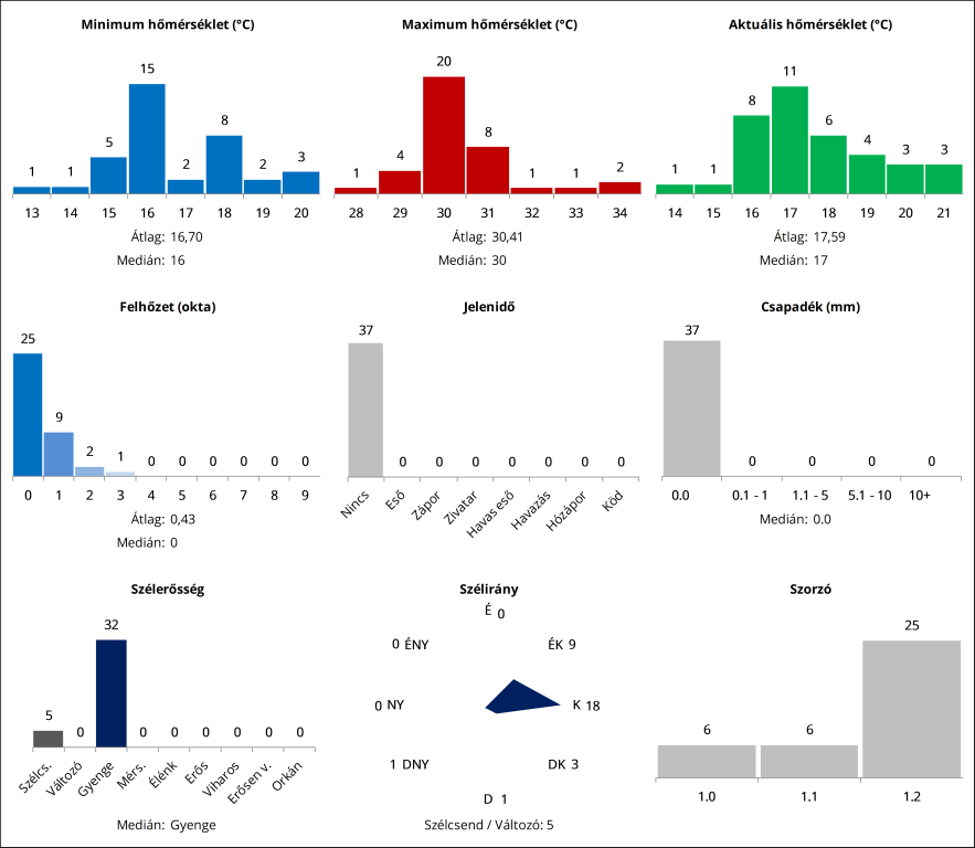
Elkészült az összefoglaló.
Link
Úgy néz ki, ebben a fordulóban is majd az apróságokkal lehet itt-ott plusz pontokat szerezni.
Úgy néz ki, ebben a fordulóban is majd az apróságokkal lehet itt-ott plusz pontokat szerezni.

Te majd elvileg azon fogsz nagyot szakítani, amit majd én utoljára kiírok 
Ha majd a kezem a bilibe ér.
De valóban, eddig szerencsés voltam.
Ha pedig az utolsó forduló döntene, akkor -bár nem vagyok csalós (igaz, hogy mindenki ezt állítja magáról
)- ha akarnék se tudnék csalingázni, mert eddig rendszeresen közös észleléseket tartottunk.
De valóban, eddig szerencsés voltam.
Ha pedig az utolsó forduló döntene, akkor -bár nem vagyok csalós (igaz, hogy mindenki ezt állítja magáról
Valójában még simán meg is nyerheted a nyári kört 
Az önkoronázásról akkor viszont élö közvetítést kérnénk
Az önkoronázásról akkor viszont élö közvetítést kérnénk
Konstans sz@rul játszom, de engem is meglepett a visszaesésem (pedig már nem nagyon volt hova)
Egyszer minden a helyére kerül

Sztem a rendszer a 17. forduló után úgy érzékeli, hogy 4 fordulót kihagytál - és ezzel nem vagy egyedül- (ahogy nézem a 2. + a hátralévő 3), ezért sorolt hátra.
Ha böcsületesen tippelgetsz visszatérsz a jól megérdemelt helyre
.
Mi, akik előtted vagyunk, eddig minden fordulóban tippeltünk több-kevesebb (én ide sorolom magam) sikerrel.
Szóval no para papa
Sztem a rendszer a 17. forduló után úgy érzékeli, hogy 4 fordulót kihagytál - és ezzel nem vagy egyedül- (ahogy nézem a 2. + a hátralévő 3), ezért sorolt hátra.
Ha böcsületesen tippelgetsz visszatérsz a jól megérdemelt helyre
Mi, akik előtted vagyunk, eddig minden fordulóban tippeltünk több-kevesebb (én ide sorolom magam) sikerrel.
Szóval no para papa
Tisztelettel szeretném megkérdezni, hogy én kizárásra kerültem a versenyből? 
Vagy legalábbis, miként kerültem hirtelen a 28. helyre?
Vagy legalábbis, miként kerültem hirtelen a 28. helyre?
Ha lehet, menjünk Kecskemétre szeptember 17-én, vasárnap 17 órakor (15 UTC).
Hmm... a Metnet-en késleltetve megjelenített adatsor 23,8°C-ot és 11,2 fokos Td-t mutat 20:00-ra. De lényeg, hogy kicsit enyhébb és kicsit nedvesebb a levegő, mint tegnap ilyenkor, elvileg a T850 is picit magasabb mint tegnap így jó esély van egy 17 vagy 18 fokos Tmin-re a tegnapi nap alapján.
20:00 -kor: 23,7°C (Td: 11,5°C)
Tegnap ilyenkor 23,3°C és 9,3°C-os Td volt, akkor 16,2 lett az alja. Remélem reggelig megáll 17,5-nél (vagy picit feljebb)
Tegnap ilyenkor 23,3°C és 9,3°C-os Td volt, akkor 16,2 lett az alja. Remélem reggelig megáll 17,5-nél (vagy picit feljebb)
