Információk az előrejelzési versenyhez
Versenyinformációk
A VERSENYSZABÁLYZATÚj előrejelzés elküldése az előrejelzési versenybe
A legutóbbi forduló eredménye
A verseny összesített állása
A 3 kieső fordulót nem tartalmazó összesített lista
A synop-kódok értelmezéséhez egy kis segítség
Szélirány-meghatározáshoz segítség
Stelvio segítségével megjelenített összesített ranglista
Stelvio segítségével megjelenített örökranglista
Stelvio segítségével megjelenített dicsőséglista
A meteorológiai állomások elhelyezkedése
A meteorológiai állomások beosztása
Nálam 6 okta jelenleg és nincs jelenidő. Várjuk a MET-ÉSZ észlelést.
Megelőzve a problémákat: 15:50 és 16:10 közötti első észlelés számít a verseny szempontjából.
Megelőzve a problémákat: 15:50 és 16:10 közötti első észlelés számít a verseny szempontjából.
Ez egy akkora jelenidő lesz mint a huzat, egyenest Csabának megy 

Nem lennék szomorú, de szerintem meglesz a jelenidő
Közben kisütött a nap.
Közben kisütött a nap.
Egy tekintélyes tömb érkezik a Tisza-tó felől, a jelenidősök kezdhetik a bizakodást
Ft.: Békéscsaba
Ft.: Békéscsaba
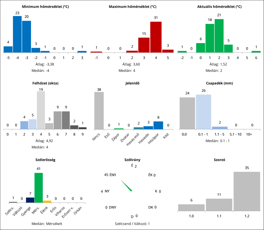
Elkészült az összefoglaló.
Ahogy nézem, ebben a fordulóban a jelenidő, illetve a csapadékmennyiség lehet a döntő. Gondolkoztam én is a módosításon, de aztán úgy voltam vele, hogy bent hagyom az 1.2-es tippemet, bízva abban, hogy nem lesz se jelenidő, se nyomnál több csapadék. 

Én még 1,1-gyel változtattam meg sok vacillálás után az 1,2-es 0 mm-t 0,1 - 1 mm-re, bááár a nyugalmazott Pista (?) bácsi esete eléggé nyomasztott, de végül meggyőztem magam, mivel T-ket is kicsit megigazítottam, ill. az elrontott szélirányt is... Aztán most 1,0-s határidő előtt elfelejtettem, hogy még vacillálni akartam a jelenidőről is
Sokáig vacilláltam, végül az utolsó pillanatban lecseréltem a csapadékmentes verziót egy hózáporosra, hát nagyon kíváncsi leszek.
Sokat nem változtak ugyan a kilátások, de egy két dolgon azért változtattam
Az említett belvárosi adat is hiteles, lévén, hogy OMSZ-os társadalmi csapadékmérő állomásról van szó, és a helyi (hivatásos) észlelő méri le, tehát nem Kis Pista..
Nekem akkor se a kicentizéssel volt a bajom hanem az, hogy van pl az OMSZ által hiteles mérés, és mégse azt vesszük alapul, hanem Kis Pistának a Nyom utca 6 szám alól...
De többet nem szeretnék róla beszélni, felfogta mindenki.
De többet nem szeretnék róla beszélni, felfogta mindenki.
Mert jó nekik az automata "észlelés", nem akarnak fizetni az emberért (mármint a repterek)...
Köszi az infót! 
Amúgy mi ez a rossz "divat", hogy a repterekről így kiszervezik a kézi csapadékmérést?
Különösen Debrecennél volt fura ez, ahol a repülőtér nemzetközi utasforgalmat is lebonyolít... Itt, Békéscsabán most ráadásul 24 órás észlelés lesz a beosztás szerint, tehát az észlelő nyugodtan lemérhetné a csapit a reptéren másnap reggel...
Amúgy mi ez a rossz "divat", hogy a repterekről így kiszervezik a kézi csapadékmérést?
Mondjuk ha egy szük udvarban méri valaki a belvárosban, akkor necces esetekben nem mindegy.
Amúgy nyugdíjas méri ott?
A kézi csapadékmérés figyelembevételével az automaták mérési hibáit akarnánk kiküszöbölni, aztán lehet nagyobb hibát csinálunk azzal, hogy máshol mért csapadékot veszünk figyelembe. Tudom, ha a reptéren nincs kézi mérés, akkor nincs jó megoldás.
Nem a kicentizés itt a legnagyobb probléma a csapadék(mennyiség) gyakori bizonytalanságánál, hanem ahogy Perico is írta, legföképp az, hogy sokan követjük a méréseket, aztán hirtelen kerül elö egy másik adat. Ha elöre tisztázva van, mint most, akkor kisebb a meglepetés és az esetleges csalódás.
Szerk: ismer valaki automata csapadékmérö összevetést kézi méréssel? Elöfordul, hogy az automata felülbecsül a kézi méréshez képest? Ugy emlékszem, inkább alulbecsülni szokott, így ha azt a szerencsétlen 0,1 mm-t már megmérte, akkor........
Amúgy nyugdíjas méri ott?
A kézi csapadékmérés figyelembevételével az automaták mérési hibáit akarnánk kiküszöbölni, aztán lehet nagyobb hibát csinálunk azzal, hogy máshol mért csapadékot veszünk figyelembe. Tudom, ha a reptéren nincs kézi mérés, akkor nincs jó megoldás.
Nem a kicentizés itt a legnagyobb probléma a csapadék(mennyiség) gyakori bizonytalanságánál, hanem ahogy Perico is írta, legföképp az, hogy sokan követjük a méréseket, aztán hirtelen kerül elö egy másik adat. Ha elöre tisztázva van, mint most, akkor kisebb a meglepetés és az esetleges csalódás.
Szerk: ismer valaki automata csapadékmérö összevetést kézi méréssel? Elöfordul, hogy az automata felülbecsül a kézi méréshez képest? Ugy emlékszem, inkább alulbecsülni szokott, így ha azt a szerencsétlen 0,1 mm-t már megmérte, akkor........
Ja és szolgálati közlemény: Békéscsabán sem a repülőtéren történik a kézi csapadék-mérés, hanem a belvárosban! Szól azoknak akik esetleges csapadék esetén kicentizik a dolgokat.
Békéscsabát választom, az időpont: 2023. november 26. (vasárnap), 16 óra (15 UTC).
Sok szerencsét mindenkinek!
Sok szerencsét mindenkinek!
Egy dolog miatt nem frusztrál a dolog, hogy az előttem levők is ugyanazt adták mint én, így nem ezen múlt az első helyem
Gratulálok az elsőknek!
A 2. forduló győztese Télember és Phileas , gratulálok!
Forduló: Link
Összetett: Link
A következő kiíró Pestimet, így szeretnénk kérni egy helyszínt és egy időpontot.
Választható helyszínek:
Bécs (Wien-Hohe Warte) [11035]
Békéscsaba [12992]
Budapest-Újpest [metnet-es észlelő]
Csíkszereda (Miercurea Ciuc) [15170]
Eger [12870]
Felcsút [metnet-es észlelő]
Kecskemét [12970]
Kékestető [12851]
Lomnici-csúcs (Lomnicky Stít) [11930]
Miskolc-Diósgyőr [12772]
Paks [12950]
Pécs-Egyetem [38528]
Siófok [metnet-es észlelő]
Sopron-Kurucdomb [13704]
Szeged [12982]
Szolnok [12860]
Szombathely [12812]
Zágráb-Maksimir [14240]
Meteorológiai állomások beosztása: Link
Forduló: Link
Összetett: Link
A következő kiíró Pestimet, így szeretnénk kérni egy helyszínt és egy időpontot.
Választható helyszínek:
Bécs (Wien-Hohe Warte) [11035]
Békéscsaba [12992]
Budapest-Újpest [metnet-es észlelő]
Csíkszereda (Miercurea Ciuc) [15170]
Eger [12870]
Felcsút [metnet-es észlelő]
Kecskemét [12970]
Kékestető [12851]
Lomnici-csúcs (Lomnicky Stít) [11930]
Miskolc-Diósgyőr [12772]
Paks [12950]
Pécs-Egyetem [38528]
Siófok [metnet-es észlelő]
Sopron-Kurucdomb [13704]
Szeged [12982]
Szolnok [12860]
Szombathely [12812]
Zágráb-Maksimir [14240]
Meteorológiai állomások beosztása: Link
Nem tudunk mit csinálni, a hiba az OMSZ készülékében van... katasztrófa a hazai és a nemzetközi met. adatszolgáltatás/mérési metodika is.
Link
Itt amúgy fel lett hívva mindenki figyelme a változásra, legfeljebb abban hibáztunk, hogy a szabályzatba nem írtuk bele, ezt pótolni fogjuk. A tipp leadásakor ugyanakkor egyenlő feltételek voltak, senki nem adott volna mást, ha felhívjuk a figyelmet, hogy a csapadékot 2 km-rel arrébb méruk.
Úgyhogy hamarosan pontozok, hivatalosan nyomnyi csapadék hullott, ez van. Volt már ilyen a történelemben, hogy órákig volt jelenidő és nem lett mérhető mennyiség, lesz is még.
Link
Itt amúgy fel lett hívva mindenki figyelme a változásra, legfeljebb abban hibáztunk, hogy a szabályzatba nem írtuk bele, ezt pótolni fogjuk. A tipp leadásakor ugyanakkor egyenlő feltételek voltak, senki nem adott volna mást, ha felhívjuk a figyelmet, hogy a csapadékot 2 km-rel arrébb méruk.
Úgyhogy hamarosan pontozok, hivatalosan nyomnyi csapadék hullott, ez van. Volt már ilyen a történelemben, hogy órákig volt jelenidő és nem lett mérhető mennyiség, lesz is még.
Akkor most ez mit jelent? Az automata mérése számít, mert akkor volt csapadék. Vagy egy észlelőé valahol teljesen máshol? Mert akkor még nem volt. Utóbbi esetben baromi mérges leszek (és lehet hogy tovább értetlenkedek majd), de mivel évek után tértem vissza, én pl feladni nem fogom?
Javaslom nagyon világosan tisztázzuk, és írjuk ezt le a szabályzatban, hogy még kérdésként se merüljön majd fel.
Javaslom nagyon világosan tisztázzuk, és írjuk ezt le a szabályzatban, hogy még kérdésként se merüljön majd fel.
Magam ellen beszélek most én is, de ha a kiírás a 12882-es állomásra szól (amelyek felszereltségét előre pontosan lehet ismerni, hogy pl automata van), akkor az bizony nem egész Debrecenre vonatkozik, hanem az állomásra. Aztán ezek már csak bosszantó dolgok maradhatnak, de ezért befejezni a versenyt…
De most akkor ez kinek hivatalos? A versenyben résztvevők részére, vagy az OMSZ szerint? Mert az OMSZ szerint hivatalosan meglett a 0,1 mm.
Na, igen, erről én is tudnék mesélni, aki anno észlelői tanfolyamot végeztem az OMSZ-nál. És akkor még jobb volt a helyzet...
Mind a hivatásos észlelők számát, mind pedig az észlelési módszereket (nem volt pl. még távészlelés) illetően.
Imi: Legközelebb, ha lesz megint ilyen "trükkös" helyszín, majd hívjátok fel rá a figyelmünket, kérlek. Valószínűleg én ugyanígy 0,1-1 mm csapadékot adtam volna, de azért mikor már beleéli magát az ember egy adatba, ami totál valósnak tűnik, és utána "kijózanítják"...
Köszi!
Imi: Legközelebb, ha lesz megint ilyen "trükkös" helyszín, majd hívjátok fel rá a figyelmünket, kérlek. Valószínűleg én ugyanígy 0,1-1 mm csapadékot adtam volna, de azért mikor már beleéli magát az ember egy adatba, ami totál valósnak tűnik, és utána "kijózanítják"...
Köszi!
Annyira, amennyire szakmai az, amit az OMSZ a hazai észlelőhálózattal művelt: semennyire.
Akkor most a reptérre lett kiírva a forduló, vagy nem?
Mennyire szakmai egy előrejelzési versenyben minden adatot a reptérről venni, és a csapadékot jó pár km-ről odébbról?
És ezt most nem azért írtam mert 0,1-1mm-t adtam...
Mennyire szakmai egy előrejelzési versenyben minden adatot a reptérről venni, és a csapadékot jó pár km-ről odébbról?
És ezt most nem azért írtam mert 0,1-1mm-t adtam...
OMSZ én így szeretlek. 
Egyébként gondolom a saját lakóhelyén méri a csapadékot (ami a térkép alapján közel van a reptérhez), viszont ugye az automata is mért 0,1 mm csapadékot. Jelen helyzetben (meg egyébként mindig) azért némileg igazságtalan egy, a város másik végén, több km-rel arrébb mért adatot elfogadni (de gondolom mivel az a hivatalos, úgyis az lesz)...
Egyébként gondolom a saját lakóhelyén méri a csapadékot (ami a térkép alapján közel van a reptérhez), viszont ugye az automata is mért 0,1 mm csapadékot. Jelen helyzetben (meg egyébként mindig) azért némileg igazságtalan egy, a város másik végén, több km-rel arrébb mért adatot elfogadni (de gondolom mivel az a hivatalos, úgyis az lesz)...
És a 4030-as állomás, ahol a nyugalmazott Hadházy Lajos 0,2 mm-t mért kézzel, az melyik? Csak nem a reptér, ahonnan kiszervezték az észlelést, de mégis van kézi csapadékmérés + Pitom is onnan észlel azóta?
Akkor most a 12882 kód alatt mi van?
Az éves naptár a helyinek kódját adja. Ha van eltérés, zárójelben irjuk ki. Még a meghirdetett versenyben is, hogy pont hol mit észlelnek. Pld: Siófok utcai eszlelő, de a szél met.allomásról megy.
Az éves naptár a helyinek kódját adja. Ha van eltérés, zárójelben irjuk ki. Még a meghirdetett versenyben is, hogy pont hol mit észlelnek. Pld: Siófok utcai eszlelő, de a szél met.allomásról megy.
Lukács Dániel a hivatásos OMSZ észlelő. Hadházi Lajos nyugdíjazását követően ő vette át az észlelői feladatokat. Mivel az észlelő szolgálat kvázi ki lett téve a repülőtérről, így nem a repülőterén történik a csapadékmérés. Mielőtt még jön valaki, hogy erről itt nem volt szó, de bizony volt szó valamikor egy kérdéses eset során. Úgyhogy:

0.2 mm a kézi mérés valószínűleg.
6 db órás eső észlelésből jött össze ennyi!
Máshol ködszitálásból több jön le!
6 db órás eső észlelésből jött össze ennyi!
Máshol ködszitálásból több jön le!
METÉSZ-en 0,2 mm csapadékot adtak, máshol 0,1 mm-t is látok, de a verseny szempontjából a lényeg: 0,1-1 mm 

Hiába... Hosszú volt ez a kihagyás, vissza kell rázódnom 
Köszi!
Köszi!
Igen, az ott az előző 24 ora Tmax-a és nekünk a 06 - 18UTC közötti kell, azaz a nappali. Ált. nappal áll be a 24 órás Tmax, de most nem
Ó, szuper, én a met.hu Tmax térképről néztem, de akkor az hiba volt részemről.
