Információk az előrejelzési versenyhez
Versenyinformációk
A VERSENYSZABÁLYZATÚj előrejelzés elküldése az előrejelzési versenybe
A legutóbbi forduló eredménye
A verseny összesített állása
A 3 kieső fordulót nem tartalmazó összesített lista
A synop-kódok értelmezéséhez egy kis segítség
Szélirány-meghatározáshoz segítség
Stelvio segítségével megjelenített összesített ranglista
Stelvio segítségével megjelenített örökranglista
Stelvio segítségével megjelenített dicsőséglista
A meteorológiai állomások elhelyezkedése
A meteorológiai állomások beosztása
Öszfelhőzet: 2 okta
Jelenidő: Nincs
T min: -3,1°C
T akt: -2,8°C
Szélirány: 180° (déli)
Erőssége: 2 m/s (gyenge)
Jelenidő: Nincs
T min: -3,1°C
T akt: -2,8°C
Szélirány: 180° (déli)
Erőssége: 2 m/s (gyenge)
Viszont szerintem 2 oktánál több fátyol van az égen (legalább 4), de mindegy.
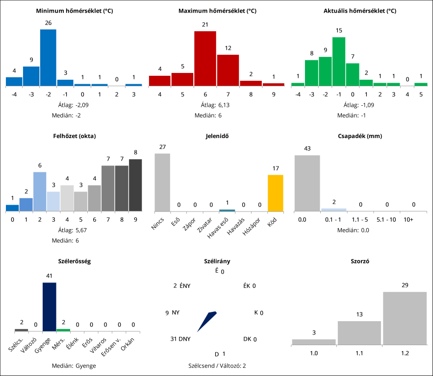
Elkészült az összefoglaló.
A felhőzetnél van minden is, illetve kérdés, hogy lesz-e köd reggelre, vagy sem.
Éjfélkor a MET-ÉSZ szerint 0 okta volt, >10km látástávolsággal, de persze reggelig még akármi történhet. A T eddig -2 fokig csökkent, kérdés, hogy fog-e menni lejjebb, illetve hogy reggelig merre fog még változni. 

Remélem a köd is összejön reggelre. Meg még a délelőtt nagy részére be is ragad. Azért ezzel a 4 fokos Tmax-ommal kicsit kilógok lefelé az átlagból, de számoltam némi beragadással is.
Imi vágta.
Ha csak egy időpont lehetséges, minek is adjak meg pontos órát.
Ha csak egy időpont lehetséges, minek is adjak meg pontos órát.
mzs: 3.6 ->11-> 12-> 14.4->18.7->?
Mi jön a kérdőjel helyére?
A helyes megfejtők között ajándékok lesznek kisorsolva.
Mi jön a kérdőjel helyére?
A helyes megfejtők között ajándékok lesznek kisorsolva.
Igen ez egy régi ismert bug, igértem már rég óta a javitást rá a srácoknak, csak még nem sikerült megoldani.
Azt hiszem van egy kis bibi az összesítésnél. Mindenkinél ugyanannyi a kieső pontok száma kint az össz gyűjtött pontok száma!

Hu huu! Ez meg lepett.Bejött a szécsend.
Ez amúgy szokott lenni a kontibnentális anomáliák dec. közepére eső felállására. Ködös szélcsend..
De pont Miskolcra, na ezt kifogtam.
Ez amúgy szokott lenni a kontibnentális anomáliák dec. közepére eső felállására. Ködös szélcsend..
De pont Miskolcra, na ezt kifogtam.
Gratulálok én is a nyerteseknek. Most a szorzó hiányzott, így jár, aki lekési a határidöt
Gratulálok a győzteseknek!
Most a szélcsend babrált ki velem, pedig megint a top3-ba lettem volna.. de így se panaszkodok
Ez is mekkora lutri amúgy, előtte utána gyenge K-i, pont abban az órában szélcsend
Most a szélcsend babrált ki velem, pedig megint a top3-ba lettem volna.. de így se panaszkodok
Ez is mekkora lutri amúgy, előtte utána gyenge K-i, pont abban az órában szélcsend
Hidegcsepp95, Pestimet, MacBook trió nyerte a miskolci fordulót. Gratulálok nekik! 
Forduló: Link
Összetett: Link
BKrisz a következő kiíró, így szeretnénk kérni egy helyszínt és egy időpontot.
Választható helyszínek:
Bécs (Wien-Hohe Warte) [11035]
Budapest-Újpest [metnet-es észlelő]
Csíkszereda (Miercurea Ciuc) [15170]
Eger [12870]
Felcsút [metnet-es észlelő]
Kecskemét [12970]
Kékestető [12851]
Lomnici-csúcs (Lomnicky Stít) [11930]
Pécs-Egyetem [38528]
Siófok [metnet-es észlelő]
Sopron-Kurucdomb [13704]
Szeged [12982]
Szolnok [12860]
Szombathely [12812]
Zágráb-Maksimir [14240]
Meteorológiai állomások beosztása: Link
Forduló: Link
Összetett: Link
BKrisz a következő kiíró, így szeretnénk kérni egy helyszínt és egy időpontot.
Választható helyszínek:
Bécs (Wien-Hohe Warte) [11035]
Budapest-Újpest [metnet-es észlelő]
Csíkszereda (Miercurea Ciuc) [15170]
Eger [12870]
Felcsút [metnet-es észlelő]
Kecskemét [12970]
Kékestető [12851]
Lomnici-csúcs (Lomnicky Stít) [11930]
Pécs-Egyetem [38528]
Siófok [metnet-es észlelő]
Sopron-Kurucdomb [13704]
Szeged [12982]
Szolnok [12860]
Szombathely [12812]
Zágráb-Maksimir [14240]
Meteorológiai állomások beosztása: Link
Az 1,4 km/ó sebesség meg a gyalogosnak is kevés. Megvan a 2,1 mm csapi .
Az biza fordulógyőzelem lehet ezzel a keleti széllel és 0 fokos T-minnel. Gratula!
A +0.4²C maradt, de már köd is van. Nehéz lesz 0 fokos Tmax-szal kihúzni, inkább +1 fokot kellett volna adni mégis. Bár +0,5°C még 0-ra kerekítödik....
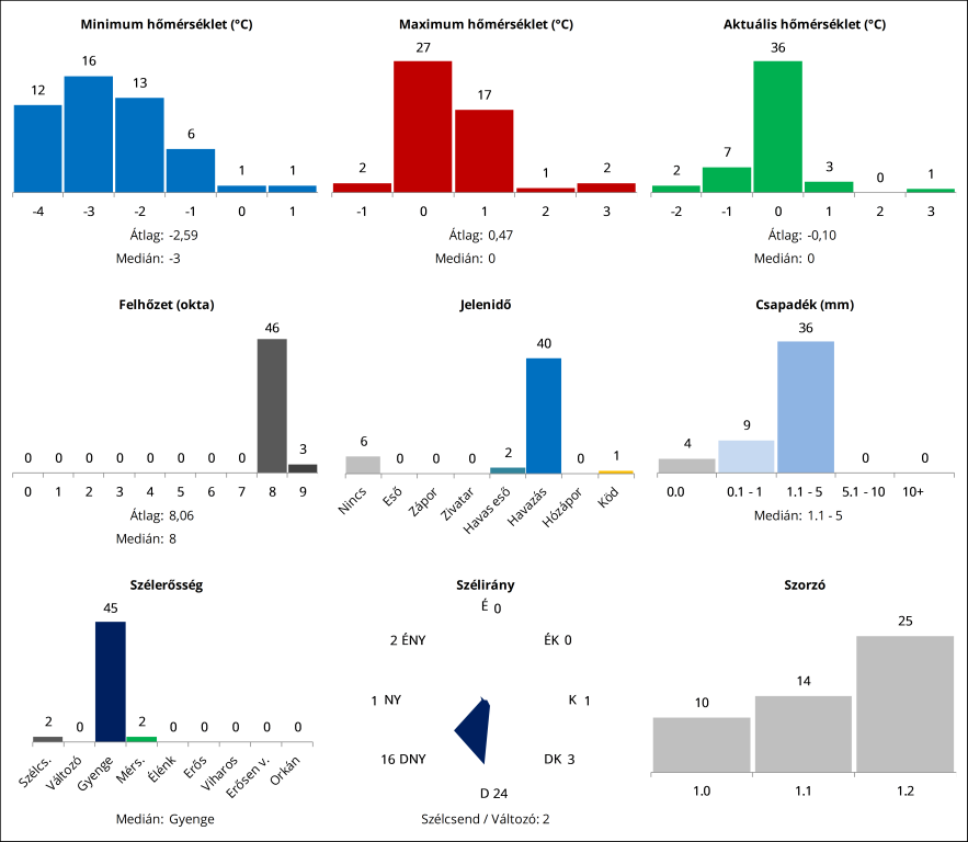
Elkészült az összefoglaló.
Egészen egységesek a tippek, jó sok jelenidővel.
Talán ami szokatlan, hogy jóval kevesebb az 1.2-es tippek aránya, sokan módosítottak. (Vagy elfelejtették időben leadni a magasabb szorzóval.
) Éjfélkor 0,4 fok volt, és nem is nagyon akar csökkenni a T, úgyhogy jelenleg a Tmin tekintetében azoknak áll a zászló, akik fagypont köré lőtték be. 

Megvannak az 1,2 hibái, pláne most télen.
Megteszem az 1,1-est, Miskolc úgyis bubusos nekem, nem olyan délvidék, ahol nem történik nagy durranás.
Megteszem az 1,1-est, Miskolc úgyis bubusos nekem, nem olyan délvidék, ahol nem történik nagy durranás.
Ó, hogy rakja telibe, megint kicsúsztam, eddig egyszer sikerült 1.2-vel leadni...pedig olyan nagy dolgok nem fognak változni addig...na mindegy.
Elnézést, hogy ilyen későn adom meg a helyszínt és időpontot. Ha még belefér, akkor legyen Miskolc, december 10. vasárnap 13 óra (12 UTC).