Információk az előrejelzési versenyhez
Versenyinformációk
A VERSENYSZABÁLYZATÚj előrejelzés elküldése az előrejelzési versenybe
A legutóbbi forduló eredménye
A verseny összesített állása
A 3 kieső fordulót nem tartalmazó összesített lista
A synop-kódok értelmezéséhez egy kis segítség
Szélirány-meghatározáshoz segítség
Stelvio segítségével megjelenített összesített ranglista
Stelvio segítségével megjelenített örökranglista
Stelvio segítségével megjelenített dicsőséglista
A meteorológiai állomások elhelyezkedése
A meteorológiai állomások beosztása
Dabronynak drukkolok. Tmin telibe, Tmax valószínűleg -5°C, így telibe, s a -14 fokos Takt-ja is lehet még telitalálat 1,2-vel. 17 UTC-kor -11,4°C volt. Én meg hajtok a 0 pontos T-k felé
Egy ideje már van szerintem télen-nyáron, de az időzítés nem mindegy, simán bele lehet futni ott is egy "átlagos" hőmérsékleti helyzetbe - reggel néhány fokos mínusszal, napközben plusszal - télen is.
Mit gondoltunk mi ezekkel a hőmérsékletekkel... Persze az 1.2-es után nem néztem térképeket, de amikor nálunk is simán megvoltak a -10, -14 fokok, nem tudom, mi másra számíthattunk…..
Ha javasolhatom még egyszer, legyen már többször ez a helyszín legalább télen!!
Ha javasolhatom még egyszer, legyen már többször ez a helyszín legalább télen!!
Ahogy most kinéz, a Tmax-ra nem fognak sokan pontot kapni. Remélem, estére visszaáll a zárd köd is, ha már bukta, legyen kövér.
Ezt a helyszínt szerepeltessük már többször legalább télen, gondolom sokan örülnének
Zúzmarás ködöt észlelnek néhány órája, 00 UTCkor -16,5 fok volt, azóta kissé emelkedett a hőmérséklet. Mivel csak órás adatok vannak, így akár 1-2 fokkal hidegebb is lehet a minimum ennél.
3 UTC: -14,0 fok, gyenge nyugati szél, köd.
3 UTC: -14,0 fok, gyenge nyugati szél, köd.
Még az is kérdés, hogy ez az észak felől közeledő felhősáv bele tud-e szólni a minimum hőmérséklet alakulásába...

Közben megtorpant a hőmérséklet csökkenés. 23 UTC-kor "csak" -16.0/-17.8 fok épp szélcsendnél. Mókásan mutat a modellek -5 és -10 fok közötti hőm.előrejelzése 2 órára 

Én az 1,2-es -14/-10-es Tmin/Takt párost engedtem el, mert bár mindkettő magasnak tűnt, nagyon bizonytalan volt, hogy mennyire kellene csökkenteni. Így simán előfordulhatott volna, hogy a csökkentés ellenére is lenullázom ezeket, s egyben az 1,2-es szorzót is elvesztem. Ráadásul akkor már a szélcsendemet és a nem lesz jelenidőmet is át kellett volna gondolni, amelyek szintén bizonytalanok. Így végül maradt minden inkább 
A harmatpont hófelszín felett jelentősen tud csökkenni éjszaka a légnedvességnek a hófelszínre történő kifagyása miatt, így felhőtlen/derült égnél, ennyire gyenge légmozgásnál ki tudja, hogy -20 fokon innen vagy túl kötünk ki reggelig. 19 UTC-kor -13 foknál már volt nyílt köd, de aztán simán megszűnt a harmatpont további csökkenésével. Ha már nem változtattam és -16 fok is megvolt, akkor hajrá a -20 alatti tartomány, ritkán jön elő a versenyben
A harmatpont hófelszín felett jelentősen tud csökkenni éjszaka a légnedvességnek a hófelszínre történő kifagyása miatt, így felhőtlen/derült égnél, ennyire gyenge légmozgásnál ki tudja, hogy -20 fokon innen vagy túl kötünk ki reggelig. 19 UTC-kor -13 foknál már volt nyílt köd, de aztán simán megszűnt a harmatpont további csökkenésével. Ha már nem változtattam és -16 fok is megvolt, akkor hajrá a -20 alatti tartomány, ritkán jön elő a versenyben
Elkészült az összefoglaló.
Hát, érdekes forduló lesz, az biztos.
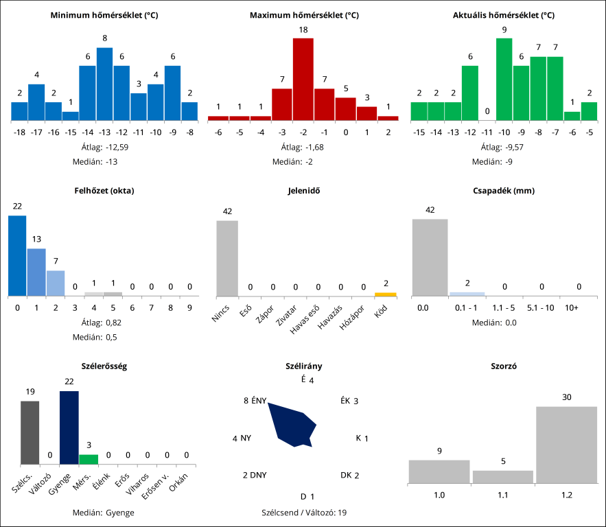
Van mindenféle hőmérséklet (de a Taktnál nincsen -11 fok, viszont mellette van 6 és 9 darab a -12 és -10 értékekből
), rengeteg szélcsend, az egyéb szeles irányokból pedig szintén van minden irányú összevissza.
Na meg persze ott van az utolsó pillanatos módosítás, amivel látom, páran éltek is.
Én is erősen gondolkoztam rajta, de aztán végül úgy döntöttem, hogy elengedem a minimumot, és inkább abban bizakodom, hogy majd a többinél kompenzál a szorzó, főleg a jelenidő, felhőzet, csapadék trióval, meg hátha bejön az a szélcsend is. Szerencsésebb esetben a -12 fokos Taktom is hozhat akár 2-3 pontot, a minimummal meg úgy voltam, hogy még pár órára előre is előfordulhat, hogy mellélövök, szóval inkább nem variáltam. 

Ennyi szélcsend tippet nem is tudom, mikor láttam utoljára. (ha egyáltalán...)
Magam is erősen elgondolkoztam rajta, de végül nem mertem bevállalni.
Lehet, hogy nekem sem ártott volna egy "T korrekció" egynullában...
Lehet, hogy nekem sem ártott volna egy "T korrekció" egynullában...
A 9 órás -14 °C-ot látva "picit" belenyúltam" a tegnapi 1,1-esembe. 
Tmin: -12 °C
Tmax: -1 °C
Felhőfedettség: 0 okta
Jelenidő: nincs szignifikáns jelenség
Hőmérséklet: -8 °C
Szél: szélcsend
Csapadék: 0.0 mm
Az időtényező értéke: 1.1
vs.
Tmin: -18 °C
Tmax: -2 °C
Felhőfedettség: 0 okta
Jelenidő: nincs szignifikáns jelenség
Hőmérséklet: -15 °C
Szél: szélcsend
Csapadék: 0.0 mm
Az időtényező értéke: 1
Tmin: -12 °C
Tmax: -1 °C
Felhőfedettség: 0 okta
Jelenidő: nincs szignifikáns jelenség
Hőmérséklet: -8 °C
Szél: szélcsend
Csapadék: 0.0 mm
Az időtényező értéke: 1.1
vs.
Tmin: -18 °C
Tmax: -2 °C
Felhőfedettség: 0 okta
Jelenidő: nincs szignifikáns jelenség
Hőmérséklet: -15 °C
Szél: szélcsend
Csapadék: 0.0 mm
Az időtényező értéke: 1
Jajjjj, a hullámvasutakat figyelembe sem vettem. Ez nem lehet igaz!
Ne kábítsuk egymást, a tél közepén, 600 méteren, behálózva hullámvasúttal a környéket.
Elég nehéz forduló, akár 3-5 fokos szórással, és mindjárt 0 pont.
Elég nehéz forduló, akár 3-5 fokos szórással, és mindjárt 0 pont.
Hát adtam le egy keményet, este tízig egykettessel még bárki megteheti, könnyed kis forduló, bárki megnyerheti
Ja igen, bocsánat, én néztem el, ezt hittem, ez a 15 pont kieső lett, de valóban nem.
Az hogyan? Egyszer nem tippeltèl és van 11 és 14.4-es fordulód, ha jol látom. A 15 bent maradt.
Köszönjük, lehet is tippelni: Link
1.2-es szorzó csütörtök 22 óráig!
1.2-es szorzó csütörtök 22 óráig!
Gratulálok a nyerteseknek.
Kezdjük a második félidőt egy pihentető fordulóval Csíkszeredán január 21-én vasárnap 21 UTC-kor
Kezdjük a második félidőt egy pihentető fordulóval Csíkszeredán január 21-én vasárnap 21 UTC-kor
MacBook és mikahock duó nyerte a szolnoki fordulót gratulálok nekik és mindenkinek, aki elégedett volt a teljesítményével. 
Forduló: Link
Összetett: Link
A következő kiíró met4ever, így szeretnének kérni egy helyszínt és egy időpontot.
Választható helyszínek:
Budapest-Újpest [metnet-es észlelő]
Csíkszereda (Miercurea Ciuc) [15170]
Eger [12870]
Felcsút [metnet-es észlelő]
Kékestető [12851]
Pécs-Egyetem [38528]
Siófok [metnet-es észlelő]
Sopron-Kurucdomb [13704]
Szombathely [12812]
Zágráb-Maksimir [14240]
Meteorológiai állomások beosztása a fejlécben.
Forduló: Link
Összetett: Link
A következő kiíró met4ever, így szeretnének kérni egy helyszínt és egy időpontot.
Választható helyszínek:
Budapest-Újpest [metnet-es észlelő]
Csíkszereda (Miercurea Ciuc) [15170]
Eger [12870]
Felcsút [metnet-es észlelő]
Kékestető [12851]
Pécs-Egyetem [38528]
Siófok [metnet-es észlelő]
Sopron-Kurucdomb [13704]
Szombathely [12812]
Zágráb-Maksimir [14240]
Meteorológiai állomások beosztása a fejlécben.
Kizárt, hogy ilyen tetemes mennyiséget összeszenvedjen! Ez a gizda ciklon 1 hét alatt sem facsarná ki magából!
Ahogy meglesz este 7 után a maximum, úgy akkor 8-ig lepontozzuk.
Ha ma este meglenne a pontozás, akkor tudnék még ma kiesőst számolni, ha nem, akkor hétvégén legkorábban.
Összfelhőzet: 6 okta
Jelenidő: Nincs
T min: -2,3°C
T akt: 1,9°C
Szélirány: 200° (déli)
Erőssége: 4 m/s (mérsékelt)
A maximum-hőmérséklet valószínűleg 4°C lesz.
Jelenidő: Nincs
T min: -2,3°C
T akt: 1,9°C
Szélirány: 200° (déli)
Erőssége: 4 m/s (mérsékelt)
A maximum-hőmérséklet valószínűleg 4°C lesz.
És akkor még nem is beszéltünk a CAVOK-ról. 
Majdnem elfelejtettem a fordulót, de ahogy nézem, nem sokat vesztettem volna azzal sem, ha kihagyom, így is, úgy is kieső lesz valószínűleg.
Majdnem elfelejtettem a fordulót, de ahogy nézem, nem sokat vesztettem volna azzal sem, ha kihagyom, így is, úgy is kieső lesz valószínűleg.
Bocsánat a hülye ötletért, de távolabbra nem mehetünk? Egy más Európai ország, Alpokba, vagy egy tengerpart? Netán egy észak finn állomás (télen érdekes lehet..)
Azért a katonai repülőtereket is szépen beszippantotta a táviratok adattovábbítási problémája. Nem kerülnek fel normálisan sehová a SYNOP észlelések az észlelő által megfigyelt adatok (gondolok itt a felhőzetre, jelenidőre). Múltkor Kecskemét esetében az volt a mázlink, hogy OVC ment be a METAR táviratba, ami egyértelműsítette, hogy az égbolt teljesen borult, de ha mondjuk BKN ment volna be, már nem tudtuk volna, hogy az összfelhőzet mennyisége most öt, hat vagy hét okta, mert ugye a METAR-ban tök máshogyan mennek a dolgok. Most a BKN-nel tudok jönni, ugyanis ugye az erősen felhős égbolt, ami normális földfelszíni meteorológiai állomásokon hat, hét okta, míg repülőtereken más a történet METAR esetében, ott már az öt okta is erősen felhős.
Most a szolnoki esetben pedig szerencsére van ismeretségem, így ki fog derülni a pontos okta szám, esetlegesen jelenidő ha lesz, de hosszabb távon ez a rendszer így tarthatatlan lesz, így 2024-ben. Ennek hatására Kornéllal arra jutottunk, hogy a 2024. évi nyári versenykörtől kezdve nagy valószínűséggel ki fogjuk venni Kecskemét, Szolnok városok katonai repülőtereit. Építő jellegű hozzászólásukat szívesen várunk a dolgokkal kapcsolatban, ki melyik állomásokat tenné be pluszban a nyári körtől kezdve. Van nekünk egy Mosonmagyaróvárunk, ami nem játszik (még) a versenyben illetve egy Budapest-Pestszentlőrinc is. Én utóbbit nem igazán szeretném betenni, ugyanis van egy háztáji észlelőnk Jákli Imre személyében Újpestről. Úgyhogy az én eszmefutásomban még egy állomásra szükség lesz, illetve ha ti is így gondoljátok, akkor várjuk az esetleges helyszínötleteket. Ha pedig máshogy, akkor nyugodtan ragadjatok "tintát" és hallgatjuk az okfejtéseket.
Most a szolnoki esetben pedig szerencsére van ismeretségem, így ki fog derülni a pontos okta szám, esetlegesen jelenidő ha lesz, de hosszabb távon ez a rendszer így tarthatatlan lesz, így 2024-ben. Ennek hatására Kornéllal arra jutottunk, hogy a 2024. évi nyári versenykörtől kezdve nagy valószínűséggel ki fogjuk venni Kecskemét, Szolnok városok katonai repülőtereit. Építő jellegű hozzászólásukat szívesen várunk a dolgokkal kapcsolatban, ki melyik állomásokat tenné be pluszban a nyári körtől kezdve. Van nekünk egy Mosonmagyaróvárunk, ami nem játszik (még) a versenyben illetve egy Budapest-Pestszentlőrinc is. Én utóbbit nem igazán szeretném betenni, ugyanis van egy háztáji észlelőnk Jákli Imre személyében Újpestről. Úgyhogy az én eszmefutásomban még egy állomásra szükség lesz, illetve ha ti is így gondoljátok, akkor várjuk az esetleges helyszínötleteket. Ha pedig máshogy, akkor nyugodtan ragadjatok "tintát" és hallgatjuk az okfejtéseket.
Elkészült az összefoglaló.
Ahogy nézem, ebben a fordulóban a felhőzet és a szél lesz a döntő, illetve mind a három hőmérsékleti értéknél is két nagyobb tömb van. 

Basszus, pont végignéztem az előréket, hátha olyan történt, ami...
Hát történt, lejárt az idő
De asszem nem is módosítottam volna.
Hát történt, lejárt az idő
De asszem nem is módosítottam volna.
Épp meg akartam nézni, hogy mi a helyzet még a végső határidő előtt, de annak már lőttek, akkor nézem a tippeket