Információk az előrejelzési versenyhez
Versenyinformációk
A VERSENYSZABÁLYZATÚj előrejelzés elküldése az előrejelzési versenybe
A legutóbbi forduló eredménye
A verseny összesített állása
A 3 kieső fordulót nem tartalmazó összesített lista
A synop-kódok értelmezéséhez egy kis segítség
Szélirány-meghatározáshoz segítség
Stelvio segítségével megjelenített összesített ranglista
Stelvio segítségével megjelenített örökranglista
Stelvio segítségével megjelenített dicsőséglista
A meteorológiai állomások elhelyezkedése
A meteorológiai állomások beosztása
Ebből legalább a 6:40-es 8,5-nek játszania kellene még mindenképpen, de már az is 8 °C a kerekítés miatt.
(Sokat vacilláltam, hogy 8 vagy 7 °C-ot adjak-e, az első megérzésem a 8 volt, de többször is átírtam oda-vissza, végül a 7 mellett döntöttem, kár volt.)
(Sokat vacilláltam, hogy 8 vagy 7 °C-ot adjak-e, az első megérzésem a 8 volt, de többször is átírtam oda-vissza, végül a 7 mellett döntöttem, kár volt.)
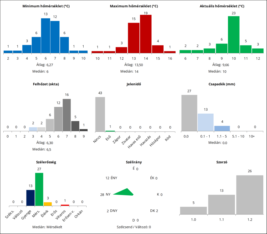
Elkészült az összefoglaló.
Végre egy igazi tavaszi forduló, kár, hogy még csak február eleje van. 


1,5x-nál még volna értelme kockáztatni a lájtos helyzetekben, de ilyenkor felesleges görcsölni rajta, nem ad annyi pluszt. 1,0 bőven jó tud lenni...
Egy megbeszélés miatt nem tudtam ránézni, hogy módosítsak-e. Most megnézem, hogy kellett volna-e
Én már dobtam az 1,2-esemet, aztán lehet, hogy holnap a maradék szorzót is
Hát, jól benne vagyunk most már, az biztos
Én is nézegetem, mit csináltam szarul, meg persze akkor nem voltam bátor, és most sem, hogy változtassak
, most már csak azért sem.
Amikor kitaláltam az időpontot és a helyszínt, még én is egyszerűbbnek gondoltam
Érdekes fordulónak ígérkezik ez is. Nehezen döntöttem, de 09:59:21-kor rászántam magam, hogy elküldjem.
En is emiatt nem mertem meglépni a 0 oktát. Ráadásul gyengébb, bizonytalan irányú, szélcsend felé hajló szelet gondoltam és bepróbálkoztam egy északkeleti iránnyal, ami nagyon nem jött be. Gratulálok a gyöztestársaknak!
Köszönjük szépen! 
Végre egy olyan forduló ahol nem voltak váratlan meglepetések. Már ránk fért főleg Csíkszereda után.
Én is gratulálok a többieknek!
Végre egy olyan forduló ahol nem voltak váratlan meglepetések. Már ránk fért főleg Csíkszereda után.
Én is gratulálok a többieknek!
Ejj, hogy nem voltam elég bátor ahhoz, hogy meglépjem a 0 oktát (mondom valami kis távoli gomoly vagy fátyolfoszlány biztos elcseszi majd...). Na sebaj, gratulálok én is a többi győztesnek!
A zágrábi fordulót lepontoztam, amit azonos ponttal Zivipötty, Misimókus, met4ever, coontac húztak be. Gratulálok nekik! 
Forduló: Link
Összetett: Link
A következő kiíró stelvio lesz. Meteorológiai állomások februári beosztása a napokban fog érkezni. Mivel nagyrészt már csak beosztásos állomások vannak, addig egy kis pihenőt tartunk szerintem.
Választható helyszínek:
Budapest-Újpest [metnet-es észlelő]
Eger [12870]
Felcsút [metnet-es észlelő]
Kékestető [12851]
Pécs-Egyetem [38528]
Siófok [metnet-es észlelő]
Sopron-Kurucdomb [13704]
Szombathely [12812]
Forduló: Link
Összetett: Link
A következő kiíró stelvio lesz. Meteorológiai állomások februári beosztása a napokban fog érkezni. Mivel nagyrészt már csak beosztásos állomások vannak, addig egy kis pihenőt tartunk szerintem.
Választható helyszínek:
Budapest-Újpest [metnet-es észlelő]
Eger [12870]
Felcsút [metnet-es észlelő]
Kékestető [12851]
Pécs-Egyetem [38528]
Siófok [metnet-es észlelő]
Sopron-Kurucdomb [13704]
Szombathely [12812]
Én is alálőttem, pedig tudhatnám, hogy szélcsendes, derült időben kilő a hőmérséklet
Valamelyik oldal 9 maxot is adott mára az előrékben, de én még azzal számoltam, hogy inkább fölélövik, mert nem számolnak a hideg talajjal, stb. Na, ennyit a nagy agyalásaimról…
Na ez is előfordult, papiron volt a tippem, de lemaradtam. Most versenyen kívül;
( -4+8+6 okta-jelen 0 szél gy.dny.csap 0) szorzó 1,0
( -4+8+6 okta-jelen 0 szél gy.dny.csap 0) szorzó 1,0
Elkészült az összefoglaló.
A csíkszeredaihoz képest ez most egy egészen nyugis átlagjavító fordulónak tűnik. 

Ez volt az 1,2-esem:
-14/-1/-11/0 okta/-/gyenge NY-i/0,0
Modellek alapján még 1,0-val sem adtam volna ködöt, sőt ha nem nézek rá az aktuális helyzetre a leadási határidő előtt, akkor nem is változtattam volna... (Meg hát szerencsém is volt, hiszen csak az időpont körüli néhány órában volt köd.)
Én most mikahocknak gratulálok, ő ugyanis már 1,2-essel bevállalta a ködöt.
-14/-1/-11/0 okta/-/gyenge NY-i/0,0
Modellek alapján még 1,0-val sem adtam volna ködöt, sőt ha nem nézek rá az aktuális helyzetre a leadási határidő előtt, akkor nem is változtattam volna... (Meg hát szerencsém is volt, hiszen csak az időpont körüli néhány órában volt köd.)
Én most mikahocknak gratulálok, ő ugyanis már 1,2-essel bevállalta a ködöt.
Köszi a kiesős listát!
Lám, egy 4,8 pontos forduló után is lehet 3 helyet javítani.
.Bezzeg múlt héten a 18 pontom -2 helyet ért!
Lám, egy 4,8 pontos forduló után is lehet 3 helyet javítani.
Felejtsük el ezt a szörnyű fordulót, 4 embernek nem lett kieső ez a forduló.
Kiesős lista fent virít.
Kiesős lista fent virít.
Ennyire nehéz fordulót azért nem akartam...
Nem jár plusz 3 pont a legalacsonyabb átlagú forduló kitalálásáért?
Pestimetnek gratulálok. Nem tudom miröl módositott 1.0-val, de bátor lépés volt, én nem mertem meglépni.
Lehet, hogy ez még sokat jelent majd a végén, különösen ha még lesznek alacsony pontszámú fordulók, ahol a korábbi kiesö pontok sokat számithatnak.
Nem jár plusz 3 pont a legalacsonyabb átlagú forduló kitalálásáért?
Pestimetnek gratulálok. Nem tudom miröl módositott 1.0-val, de bátor lépés volt, én nem mertem meglépni.
Lehet, hogy ez még sokat jelent majd a végén, különösen ha még lesznek alacsony pontszámú fordulók, ahol a korábbi kiesö pontok sokat számithatnak.
Hát ez kegyetlen forduló volt. 
Pestimetnek gratulálok, jól ráérzett erre a módosításra.
Ritka forduló az, ahol a felhőzetre senki nem kap pontot 
Gratula a győztesnek, szép 1.0-s tipp volt
Gratula a győztesnek, szép 1.0-s tipp volt
fordulót lepontoztam, amit Pestimet húzott be. Gratulálok neki! 
Honzát szeretném megkérni, hogy gyorsan felejtsük el ezt a csíkszeredai fordulót és jelölje ki a tizenkettedik forduló helyszínét és időpontját.
Választható helyszínek:
Budapest-Újpest [metnet-es észlelő]
Eger [12870]
Felcsút [metnet-es észlelő]
Kékestető [12851]
Pécs-Egyetem [38528]
Siófok [metnet-es észlelő]
Sopron-Kurucdomb [13704]
Szombathely [12812]
Zágráb-Maksimir [14240]
Meteorológiai állomások beosztása: Link
Honzát szeretném megkérni, hogy gyorsan felejtsük el ezt a csíkszeredai fordulót és jelölje ki a tizenkettedik forduló helyszínét és időpontját.
Választható helyszínek:
Budapest-Újpest [metnet-es észlelő]
Eger [12870]
Felcsút [metnet-es észlelő]
Kékestető [12851]
Pécs-Egyetem [38528]
Siófok [metnet-es észlelő]
Sopron-Kurucdomb [13704]
Szombathely [12812]
Zágráb-Maksimir [14240]
Meteorológiai állomások beosztása: Link
Gyerekek, most nézem, milyen böszme egy forduló lesz ez, hihetetlen
Ezentúl kérem a versenyben mind a 20 helyszínnek Csíkszeredát
Ezentúl kérem a versenyben mind a 20 helyszínnek Csíkszeredát
Háát, legalább a Takt és a szélcsend telibe... A többi nekem is kuka, főleg, ha még esetleg összeszitál/szemcsés hózik 0,1 mm-t reggelig. 
A Tmax egyébként -3,6 °C lett, így 1 pontot azért arra is kapok.
A Tmax egyébként -3,6 °C lett, így 1 pontot azért arra is kapok.
21 UTC: -14,7 fok, 9 okta, köd, szélcsend.
Megérte a módosítás 1.2-ről, de így is kieső.
Ha jól látom Pestimet behúzza ezt a fordulót, előre is gratulálok.
Megérte a módosítás 1.2-ről, de így is kieső.
Ha jól látom Pestimet behúzza ezt a fordulót, előre is gratulálok.
De én úgy értem, többször legyen egy téli sorozat alatt.
Igen, volt már “átlagos” forduló is kevés érdekességgel itt, talán akkor pont rizikóztam alacsony Tmin- nel, akkor persze nem jött be emlékeim szerint.
Igen, volt már “átlagos” forduló is kevés érdekességgel itt, talán akkor pont rizikóztam alacsony Tmin- nel, akkor persze nem jött be emlékeim szerint.

