Információk az előrejelzési versenyhez
Versenyinformációk
A VERSENYSZABÁLYZATÚj előrejelzés elküldése az előrejelzési versenybe
A legutóbbi forduló eredménye
A verseny összesített állása
A 3 kieső fordulót nem tartalmazó összesített lista
A synop-kódok értelmezéséhez egy kis segítség
Szélirány-meghatározáshoz segítség
Stelvio segítségével megjelenített összesített ranglista
Stelvio segítségével megjelenített örökranglista
Stelvio segítségével megjelenített dicsőséglista
A meteorológiai állomások elhelyezkedése
A meteorológiai állomások beosztása
Nem vitte túlzásba 
Ha 1,0-val modositottam is volna 8 okta stratusra, a szitálást 13 órára szerintem akkor sem léptem volna meg és a +3 fokos Tmax-ot sem hiszem
Ha 1,0-val modositottam is volna 8 okta stratusra, a szitálást 13 órára szerintem akkor sem léptem volna meg és a +3 fokos Tmax-ot sem hiszem
"más kérdés a megbízhatósága"
És az bizony sajnos sokszor nagy kérdés, repmetesként már csak tudom (illetve sokszor nem kérdés, hogy... hát fogalmazzunk finoman, nem jó).
És az bizony sajnos sokszor nagy kérdés, repmetesként már csak tudom (illetve sokszor nem kérdés, hogy... hát fogalmazzunk finoman, nem jó).
Automatán van csapadék érzékelő, tudja érzékelni ha szitál, más kérdés a megbizhatósága.
De ez tényleg nem érint minket. Ember általi észlelést és nem automata, hanem kézi csapadékmérést veszünk figyelembe. Szóval nem kell félni attol, hogy az automata nem mérte, ha meglett a 0,1 mm. Reggel kiderül.
De ez tényleg nem érint minket. Ember általi észlelést és nem automata, hanem kézi csapadékmérést veszünk figyelembe. Szóval nem kell félni attol, hogy az automata nem mérte, ha meglett a 0,1 mm. Reggel kiderül.
Az automaták sem tökéletesek. Mivel az észlelő is nagyon gyenge szitálást adott, valószínűleg az automata METAR-t összeállító rendszer nem érzékelt belőle semmit, de ez nem azt jelenti, hogy ez nem volt. Egy disdrometer nevű műszer azonosítja a csapadék alakját, intenzitását, cseppek darabszámát és ahogy írtam valószínűleg ő nem érzékelte.
Egyébként nem ártana átolvasni a szabályzatot, de a főbb változásokról nem is olyan régen, november 5-én írtam ide a fórumba, szóval nem igazán értem a felháborodást.
Egyébként nem ártana átolvasni a szabályzatot, de a főbb változásokról nem is olyan régen, november 5-én írtam ide a fórumba, szóval nem igazán értem a felháborodást.
Most meg elírtam, Kismacs és nem Kisbácsa. Azt meg nem értem, hogy egy automata hogyan adott 9:15-ig szitálást, de majd egyszer ha ráérek talán mindenféle állandóan változó szabályzatot elolvasok, mint a Magyar Közlönyt szoktam...
"Pl a reptéri metar 9-10 körül adott szitálást utoljára (vagy rossz adatokat néztem). Nem csoda, ha nem sikerül leadni egy normális előrejelzést,mindenütt más a szél meg a jelenidő stb."
Akkor azt is megnézted, hogy ezek automata METAR-ok, tehát az ember nem nyúl bele. Az, hogy az automata ilyen szempontból mit ad vagy mit nem minket nem érdekel.
"Pl.Debrecenben kb. mindenféle szélirány és szélerősség volt ma teljes összevisszaságban. És ezt variálhatjuk többféle észleléssel. Hát ember a talpán aki kiigazodik."
Versenyszabályzatban minden egyértelműen le van írva.
Akkor azt is megnézted, hogy ezek automata METAR-ok, tehát az ember nem nyúl bele. Az, hogy az automata ilyen szempontból mit ad vagy mit nem minket nem érdekel.
"Pl.Debrecenben kb. mindenféle szélirány és szélerősség volt ma teljes összevisszaságban. És ezt variálhatjuk többféle észleléssel. Hát ember a talpán aki kiigazodik."
Versenyszabályzatban minden egyértelműen le van írva.
Most jövök rá, hogy nem is néztem utána, hogy a reptér,Kisbácsa,metész,hungaromet állomás hogyan viszonyulnak egymáshoz, synop,metész,metar,metnet adatbázis számít-e ? Pl a reptéri metar 9-10 körül adott szitálást utoljára (vagy rossz adatokat néztem). Nem csoda, ha nem sikerül leadni egy normális előrejelzést,mindenütt más a szél meg a jelenidő stb. 
Pl.Debrecenben kb. mindenféle szélirány és szélerősség volt ma teljes összevisszaságban. És ezt variálhatjuk többféle észleléssel. Hát ember a talpán aki kiigazodik.
Pl.Debrecenben kb. mindenféle szélirány és szélerősség volt ma teljes összevisszaságban. És ezt variálhatjuk többféle észleléssel. Hát ember a talpán aki kiigazodik.
És a hidegörvény még ide sem ért... Szerencsésen felcseréltem a Taktot és a max-ot...semmi jelentősége nem lett.
Reggel hét és du.1 közt többnyire szitált, nagy szerencse,hogy nem jött össze a 0,1 mm. Mert különben 0 pontosok is lennének(1,2 pontom szerencsére van már
), így viszont 0 csapadékúak tarolnak majd felettem.
Így jár az, aki bízik az automatákban. Gondolom reggel hétig tartó szitálás sem ment meg, hogy 1,2 ponttal zárjak.
Reggel hét és du.1 közt többnyire szitált, nagy szerencse,hogy nem jött össze a 0,1 mm. Mert különben 0 pontosok is lennének(1,2 pontom szerencsére van már
Így jár az, aki bízik az automatákban. Gondolom reggel hétig tartó szitálás sem ment meg, hogy 1,2 ponttal zárjak.
Én ezért már inkább nem is adtam le tippet, felesleges lett volna.
T max eddig: 3,3°C. Hát még felmehet két tizedet talán, hogy 4 fok legyen, de ez sem ment meg senkit, ahogy látom.
Több mint 10 éve egy szentgotthárdi forduló indult ugyanilyen nem várt beragadó köddel és hasonló mezőnybuktával.
Tmin: 0 °C
Tmax: 5 °C
Felhőfedettség: 8 okta
Jelenidő: nincs szignifikáns jelenség
Hőmérséklet: 4 °C
Szél: gyenge délkeleti
Csapadék: 0.0 mm
Az időtényező értéke: 1.2
Ezt dobtam el.
Szóval mindig mindenkinek van olyan, hogy jobb lett volna ha...
Tmax: 5 °C
Felhőfedettség: 8 okta
Jelenidő: nincs szignifikáns jelenség
Hőmérséklet: 4 °C
Szél: gyenge délkeleti
Csapadék: 0.0 mm
Az időtényező értéke: 1.2
Ezt dobtam el.
Szóval mindig mindenkinek van olyan, hogy jobb lett volna ha...
Nem is tudom, lett-e már valaha ekkora mezönybukta. Es rögtön az első fordulóban 
Nagyon brutálisan hóditotta meg az ország nagyobb részét a köd/stratus és bár délkeleten mostanra feloszlott, de Debrecen környékét ez nem érte el. Mondjuk ez általában ilyen hirtelen szokott történni, de az idény első esete után gyakran csak futunk. Aztán meg jön a túlzott elővigyázatosság...
Öröm az ürömben: akkor nem olyan nagy baj, hogy lekéstem az 1,2-est. Lehet csak ezért alakult így
Nagyon brutálisan hóditotta meg az ország nagyobb részét a köd/stratus és bár délkeleten mostanra feloszlott, de Debrecen környékét ez nem érte el. Mondjuk ez általában ilyen hirtelen szokott történni, de az idény első esete után gyakran csak futunk. Aztán meg jön a túlzott elővigyázatosság...
Öröm az ürömben: akkor nem olyan nagy baj, hogy lekéstem az 1,2-est. Lehet csak ezért alakult így
Ahogy felvázoltam tegnap késő délután, gyönyörű bukta.
Igen, szélcsend lesz.
Igen, szélcsend lesz.
Mivel nagyon gyenge-gyenge volt az intenzitása, a Hellmannon (+észlelőn) kívül nem hinném, hogy más meg fogja mérni.
A macska rúgná meg.
Az ónos ködszitálást, amit a metész észlelt mi méri meg ?
Az ónos ködszitálást, amit a metész észlelt mi méri meg ?
Tmin legalább -2,6°C, így a -2 ugrott. Utána be is ködölt, eleinte nyílt köd volt, de már zárt. Még van ideje feloszlani
Egy órakor 2,1 km látás,-1,1 fok és keleti szél. Jó lenne ha beködölne és maradna a min. -1.
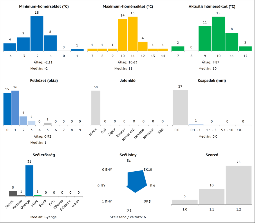
Üdv újra itt mindenkinek, elkészült az első forduló összefoglalója.
38 tipp érkezett be, remélem, minél többen kitartunk a végéig.
Bár a tippek között nincs nagy eltérés, de a köd/stratus könnyen megkavarhatja a dolgokat, és a szélcsend is simán összejöhet, illetve ha lesz is gyenge szél, az iránya kérdéses. 

A hidegcsepp hatásától nem tartok, ellenben a mai nap a Dunántúl nyugati, délnyugati részén tartósan megmaradó köd/stratus keletebbre terjedhet, s az okozhatna buktát. A friss ECMWF futásban épp Debrecent nézte ki magának a ködös sáv és holnap elég nehezen oszlatja fel napközben. De szerintem nem eszik ilyen forrón a kását
Legutóbbi észlelésben 0 okta volt és 5-10 km-es látás az állomáson.
Ezek szerint esélyes, hogy befelhősödik,nem lesz tizenfokos max és persze a Tmin sem kemény fagy ? Akkor nem is lennék a sok felhőmmel meg mérsékelt melegemmel utolsó ? Bevallom, hogy a magassági hidegörvény Tiszántúlra érkezésére és csapadékra adtam le akár 0.1 mm csapadékkal hétfő reggelig. Ezzel ritka lettem mint a fehér holló az előrék közt...
13:35-kor jutott eszembe ma, meg is örültem, hisz 12 UTC, aztán gyorsan belém vágott, hogy már téli idöszámítás van. Jajjjj, de béna kezdés 
De akkor azért sem adtam még le. Ha lúd, legyen kövér
De akkor azért sem adtam még le. Ha lúd, legyen kövér
Hát, ha tényleg este 8 körül adtad le a tipped, akkor rossz hírem van, mert lecsúsztál az 1,3-as szorzóról... 

---------------------------------
Versenyre fel! Hajrá Mindenkinek!
---------------------------------
Versenyre fel! Hajrá Mindenkinek!
Az 1,2-es szorzójú tippek leadási határideje: 2024. november 07., csütörtök 13 óra (12 UTC).
Továbbá a jelenidők tekintetében is történt egy kis változás. Ha az állomáson ködfoltokat észlelnek az is ködös jelenidőnek minősül.
A viták elkerülése végett a fordulók paraméterei az alábbiak szerint kerülnek pontozásra:
- HungaroMet-állomások: MET-ÉSZ rendszeren közölt adatok (aktuális felhőzet, jelenidő), melyek a verseny időpontját megelőző óra 50. percétől, a verseny időpontját követő óra 10. percéig kerülnek megjelenítésre a MET-ÉSZ felületen. Abban az esetben, ha ebben az intervallumban több észlelés is történik, úgy az intervallum első észlelése számít a versenyben. A szél paraméter az oldalon található "automata állomások" listában kijelölt állomás adott óra 50. percében mért átlagszél és átlagirány szerint kerül megállapításra. Az aktuális hőmérséklet is minden esetben az adott óra 50. percének hőmérséklete.
- MetNet-es észlelők: a felhőzet, jelenidő a verseny pontos időpontját, megelőző óra 50. percétől, a verseny időpontját követő óra 10. percéig kerül megállapításra, a szél az időpont előtti 10 perces átlagszél (40-50 közötti) alapján, az aktuális hőmérséklet pedig az adott óra 50. percében kerül meghatározásra. Ez alól kivételt Budapest Liszt Ferenc Nemzetközi Repülőtér jelent, ahol speciális szabályok szerint történik az adatok megállapítása, részletek az "Információk az előrejelzési versenyhez" fórumban olvashatók.
- Külföldi állomások: SYNOP táviratból származnak az adatok, óra 40 és 50 perc közötti észlelés történik.
A szabályzatot mindenki olvassa el figyelmesen: Link
A viták elkerülése végett a fordulók paraméterei az alábbiak szerint kerülnek pontozásra:
- HungaroMet-állomások: MET-ÉSZ rendszeren közölt adatok (aktuális felhőzet, jelenidő), melyek a verseny időpontját megelőző óra 50. percétől, a verseny időpontját követő óra 10. percéig kerülnek megjelenítésre a MET-ÉSZ felületen. Abban az esetben, ha ebben az intervallumban több észlelés is történik, úgy az intervallum első észlelése számít a versenyben. A szél paraméter az oldalon található "automata állomások" listában kijelölt állomás adott óra 50. percében mért átlagszél és átlagirány szerint kerül megállapításra. Az aktuális hőmérséklet is minden esetben az adott óra 50. percének hőmérséklete.
- MetNet-es észlelők: a felhőzet, jelenidő a verseny pontos időpontját, megelőző óra 50. percétől, a verseny időpontját követő óra 10. percéig kerül megállapításra, a szél az időpont előtti 10 perces átlagszél (40-50 közötti) alapján, az aktuális hőmérséklet pedig az adott óra 50. percében kerül meghatározásra. Ez alól kivételt Budapest Liszt Ferenc Nemzetközi Repülőtér jelent, ahol speciális szabályok szerint történik az adatok megállapítása, részletek az "Információk az előrejelzési versenyhez" fórumban olvashatók.
- Külföldi állomások: SYNOP táviratból származnak az adatok, óra 40 és 50 perc közötti észlelés történik.
A szabályzatot mindenki olvassa el figyelmesen: Link
Mondjuk nekem a szobákban, nappaliban a kapcsolók mögötti hőelemek által mért átlaghőmérséklet alapján van a telefonomon a kijelzés az adott helyiségre vonatkozóan, illetve beavatkozás a hőszivattyúnál. Ott pl. teljesen jó.
Értem, bár igazából csak megfejteni akartam, hogy "mire gondolhatott a költő".
Értem, bár igazából csak megfejteni akartam, hogy "mire gondolhatott a költő".
Egyetértek, Imit is kérem, hogy itt akkor zárjuk le ezt a témát, és koncentráljunk innentől a versenyre (a további hozzászólások törlésre kerülnek).
Most meglátjuk a tapasztalatokat, aztán legfeljebb nyárra átgondoljuk, hogy maradjon-e Ferihegy (ebben a formában).
Most meglátjuk a tapasztalatokat, aztán legfeljebb nyárra átgondoljuk, hogy maradjon-e Ferihegy (ebben a formában).
Baromi vicces, hogy rugózással vádolsz, miközben nagyjából 3 alkalommal zártam le a témát. Aztán megjelentél és újrakezdted.
Persze, ha azt rugózásnak nevezed, hogy egy részemről már lezárt téma újrakezdésekre reagálok, akkor legyen ez a neve, bár én nem így nevezném.
Ha nem értetted volna meg, akkor egyértelműen leírom: nekem -rengeteg más elfoglaltságom mellett- elég kihívás ez a verseny, amelyben már huszonéve folyamatosan és nagy örömmel veszek részt. Az életemben, a munkámban találok elég kihívást magamnak. Ha szükségem lenne újabb kihívásra és a segítségedre szorulnék e tekintetben, akkor azt mindenképpen jelezni fogom, de kérésem nélkül lehetőleg ne szervezz számomra extra kihívásokat.
Az pedig, hogy egy lassan 4 napja feltett egyszerű kérdésből, -amire választ igazán nem is vártam, mert a folytatásban már a versenyről írtam- ilyen hozzászóláscunami és adok-kapok lett, nincs rendben. Ezt a játékos társaságot egy vidám, jó hangulatú csapatként ismertem meg és jó volt itt lenni, játszani, örülni és mérgelődni a tizedek miatt. Sokat jót, örömet kaptam itt, még személyes ismerettségek is lettek a jó kedélyű közös észlelések, koronázások okán. Az elmúlt napok történései viszont -megmondom őszintén- ezeket a szép emlékeket erodálják. Nem nagyon értem a több irányból történt és már napok óta meg-megújuló rámtromfolást. Azt természetesen elismerem, hogy ha a véleményemet megalapozottnak találom, akkor nem engedem el -ez akár hibámul is felróható-, de ha valaki idegen az első kérdésemet tartalmazó bejegyzés után végigolvassa a következményeket, akkor elcsodálkozik, hogy miként sikerült eddig eljutnunk.
Persze, ha azt rugózásnak nevezed, hogy egy részemről már lezárt téma újrakezdésekre reagálok, akkor legyen ez a neve, bár én nem így nevezném.
Ha nem értetted volna meg, akkor egyértelműen leírom: nekem -rengeteg más elfoglaltságom mellett- elég kihívás ez a verseny, amelyben már huszonéve folyamatosan és nagy örömmel veszek részt. Az életemben, a munkámban találok elég kihívást magamnak. Ha szükségem lenne újabb kihívásra és a segítségedre szorulnék e tekintetben, akkor azt mindenképpen jelezni fogom, de kérésem nélkül lehetőleg ne szervezz számomra extra kihívásokat.
Az pedig, hogy egy lassan 4 napja feltett egyszerű kérdésből, -amire választ igazán nem is vártam, mert a folytatásban már a versenyről írtam- ilyen hozzászóláscunami és adok-kapok lett, nincs rendben. Ezt a játékos társaságot egy vidám, jó hangulatú csapatként ismertem meg és jó volt itt lenni, játszani, örülni és mérgelődni a tizedek miatt. Sokat jót, örömet kaptam itt, még személyes ismerettségek is lettek a jó kedélyű közös észlelések, koronázások okán. Az elmúlt napok történései viszont -megmondom őszintén- ezeket a szép emlékeket erodálják. Nem nagyon értem a több irányból történt és már napok óta meg-megújuló rámtromfolást. Azt természetesen elismerem, hogy ha a véleményemet megalapozottnak találom, akkor nem engedem el -ez akár hibámul is felróható-, de ha valaki idegen az első kérdésemet tartalmazó bejegyzés után végigolvassa a következményeket, akkor elcsodálkozik, hogy miként sikerült eddig eljutnunk.
Eredetileg valóban egy kérdést tettél föl, amit aztán követett - az én olvasatomban - némi elégedetlenség, ezt nem értettem, hogy miért kell rajta annyit rugózni, annál is inkább, mert - ha jól értem abból, amit írtál - nincs sok időd, amit a versenybeli tippleadásra tudsz szánni, ami szerintem nagyobb mértékben növeli a pontatlanságot, mint 5-6 km differencia a reptér 2 vége között, annál is inkább, mivel a jobb felbontású modellekben is ekkora táv kb. 2, max 3 rácspontot, és hozzá tartozó adatot jelent (amik jellemzően nem különböznek), a kettő között meg interpolálnak valamit, hogy ne nézzen ki furcsán a térkép, amiből aztán mi meg próbáljuk megsaccolni, hogy mi is lesz.
Ezek a dolgok, mint a jobb oldali küszöb, meg hogy melyik pálya melyik, olyanok, amiket egyszer megkérdez az ember, vagy a forduló előtt a kiírók adnak róla ki tájékoztatót (pl térképet), hogy mi hol van, és meg van oldva a történet. Az szerintem lényegesen nem hosszabbít a tippelésen, hogy a szélirányt tippeled meg előbb, és csak utána (annak függvényében) a hőmérsékletet. (eleve a hőmérséklet előrejelzéséhez előbb célszerű tudni a szelet is) És hogy az utolsó pontra is reagáljak: szerintem egy versenyzésnek fontos eleme a kihívás is. Ha az megnyugtat, én se tudom, hogy mi az a jobboldali küszöb, de a verseny szempontjából szerintem nem jelentékeny a befolyásoló tényezője.
Ezek a dolgok, mint a jobb oldali küszöb, meg hogy melyik pálya melyik, olyanok, amiket egyszer megkérdez az ember, vagy a forduló előtt a kiírók adnak róla ki tájékoztatót (pl térképet), hogy mi hol van, és meg van oldva a történet. Az szerintem lényegesen nem hosszabbít a tippelésen, hogy a szélirányt tippeled meg előbb, és csak utána (annak függvényében) a hőmérsékletet. (eleve a hőmérséklet előrejelzéséhez előbb célszerű tudni a szelet is) És hogy az utolsó pontra is reagáljak: szerintem egy versenyzésnek fontos eleme a kihívás is. Ha az megnyugtat, én se tudom, hogy mi az a jobboldali küszöb, de a verseny szempontjából szerintem nem jelentékeny a befolyásoló tényezője.
Azt nem tudom, de maximum akkor azokat a szolgálatokat kivesszük a lehetséges napok közül, amikor Imi és Bence egyszerre vannak ott.
Azt pedig én nem értem, hogy mi a búbánatnak kellett újra kezdeni és mi a búbánatnak nem lehet megérteni, hogy nem elégedetlen voltam, hanem csak egy kérdést tettem fel.
"Egy kérdés csupán: nem lenne egyszerűbb, vagy célszerűbb, ha kijelölnénk a 4 pálya közül egyet és mindig az lenne a mérvadó a versenyben?" #73845.
Ám, ha már így behoztad a feszkót újból 48 óra után:
Szerinted ebben a versenyben résztvevők, akik nagy része (mint én is) totál amatőr és a játék valamint az időjárás szeretete miatt játszanak, abban a néhány percben, amit a magánéletükből erre a közös játékra szánnak -a versenyidőpontokat a végtelen más és prioritást élvező tevékenységük ellenére lehetőleg nem elfeledve- azzal fognak foglalkozni, hogy Ferihegyen melyik a jobb oldali küszöb, hogy melyik az 1-es, melyik a 2-es pálya és mindezek mellé ráadásul elengedhetetlen késztetést éreznek még egy kis plusz kihívásra?
"Egy kérdés csupán: nem lenne egyszerűbb, vagy célszerűbb, ha kijelölnénk a 4 pálya közül egyet és mindig az lenne a mérvadó a versenyben?" #73845.
Ám, ha már így behoztad a feszkót újból 48 óra után:
Szerinted ebben a versenyben résztvevők, akik nagy része (mint én is) totál amatőr és a játék valamint az időjárás szeretete miatt játszanak, abban a néhány percben, amit a magánéletükből erre a közös játékra szánnak -a versenyidőpontokat a végtelen más és prioritást élvező tevékenységük ellenére lehetőleg nem elfeledve- azzal fognak foglalkozni, hogy Ferihegyen melyik a jobb oldali küszöb, hogy melyik az 1-es, melyik a 2-es pálya és mindezek mellé ráadásul elengedhetetlen késztetést éreznek még egy kis plusz kihívásra?
Nem egészen értem ezt a elégedetlenséget, ami megy ezeken a ferihegyi méréseken. Annyira nem jók a modellek, hogy ennyit számítson, ha nem egy pontban vannak a mérések. Egyébiránt meg szerintem korrekten le lett írva, mikor melyik pályavégen lévő mérés kerül be (ha meg nem írjuk le, az a baj), megnézi az ember, hogy milyen szelet vár, aztán aszerint nézi, hova tippelje meg a hőmérsékletet. Legalább van benn egy kis plusz kihívás.
"Egyébként Ferihegy is egy adott pont, hiszen a 4 lehetséges közül mindig csak egy kerül be a METAr-okba"
Erről van szó, tehát nem egy adott pontra tippelünk.
Ha 4 lehetséges pont van, akkor nem lehet egy - kvázi majd később kiderül, hogy melyik- pontra tippelni. Ez olyan, mintha én elhelyeznék a városban 4 helyre mérőt (lenne köztük keményen fagyzugos hely és dombtető is) és az lenne a feladat, hogy tippeljük meg mennyi lesz a 4 mérő közül a ma és a min, ráadásul kikötném, hogy milyen széliránynál melyik lesz az aktuális.
Jelen feltételek mellett a versenyzők Ferihegy címszó alatt egy kisebb településnyi területen elhelyezett mérőpontokra tippelnek, de nem tudják, hogy éppen melyikre. Nem egy pontra, hanem valamelyikre a sok közül. Nyilván túlzás, de ezzel az erővel lehetne, hogy tippeljünk egy járásra, ahol több mérő van elhelyezve.
Értem, hogy a METAR-ba kerül, de szerintem METAR nélkül is elfogadná mindenki az egyik (előre kiválasztott) mérőpont eredményét, gondolom mindenki előtt vagytok annyira hitelesek.
Ismét hangsúlyoznám: nincs különösebb jelentősége, csak -és ez lehet az én hibám, vagy a szakmámból fakadó nünükém, ezt kérlek nézzétek el nekem- én általában szeretem a pontosan előre meghatározott és körülírt feltételeket egy adott feladat (jelen esetben a tippelés) megoldásánál.
Egyébként túl lett beszélve a dolog, induljunk Debrecenbe!
Erről van szó, tehát nem egy adott pontra tippelünk.
Ha 4 lehetséges pont van, akkor nem lehet egy - kvázi majd később kiderül, hogy melyik- pontra tippelni. Ez olyan, mintha én elhelyeznék a városban 4 helyre mérőt (lenne köztük keményen fagyzugos hely és dombtető is) és az lenne a feladat, hogy tippeljük meg mennyi lesz a 4 mérő közül a ma és a min, ráadásul kikötném, hogy milyen széliránynál melyik lesz az aktuális.
Jelen feltételek mellett a versenyzők Ferihegy címszó alatt egy kisebb településnyi területen elhelyezett mérőpontokra tippelnek, de nem tudják, hogy éppen melyikre. Nem egy pontra, hanem valamelyikre a sok közül. Nyilván túlzás, de ezzel az erővel lehetne, hogy tippeljünk egy járásra, ahol több mérő van elhelyezve.
Értem, hogy a METAR-ba kerül, de szerintem METAR nélkül is elfogadná mindenki az egyik (előre kiválasztott) mérőpont eredményét, gondolom mindenki előtt vagytok annyira hitelesek.
Ismét hangsúlyoznám: nincs különösebb jelentősége, csak -és ez lehet az én hibám, vagy a szakmámból fakadó nünükém, ezt kérlek nézzétek el nekem- én általában szeretem a pontosan előre meghatározott és körülírt feltételeket egy adott feladat (jelen esetben a tippelés) megoldásánál.
Egyébként túl lett beszélve a dolog, induljunk Debrecenbe!
Nekem nincs ezzel problémám, csak felhoztam, hogy Ferihegyen kívül is van ilyen.
Egyébként Ferihegy is egy adott pont, hiszen a 4 lehetséges közül mindig csak egy kerül be a METAr-okba, és ha nem mondtuk volna, valószínűleg senkinek eszébe sem jutna. A hivatalos szabály viszont ez, és ha azt akarjuk, hogy az aktuális paraméterek ugyanazok legyenek, mint ami a METAR-okba kerül (és ezzel bárki számára látható/ellenőrizhető legyen), akkor nincs mit tenni.
Egyébként Ferihegy is egy adott pont, hiszen a 4 lehetséges közül mindig csak egy kerül be a METAr-okba, és ha nem mondtuk volna, valószínűleg senkinek eszébe sem jutna. A hivatalos szabály viszont ez, és ha azt akarjuk, hogy az aktuális paraméterek ugyanazok legyenek, mint ami a METAR-okba kerül (és ezzel bárki számára látható/ellenőrizhető legyen), akkor nincs mit tenni.
Gondolod, hogy a parton fújó szél és tőle légvonalban 400 méterre fújó szél iránya különböző? Az erőssége nyilván lehet más, de ez nem akkora eltérés, mintha egy sok focipályányi nagy területen több mérő elhelyezésével kikeressük a legmelegebb és leghidegebb értéket, ráadásul a széljárástól függően választjuk ki az éppen aktuálisan versenyben érvényest. Szerintem.
Amúgy kiállhatok én az udvaromra adott időpontban felemelt kézzel (kb 250 cm magas) vagy a satya-féle
jakuzzi tetőre (+ 80 cm) egy manuális szélmérővel, ha a parti szélmérés zavar valakit. A háztető gerincére viszont nem szeretnék felmászni, de még akkor se lenne meg a 10 méter. Persze az is opció, hogy mostantól a parti állomás adatait fogadjuk el (időnként itt is van élő észlelés) és akkor máris sikerült a siófoki forduló "szélkérdését" megoldanunk.
Ragozhatjuk tovább a dolgokat a végtelenségig, de ne feledjük, annyi volt a felvetésem, hogy lehetőleg egy adott pontra kelljen tippelni. Ez néhány helyen a csapadékmérésnél, nálam a szélnél nem valósul meg, de ez csak egy paraméter, míg a ferihegyinél gyakorlatilag az összes szabadon változó.
Még egyszer: nincs nagy jelentősége, csak megemlítettem.
Amúgy kiállhatok én az udvaromra adott időpontban felemelt kézzel (kb 250 cm magas) vagy a satya-féle
Ragozhatjuk tovább a dolgokat a végtelenségig, de ne feledjük, annyi volt a felvetésem, hogy lehetőleg egy adott pontra kelljen tippelni. Ez néhány helyen a csapadékmérésnél, nálam a szélnél nem valósul meg, de ez csak egy paraméter, míg a ferihegyinél gyakorlatilag az összes szabadon változó.
Még egyszer: nincs nagy jelentősége, csak megemlítettem.
Debrecennel kezdtünk nyáron is és most is.
Úgyhogy hajrá, lehet is tippelni: Link
A téli versenykörre sok sikert kívánok mindenkinek!
A téli versenykörre sok sikert kívánok mindenkinek!
Vagy mondjuk Siófokon a szelet a Balaton partján, a hőmérsékletet meg a város másik felén. 
Egyébként láttuk, hogy a csapadéknál is vannak hasonló eltérések némely állomásoknál, szerintem nincs ezzel semmi probléma.
Egyébként láttuk, hogy a csapadéknál is vannak hasonló eltérések némely állomásoknál, szerintem nincs ezzel semmi probléma.
Értem én, de ez kicsit olyan, mintha a miskolci fordulóban a maximumot az Avason, a minimumot pedig a domb tövében mérnénk, az aktuálist pedig attól függően, hogy éppen merről fúj a szél.
Mivel egy fordulóról van szó, nincs nagy jelentősége, de a versenyben -szerintem- egy adott pont napi időjárására kell tippelni.
Mivel egy fordulóról van szó, nincs nagy jelentősége, de a versenyben -szerintem- egy adott pont napi időjárására kell tippelni.
Szerintem a törekvés jó.
A minimumok közül a legalacsonyabb, a maximumok közül a legmagasabb érték számít, tehát leginkább törekednek a nagyváros-hatás kiküszöbölésére kedves doktor bácsi.
A minimumok közül a legalacsonyabb, a maximumok közül a legmagasabb érték számít, tehát leginkább törekednek a nagyváros-hatás kiküszöbölésére kedves doktor bácsi.