Információk az előrejelzési versenyhez
Versenyinformációk
A VERSENYSZABÁLYZATÚj előrejelzés elküldése az előrejelzési versenybe
A legutóbbi forduló eredménye
A verseny összesített állása
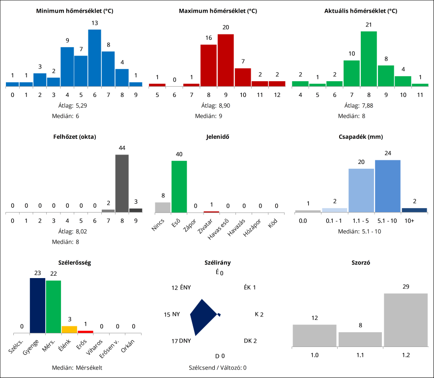
A 3 kieső fordulót nem tartalmazó összesített lista
A synop-kódok értelmezéséhez egy kis segítség
Szélirány-meghatározáshoz segítség
Stelvio segítségével megjelenített összesített ranglista
Stelvio segítségével megjelenített örökranglista
Stelvio segítségével megjelenített dicsőséglista
A meteorológiai állomások elhelyezkedése
A meteorológiai állomások beosztása
De hogyan lesz ebből így 7 fokos minimum, ha 19 óráig már csak 1 óra van, és jelenleg 3 fok van?! 
Én sem változtattam az 1.2-esen, de nem is nagyon láttam értelmét, még mindig akkora a modellkáosz. A szorzó legalább csak úgy magában is kompenzál, már ha nem lesznek 0 pontjaim
A Tmin valószínűleg nekem is bukós, hacsak nem indul be a lángszóró este 7-ig valamilyen csoda folytán.
Elkészítettem az összefoglalót: Link
Elkészítettem az összefoglalót: Link

Ha monoton csökkenést vársz, akkor Tmin = Tmax, ugyanis a 06 UTC-s pillanatnyi T mindkettőbe beleszámít (Tmin: 18 - 06UTC, Tmax: 06 - 18UTC) és 06UTC-kor áll be a Tmax és a Tmin is.
Nekem eddig sem volt unalmas a februári idő, most meg aztán még izgalmasabb időszak jön
Nekem eddig sem volt unalmas a februári idő, most meg aztán még izgalmasabb időszak jön
Én 7/8 min/max mellett 4-et adtam Takt-ra 
Merakkormég úgy volt...
Merakkormég úgy volt...
Ja, itt van pl. a szélfordulás kérdése is. A délkeletiből (déliből?) északnyugatira fordulás biztos, de hogy épp 12-kor milyen fázisban lesz ez, az jó kérdés.
Ahogy a tippeket elnézem, holnapra igazi hőm.beragadást, mint ami ma van az állomáson, nem adott senki. Kaszabubu ragasztotta be leginkább a T-t +5/+5 fokkal (Tmax/Takt), de a minimumra meg +6 fokot adott, ami a definíció értelmében nem lehet magasabb a Tmax-nál, lehet felcserélte...
Ahogy a tippeket elnézem, holnapra igazi hőm.beragadást, mint ami ma van az állomáson, nem adott senki. Kaszabubu ragasztotta be leginkább a T-t +5/+5 fokkal (Tmax/Takt), de a minimumra meg +6 fokot adott, ami a definíció értelmében nem lehet magasabb a Tmax-nál, lehet felcserélte...
Egyébként nincs semmi gond ezzel a holnapi nappal, csak a "ha"-ból van egy kicsit sok 
Ráadásul 2 napja lövik fölé a T-t a modellek. Nem kicsit, nagyon...
Ráadásul 2 napja lövik fölé a T-t a modellek. Nem kicsit, nagyon...
Én sem változtattam az 1,2-esen, pedig legalább a Tmin tuti 0 pontos. Viszont a holnapi T-k még akár be is jöhetnek, vagy legalább pár pontot hozhatnak, a többi pedig jó lehet.... Ilyen nagy hőmérsékleti bizonytalanságban nem módosítottam inkább. Egyelőre nem akar a felszini szél déliesbe fordulni, ami a felszínen enyhülést hozhatna. Ha a holnap délutáni északnyugatira fordulásig marad keleti, délkeleti, akkor maradhat a hőm. bearagadás holnap is...
Én inkább bevállalom, hogy kieső forduló legyen, de hogy nem változtatok az egykettesen, az tuti
D
Még most is fogalmam sincs a holnaptól, miután a jelen kiinduló állapot sem olyan mint kellene lennie...
Még most is fogalmam sincs a holnaptól, miután a jelen kiinduló állapot sem olyan mint kellene lennie...
Nem tök mindegy? Előrejelezhetetlen jelenleg a hétfő, lehet épp az jön be amit adtál 11-re
Én hagynám
Elszámoltam az időmet szokás szerint. 55-kor kezdtem betölteni a modellelőrejelzéseket, 58-ra kellően megrémültem a változatosságtól, majd 59-kor leadtam valamit, érdekes lesz
A frászt hoztad rám, de legalább végre én is leadtam egy 1.2-es tippet 
Elég monoton lett, de meglássuk
Elég monoton lett, de meglássuk
Végre egy könnyű forduló. Mivel ahány modell, annyiféle verzió van hétfőre, így azt adok amit csak akarok
Az előre.... Basszus 
Na majd akkor most
Szerk.:
Ja, hogy hétfői időpont? Basszus visszavonva
Na majd akkor most
Szerk.:
Ja, hogy hétfői időpont? Basszus visszavonva
Mosonmagyaróváron, a fogorvosnál ülve adtam le 2 perce az előrét... 
Na erre most nagyon kíváncsi vagyok
Na erre most nagyon kíváncsi vagyok
Azt hiszem egy mai 14 UTC-s siófoki forduló ütött volna.
Amikor reménykednél egy 6 fokos Takt-ban, erre bumm 12 fok.
Amikor reménykednél egy 6 fokos Takt-ban, erre bumm 12 fok.

Köszönjük szépen, lehet is tippelni: Link
Tullner_Job-ot várjuk a forduló végén egy új helyszínnel és időponttal majd!
Tullner_Job-ot várjuk a forduló végén egy új helyszínnel és időponttal majd!
Ha csak én maradtam, akkor Kecskemétet javasolnám ismét. Hétfő (február 8.) 12 óra (11 UTC).
Zorro itt van, gyakran belép (bár az elmúlt jó 10 évben jórészt inkognitóban).
Ha 9-ig adhatok helyszínt és időpontot, én várnék 8:59-ig Tullner Jóbra. Megdolgozott ő a 13. helyéért és azért, hogy előttem írjon ki fordulót, nem akarom elvenni tőle. (8:58-ra emlékeztetőt állítottam be, a a helyszínt és az időpontot már kifundáltam.) Ha viszont nem jön, beírom a javaslatot, megadván akkor neki a lehetőséget, hogy csak csere legyen a sorrendben, azaz ne vesszen el a kiírási lehetősége.
Ha 9-ig adhatok helyszínt és időpontot, én várnék 8:59-ig Tullner Jóbra. Megdolgozott ő a 13. helyéért és azért, hogy előttem írjon ki fordulót, nem akarom elvenni tőle. (8:58-ra emlékeztetőt állítottam be, a a helyszínt és az időpontot már kifundáltam.) Ha viszont nem jön, beírom a javaslatot, megadván akkor neki a lehetőséget, hogy csak csere legyen a sorrendben, azaz ne vesszen el a kiírási lehetősége.
Nem rossz ötlet, de erre nem mindig van idő, most meg már pláne.
Zorro, ha ma este 9-ig ad helyet és időt, akkor OK, ha nem, akkor kiírjuk.
Zorro, ha ma este 9-ig ad helyet és időt, akkor OK, ha nem, akkor kiírjuk.
És mi lenne, ha a következő forduló kiírója (jelen estben Zorro) választhatna helyszínt és időpontot. És ha megjön az eredeti kííró, övé lehetne az ezt követő forduló?
Írtam neki privátot, de nem olvasta. Ma Kornéllal egyeztetek aztán kiírjuk valahova.
Sokan várjuk, így célszerű, ha a szervezők közül valaki kiírja, mert elkésünk vele.
Túl az egyik mumuson... Most sem tört meg a felcsúti átkom.
Hátra van viszont még a másik, Csíkszereda. Ez nem célzás volt...
Hát vagyunk hátul páran a régi nagy versenyzőkből, de még nem futott le az évad. Elég szeszélyes ez a tél, hol fent-hol lent, nincs egy 2 hetes csontig ható fagy, ami jellemző volna ilyenkor.
Tartok majd a nyári T. maxoktól, ha beüt a száraz hőség.
Tartok majd a nyári T. maxoktól, ha beüt a száraz hőség.
Bosszankodásra talán még herbarynak is van oka
Te már háromszor voltál húsz pont felett, nekem pedig úgy pattan vissza a húsz pontról az előrejelzésem, mint a brit AC!
Négyszer voltam 19 pont felett, de a huszast nem tudtam átlépni. Persze, amilyen hektikus fordulók vannak, nagyon elégedett vagyok ezzel is. A -2,8 nulla pontot hozott volna, a -0,5 pedig hármat. De ez egy ilyen játék!
Akkor nem bízta a véletlenre a tizedes hajszálat az állomást irányító hatalom
Hát igen, 18 UTC-kor is -0,5°C volt. Ugye ez az OMSZ-nál már -1-nek számít, míg nálunk 0-nak.
Fájó az az egy tized a Takt-nál, főleg úgy, hogy felhő is alig volt és már előtte egy órával -1-et mért az állomás.
Gratula az elégedetteknek.
Gratula az elégedetteknek.
Mzs: ha még kaptam volna érte egy túrótortát... 
Az utóbbi 5 fordulómból négy 15 pont alatti, ajajjjj
Az utóbbi 5 fordulómból négy 15 pont alatti, ajajjjj
Nem maradhattunk csavar nélkül a végén sem:
-2,8°C és szélcsend vs (400 méterre) -0,5°C és 2,2 m/s északi
Naná, hogy egy tizedre a -1 foktól, hol máshol
Gratulálok Pestimetnek és a jól szereplőknek.
-2,8°C és szélcsend vs (400 méterre) -0,5°C és 2,2 m/s északi
Naná, hogy egy tizedre a -1 foktól, hol máshol
Gratulálok Pestimetnek és a jól szereplőknek.
