Információk az előrejelzési versenyhez
Versenyinformációk
A VERSENYSZABÁLYZATÚj előrejelzés elküldése az előrejelzési versenybe
A legutóbbi forduló eredménye
A verseny összesített állása
A 3 kieső fordulót nem tartalmazó összesített lista
A synop-kódok értelmezéséhez egy kis segítség
Szélirány-meghatározáshoz segítség
Stelvio segítségével megjelenített összesített ranglista
Stelvio segítségével megjelenített örökranglista
Stelvio segítségével megjelenített dicsőséglista
A meteorológiai állomások elhelyezkedése
A meteorológiai állomások beosztása
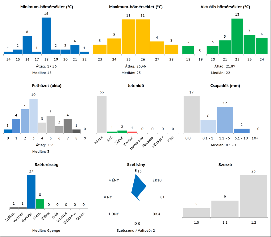
A T akt: 37,4°C forrása mi? Gyuris Feri észlelt, Metészben 37.6-ot adott, az ogimet is 37.6-ot mutat, a met.hu helységenkénti kerekített 38 fok.
Összfelhőzet: 2 okta
Jelenidő: Nincs
T min: 22,7°C.
T max: 38,3°C
T akt: 37,6°C
Szélirány: 311° (északnyugati)
Erőssége: 3 m/s (gyenge)
Csapadék: Nem volt
Jelenidő: Nincs
T min: 22,7°C.
T max: 38,3°C
T akt: 37,6°C
Szélirány: 311° (északnyugati)
Erőssége: 3 m/s (gyenge)
Csapadék: Nem volt
202407151800 AAXX 15181 12982 05/70 60303 10337 20182 30012 40105 52001 60002 333 10383 58011 60007 70000 8//99 8//99 91005
Elvileg a Tmax:38,3C fok lett
Az este 8-as adatoknál már gyenge ÉK-i szél (30 foknál 3m/s) van 60303 és erősen felhős lett mostanra (6okta)
Csapadék nem sok volt, de 50k-re Ny-ra akár 10+-os is lehetett volna, mondjuk mint Bubu bátyónál (talán).
Ezen (és több más mai szegedi ogimetes synopban) valamiért 0 okta szerepel a felhözetnél, igy a 2 oktát a METÉSZ-re bevitt állomási észlelésböl vettem.
A 10 percenkénti adatoknál 38,2°C-ot látok legmagasabbnak. Kérdés volt-e az ezek közötti idöszakokban 38,5°C felett.
A 10 percenkénti adatoknál 38,2°C-ot látok legmagasabbnak. Kérdés volt-e az ezek közötti idöszakokban 38,5°C felett.
202407151400 AAXX 15141 12982 25970 03103 10376 20165 30017 40108 57009 333 58024 60005 70000 91005 90710 91107==
Aláírnám mára is 
12 UTC-kor 36,8C volt, amivel pont 1 fokkal voltunk elmaradva a tegnapi 12 UTC-s értéktöl.
12 UTC-kor 36,8C volt, amivel pont 1 fokkal voltunk elmaradva a tegnapi 12 UTC-s értéktöl.
Dél felé észlelve, tőlem a Met. állomás kb. 3 km.
Derült, semmi felhő kiválás, majdem szélcsend (gyenge északi 2 m/s) A T.akt: 33,3 ( itt a hősziget termel már) T.min: 24,2 volt. + 1,5 fok.
Derült, semmi felhő kiválás, majdem szélcsend (gyenge északi 2 m/s) A T.akt: 33,3 ( itt a hősziget termel már) T.min: 24,2 volt. + 1,5 fok.
Elkészült az összefoglaló.
Egy viszonylag könnyed, átlagjavító fordulónak tűnik ez a szegedi, persze az utolsó szó az időjárásé lesz. 

Aszt hittem 20 óráig szól a mozi, elcsesztem..( mult hét Kékes).
Na majd ma indulok a második sorból.
Remélem Sz..vagy magyar lesz a verseny bíró.
Na majd ma indulok a második sorból.
Remélem Sz..vagy magyar lesz a verseny bíró.
Hú, köszönjük szépen! Igazából ez a térkép Link tett gyanakvóvá, ezután próbáltam meg valahogy kideríteni, hogy az itt szereplő 25°C az vajon 24,5°C, vagy netán több.
A 9. forduló újrapontozva, Tmax 25 fok, így a hármas holtversenyes ezüstérmesek nyerték a fordulót, gratulálok és elnézést a figyelmetlenségért! Link
Világosnak tünik ebböl. Metész-en nem szerepelt, synop táviratól is kimaradt (...), így nyilt forrásból csak a Pestimet által linkelt napijelentésböl látszik. Ezt az utóbbit ilyen formában nem is ismertem, de a játékhoz ez sem mindig jó, mert ebben 06 UTC-ig szóló 24 óras értékek szerepelnek, nem a szinoptikus minimum/maximum. De most egyértelmü, hogy a max. még elözö nappal állt be, s nem az azt követö éjszaka 
Szerk: Ráadásul a metneten követhetö 10 perces adatoknál is csak 24,2 a legmagasabb, de persze a 10 perces adatok közötti idöszakban simán elöfordulhat azoknál magasabb érték.
Link
Szerk: Ráadásul a metneten követhetö 10 perces adatoknál is csak 24,2 a legmagasabb, de persze a 10 perces adatok közötti idöszakban simán elöfordulhat azoknál magasabb érték.
Link
Az ODP-s adatfájlban is annyi szerepel:
20240708; 53101;Kékestető ; 47.8722; 20.0128; 1010.8; 0.6; ; 20.6; ; 18.3; ; 24.6; ; -999; ; 904.9; ; 68; ; -999; ; 1789.5; ; 14.075; ; 1.8; ; ÉÉNy; ; 6.9; ; 39; ;21:11; ; 1017.0; ; 1.8; ; 4.5; ; -999; ; -999; ; -999; ; -999; ; -999; ; 17.4; ; -999; ;EOR
És csak zárójelben, mielőtt valaki esetleg rákérdezne, az itt szereplő 18,3 °C-os minimum az automata adatsora alapján esti, de még 20 óra előtti érték ( Link ), ami a tényleges napi (24 órás) minimum volt, de nálunk a versenyben az nem számít, mert itt csak az előző este 20 órától aznap reggel 8-ig tartó 12 órás időszak (alias szinoptikus minimum) játszik. Utána éjjel pedig még volt hűvösebb, ezért szerepel egy harmadik érték (17,8 °C) a Pestimet által linkelt napijelentésben, ami másnap reggel 6-kor készül 24 órás összegzéssel.
Mondtam már, hogy imádom a meteorológiai adatszolgáltatás világát?
20240708; 53101;Kékestető ; 47.8722; 20.0128; 1010.8; 0.6; ; 20.6; ; 18.3; ; 24.6; ; -999; ; 904.9; ; 68; ; -999; ; 1789.5; ; 14.075; ; 1.8; ; ÉÉNy; ; 6.9; ; 39; ;21:11; ; 1017.0; ; 1.8; ; 4.5; ; -999; ; -999; ; -999; ; -999; ; -999; ; 17.4; ; -999; ;EOR
És csak zárójelben, mielőtt valaki esetleg rákérdezne, az itt szereplő 18,3 °C-os minimum az automata adatsora alapján esti, de még 20 óra előtti érték ( Link ), ami a tényleges napi (24 órás) minimum volt, de nálunk a versenyben az nem számít, mert itt csak az előző este 20 órától aznap reggel 8-ig tartó 12 órás időszak (alias szinoptikus minimum) játszik. Utána éjjel pedig még volt hűvösebb, ezért szerepel egy harmadik érték (17,8 °C) a Pestimet által linkelt napijelentésben, ami másnap reggel 6-kor készül 24 órás összegzéssel.
Mondtam már, hogy imádom a meteorológiai adatszolgáltatás világát?
Bocsi, lehet, hogy tőlem származik a 24-es Tmax-os infó
Link
Bár pont azért írtam a hozzászólás végére, hogy "ugye?" mert nem voltam benne 100%-ig biztos.
Bár pont azért írtam a hozzászólás végére, hogy "ugye?" mert nem voltam benne 100%-ig biztos.
Az előző fordulóhoz: a hungarometes napijelentés Link szerint 24,6°C volt a Tmax, persze ez lehet, hogy egy másik kékestetői állomás.
Gratulálok met4ever-nek, a Kékes Urának!
Nekem ment a forduló a levesbe (a múlt heti 14,3-as bécsi pontszám jön a helyére), bár a 13,2 pontommal akár még elégedett is lehetnék a mezőnyátlagot nézve, de nem vagyok az... 
No, hát akkor Szeged!
No, hát akkor Szeged!
Köszönöm! Folytatom az 1,2-esről lekéső 1,1-gyel nyertes hagyományt.
Kicsit vigasztal, hogy az elvesztett 1,5 pont sem lenne elég (még?
) Hófúvás megelőzéséhez a kiesős összetettben.
Nem volt egyszerü forduló ez sem. Elég a csapadéktérképre tekinteni: a környéken 0 mm-es, de bőven 10 mm feletti helyek is előfordulnak. Nagy mák a 0,1 - 1 mm-es kategória eltalálasa. Az bejött, hogy a zivatarok nem engedik 24 fok fölé a T-t, de az már nem, hogy 20 órara a zivatarok után visszaugrik 20 fok fölé a T.
Kicsit vigasztal, hogy az elvesztett 1,5 pont sem lenne elég (még?
Nem volt egyszerü forduló ez sem. Elég a csapadéktérképre tekinteni: a környéken 0 mm-es, de bőven 10 mm feletti helyek is előfordulnak. Nagy mák a 0,1 - 1 mm-es kategória eltalálasa. Az bejött, hogy a zivatarok nem engedik 24 fok fölé a T-t, de az már nem, hogy 20 órara a zivatarok után visszaugrik 20 fok fölé a T.
Délidő, nyáridő van.
Sokan felejtik az ilyen határidős beírást.
Szép helyezés részemről a 7. hely most. Remélem már csak jobb lesz.
Sokan felejtik az ilyen határidős beírást.
Szép helyezés részemről a 7. hely most. Remélem már csak jobb lesz.
Csináltam egy kiesős listát, siettem, lehet benne hiba, szóljatok! Érdekes hármas holtversenyek is vannak benne. Kicsit megcsappant a tippelési kedv.
A fordulót met4ever nyerte 1.1-es szorzóval, gratula! Mögötte igen sűrű a mezőny, satya, glaci29 és Pestimet fért fel még holtversenyben a 2. helyre.
Forduló: Link
Összetett: Link
Honza lesz a következő kiíró, kérünk egy helyszínt és időpontot.
Választható helyszínek:
Békéscsaba [12992]
Budapest-Pestszentlőrinc [12843]
Eger [12870]
Felcsút [metnet-es észlelő]
Miskolc-Diósgyőr [12772]
Mosonmagyaróvár [12815]
Nagykanizsa [12925]
Paks [12950]
Pécs-Egyetem [38528]
Siófok [metnet-es észlelő]
Szeged [12982]
Meteorológiai állomások beosztása: Link
Forduló: Link
Összetett: Link
Honza lesz a következő kiíró, kérünk egy helyszínt és időpontot.
Választható helyszínek:
Békéscsaba [12992]
Budapest-Pestszentlőrinc [12843]
Eger [12870]
Felcsút [metnet-es észlelő]
Miskolc-Diósgyőr [12772]
Mosonmagyaróvár [12815]
Nagykanizsa [12925]
Paks [12950]
Pécs-Egyetem [38528]
Siófok [metnet-es észlelő]
Szeged [12982]
Meteorológiai állomások beosztása: Link
Annyi lett a hivatalos is. Nem is tudom, hogy gondolhattam, hogy épp a Kékes kihúzza csapadék nélkül. Bár visszanézve elég sokáig kerülgették délről, majd később északról a cellák.
Tmin: 19
Tmax: 24
Felhőzet: 7 okta
Jelenidő: nincs sz. jelenség
Takt: 19
Szél: gyenge északi
Csapi: 0,1-1 mm
Ugye?
Tmin: 19
Tmax: 24
Felhőzet: 7 okta
Jelenidő: nincs sz. jelenség
Takt: 19
Szél: gyenge északi
Csapi: 0,1-1 mm
Ugye?
A Mátra déli lejtőin zivatar van, (az észlelő dörgést adott). Kis szerencsével dél felé elkerülheti a csúcsot, cserébe megfogta 24 fok körül a Tmax-ot.
(21,5 fok volt már csak az imént). Hajrá nullcsapadék! 
F.h.: Bp. XI. Gazdagrét
F.h.: Bp. XI. Gazdagrét
Picit csúszhatott volna még lejjebb azért...
Vajon meglesz a nyári nap? Lesz mérhető csapadék? Jó kis forduló
Vajon meglesz a nyári nap? Lesz mérhető csapadék? Jó kis forduló
20,8°C-kal indultunk 19:57-kor és 3 okta felhőzettel (Metész). Azóta már csak kerekített 20°C van. Hajrá 0,1 - 1 mm!
Vamos mindkettö innen Németországból, de persze elfelejtettem leadni a nagy nézésben
Én pedig a spanyol-német EB-negyeddöntőt néző versenytársak figyelmét hívom fel, hogy az esetleges hosszabbítások miatt nem biztos, hogy 8 előtt vége lesz a meccsnek.
Akkor inkább adjuk le félidőben a tippet! Vagy 6 előtt. Akkor még összecsapni sem kell. 
Vamos Espana!
Vamos Espana!
Köszönöm!
Jövő héten helycsere.
Bácsi pedig egy jó kis újpesti focista volt.
Az én bácsimért meg majd számolunk.
Zivi: lottóznom kellett volna a múlt héten.
Jövő héten helycsere.
Bácsi pedig egy jó kis újpesti focista volt.
Zivi: lottóznom kellett volna a múlt héten.
Ismét sikerült az utolsó helyen végezni, de kit érdekel, a játék és a társaság a lényeg.
Zsolti bácsinak gratulálok
Zsolti bácsinak gratulálok
Én el sem tudom képzelni hol lehetek. Valahol a béka segge alatt kb...
