Információk az előrejelzési versenyhez
Versenyinformációk
A VERSENYSZABÁLYZATÚj előrejelzés elküldése az előrejelzési versenybe
A legutóbbi forduló eredménye
A verseny összesített állása
A 3 kieső fordulót nem tartalmazó összesített lista
A synop-kódok értelmezéséhez egy kis segítség
Szélirány-meghatározáshoz segítség
Stelvio segítségével megjelenített összesített ranglista
Stelvio segítségével megjelenített örökranglista
Stelvio segítségével megjelenített dicsőséglista
A meteorológiai állomások elhelyezkedése
A meteorológiai állomások beosztása
Elkészült az összefoglaló.
Ahogyan met4ever is már említette, a felhőzet és a szélirány eltalálása hozhat plusz pontokat, minden másnál nagyjából egységesek a tippek. 

Tényleg jól belecsaptál a lecsóba az 1,1 mm felett teljesítö 36 fokos záporral 
A felhözet és a szélirány eltalálása sokat hozhat a fordulóban. A mai szélirány teljesen határozatlan, kb mint egy megforgatott szerencsekerék
A felhözet és a szélirány eltalálása sokat hozhat a fordulóban. A mai szélirány teljesen határozatlan, kb mint egy megforgatott szerencsekerék
Biztos voltam benne, hogy ezt játszom el én is, mert mindig mást kellett csinálnom leadás helyett, de aztán megkönyörült rajtam a tiktakkos óra
Ja 14 UTC és nem 14 óra a határidö, akkor még sincs veszve minden
Ugy felejtettem el, hogy ezt olvastam. Korábban nem felejtettem el, de akkor még nem adtam le semmit
Az igazán bátrak/bevállalósak pedig kivárnak az 1,2 végéig....és elfelejtik.
A bátrak/elövigyázatosak már dobhatnak is egy 1,2-esnek számitó 1,6-ost
Köszi, lehet is tippelni: Link
A kiesős listát köszönjük hófúvásnak!
(Agyhalál az egész meteorológiai adatszolgáltatás, adatközlés, HVBAF!)
A kiesős listát köszönjük hófúvásnak!
(Agyhalál az egész meteorológiai adatszolgáltatás, adatközlés, HVBAF!)
Kérek jelzést, hogy akkor a most 13 fokkal számolt alapján már számolhatok?
Végre valaki rálát a tényleges szinop. minimumra 
Persze én is magam ellen kutattam, de fontosabb, hogy a valós adatokat használjuk, még ha megint egyetlen tizeden is múlt.
Persze én is magam ellen kutattam, de fontosabb, hogy a valós adatokat használjuk, még ha megint egyetlen tizeden is múlt.
Megkérdeztem a szolgálatban lévő kollégát, hogy nézzen rá, ő is 13,4 °C-os minimumot látott, szóval akkor szerintem mehet a 13 (még ha ezzel magam ellen is beszélek).
Menjen a gőzös Kanizsára. 
A következő forduló legyen Nagykanizsán, 2024.08.16-án (péntek) 16:00-kor.
A következő forduló legyen Nagykanizsán, 2024.08.16-án (péntek) 16:00-kor.
A tízpercesek között 1,5 fokot találok, de lehet tíz percen belül, amire nem látunk rá lement 13,4 fokig.
Volt egy megérzésem, hogy el fog tűnni az ogimetről (nem az első ilyen eset), így lementettem.

Ja, hogy a 06 UTC, amitöl számít, nyáron nem 7 óra, hanem már 8
Akkor tényleg nem elözö reggelröl származhat az az érték.
Esetleg vki hozzáfér a 12 óras éjszakai (18 - 06UTC) minimumokhoz?
Ez egy alap info lenne egy normális synopban, ha még normális lenne...
Akkor tényleg nem elözö reggelröl származhat az az érték.
Esetleg vki hozzáfér a 12 óras éjszakai (18 - 06UTC) minimumokhoz?
Ez egy alap info lenne egy normális synopban, ha még normális lenne...
Nem tudom, viszont valaki közben átpontozta 14 °C-ra (nekem így is jó lenne). 
Ez a kör legalább kicsit kompenzálta a múlt heti kihagyott fordulómat.
Mondjuk jobban megnézve, szerintem a napijelentésben lévő 13,4 °C ezúttal valóban a tegnap reggeli minimum volt, mivel előtte nap reggel 8 óra körül már 15-17 °C volt, így akkor minden bizonnyal mégis a 13 °C lesz a helyes.
Ez a kör legalább kicsit kompenzálta a múlt heti kihagyott fordulómat.
Mondjuk jobban megnézve, szerintem a napijelentésben lévő 13,4 °C ezúttal valóban a tegnap reggeli minimum volt, mivel előtte nap reggel 8 óra körül már 15-17 °C volt, így akkor minden bizonnyal mégis a 13 °C lesz a helyes.
A Napijelentésben megtaláltam az ominózus 13,4°C-ot:
Link
Ez viszont az elmúlt 24 óra Tmin-je tegnap reggel 06UTC-ig, a versenyben meg csak az elmúlt 12 óra Tmin-je játszik.
Tegnapelött reggel 6:50 körül épp ennyi lehetett a T,így innen lehet a 13,4°C. Viszont a 12 órás szinoptikus Tmin-re nyílvános adatot nem találok, mivel kimaradt a synopból is....
Bubu: ha a metneten 10 percenként megjelenö adatokra gondolsz, azoknál valóban 13,5°C a legalacsonyabb, de a Tmin két 10 percenkénti pillanatnyi érték között is simán beállhat.
Link
Ez viszont az elmúlt 24 óra Tmin-je tegnap reggel 06UTC-ig, a versenyben meg csak az elmúlt 12 óra Tmin-je játszik.
Tegnapelött reggel 6:50 körül épp ennyi lehetett a T,így innen lehet a 13,4°C. Viszont a 12 órás szinoptikus Tmin-re nyílvános adatot nem találok, mivel kimaradt a synopból is....
Bubu: ha a metneten 10 percenként megjelenö adatokra gondolsz, azoknál valóban 13,5°C a legalacsonyabb, de a Tmin két 10 percenkénti pillanatnyi érték között is simán beállhat.
Ez a 13,4 fokos Tmin honnan van? Ogimeten nincs benne a synopban, Meteomanz-on meg hülyeségeket látok.
MetÉsz-en sem adta meg az észlelö a minimumot, bezzeg a hóvastagságot 6:45-kor igen
MetÉsz-en sem adta meg az észlelö a minimumot, bezzeg a hóvastagságot 6:45-kor igen
A téli versenykörben Kornéllal át fogjuk gondolni a verseny pontozását. Az ogimet-en valamit megint szétb@sztak,a meteomanz is használhatatlan. Eger esetében, ha az óra 40.es adatokat vettük volna figyelembe akkor is gyenge déli szél lett volna, meg ha az óra egészeset, akkor is szintén. Korábban az ogimetre a 50-00 közötti 10 perces átlag szélsebesség és szélirány került be. A hőmérsékletre pedig a pontban egészkor mért érték, de nálunk a MET-ÉSZ játszott ilyen szempontból és ment a kontroll, hogy az észlelő az óra 50-es adatot írja-e be vagy sem. Ha nem, akkor mi ezt vettük figyelembe, mert elvileg azt kellene nekik beírni.
Mivel szerencsére már csaknem minden állomás adatai elérhetők itt a MetNet-en a téli versenykörtől több mint valószínű visszaállunk a régi metodikára és az alábbiak szerint fogjuk lebonyolítani a verseny pontozását, így a külföldi állomások sem fognak kilógni a sorból, ugyanis ott réges régen így működik a dolog, hozzáteszem jól:
Felhőzet, jelenidő: MET-ÉSZ-en észlelt legelső helyszíni észlelés.
T min, T max: Ez változatlan marad, szerencsére kinyerhetőek a főterminusi észleléskor.
T akt: Az óra 40-es adat fog mindig mérvadó lenni.
Szélirány szélsebesség: A T akt-hoz hasonlóan az óra 40-es adat fog számítani mint régen (30-40 közötti 10 perces átlagot vesz figyelmbe.
Csapadék: MET-ÉSZ.
Addig a maradék 7 forduló az alábbiak szerint pontozódik:
Felhőzet, jelenidő: MET-ÉSZ-en észlelt legelső helyszíni észlelés.
T min, T max: Kinyerhetőek a főterminusi észleléskor.
T akt: Az óra 50-es adat mérvadó.
Szélirány szélsebesség: Korábban az ogimetre az 50-00 közötti 10 perces átlag került fel, így az óra egészkor mért értékek számítanak.
Csapadék mennyisége: MET-ÉSZ.
Addig mindenki türelmét kérjük és megértését. Ideje végképp elengedni ezeket az oldalakat...
Mivel szerencsére már csaknem minden állomás adatai elérhetők itt a MetNet-en a téli versenykörtől több mint valószínű visszaállunk a régi metodikára és az alábbiak szerint fogjuk lebonyolítani a verseny pontozását, így a külföldi állomások sem fognak kilógni a sorból, ugyanis ott réges régen így működik a dolog, hozzáteszem jól:
Felhőzet, jelenidő: MET-ÉSZ-en észlelt legelső helyszíni észlelés.
T min, T max: Ez változatlan marad, szerencsére kinyerhetőek a főterminusi észleléskor.
T akt: Az óra 40-es adat fog mindig mérvadó lenni.
Szélirány szélsebesség: A T akt-hoz hasonlóan az óra 40-es adat fog számítani mint régen (30-40 közötti 10 perces átlagot vesz figyelmbe.
Csapadék: MET-ÉSZ.
Addig a maradék 7 forduló az alábbiak szerint pontozódik:
Felhőzet, jelenidő: MET-ÉSZ-en észlelt legelső helyszíni észlelés.
T min, T max: Kinyerhetőek a főterminusi észleléskor.
T akt: Az óra 50-es adat mérvadó.
Szélirány szélsebesség: Korábban az ogimetre az 50-00 közötti 10 perces átlag került fel, így az óra egészkor mért értékek számítanak.
Csapadék mennyisége: MET-ÉSZ.
Addig mindenki türelmét kérjük és megértését. Ideje végképp elengedni ezeket az oldalakat...
A fordulót lepontoztam, amit hófúvás és Pötty nyert. Gratulálok nekik!
Forduló: Link
Összetett: Link
Misimókus lesz a következő kiíró, így szeretnénk kérni egy helyszínt és egy időpontot.
Választható helyszínek:
Békéscsaba [12992]
Budapest-Pestszentlőrinc [12843]
Felcsút [metnet-es észlelő]
Miskolc-Diósgyőr [12772]
Nagykanizsa [12925]
Paks [12950]
Siófok [metnet-es észlelő]
Meteorológiai állomások beosztása: Link
Forduló: Link
Összetett: Link
Misimókus lesz a következő kiíró, így szeretnénk kérni egy helyszínt és egy időpontot.
Választható helyszínek:
Békéscsaba [12992]
Budapest-Pestszentlőrinc [12843]
Felcsút [metnet-es észlelő]
Miskolc-Diósgyőr [12772]
Nagykanizsa [12925]
Paks [12950]
Siófok [metnet-es észlelő]
Meteorológiai állomások beosztása: Link
Korábban is a 40-es értékek számítottak. Logikus.
A korábbi bejegyzésemet elírtam a széliránnyal kapcsolatban. Nem tudom miért, én egy másik dimenzióban versenyeztem és a Szegedi eredményekért szorítottam.
Bocs érte.
A korábbi bejegyzésemet elírtam a széliránnyal kapcsolatban. Nem tudom miért, én egy másik dimenzióban versenyeztem és a Szegedi eredményekért szorítottam.
De a szélnél elvileg (a hivatalosan már nem létező) szinop számítana, ahová az óra 40-es adat szokott bemenni, az meg déli volt.
Egyébként így, hogy már az összes automata pontos 10 perces adataihoz hozzáférünk, nem értem, miért kell ennyire túlbonyolítani az egészet, hogy teljesen random egy egymástól eltérő időpontokból veszünk az egyes paramétereket, lehetne egységesen mindig az óra 40-es adatokat mindenből a külföldi szinop adatokkal összhangban, oszt' viszont látásra (kivéve a vizuális észlelést, mert az nyilván akkor van, amikor az észlelő beészleli).
Egyébként így, hogy már az összes automata pontos 10 perces adataihoz hozzáférünk, nem értem, miért kell ennyire túlbonyolítani az egészet, hogy teljesen random egy egymástól eltérő időpontokból veszünk az egyes paramétereket, lehetne egységesen mindig az óra 40-es adatokat mindenből a külföldi szinop adatokkal összhangban, oszt' viszont látásra (kivéve a vizuális észlelést, mert az nyilván akkor van, amikor az észlelő beészleli).
A szél kb 10 percenként váltott irányt. Voltaképp nekem egyik sem volt jó, de ez azt hiszem a "lutri" kategória volt ma.
Hopp, ezt meg nem is néztem! Valahogy meg kéne alkossuk azt a szabályt ebben a káoszban, ami szerint pontozunk. Én most nem látom a sokféle adat között, remelem van, aki igen! ?
A 13:50-es szél, ahova a 27,2°C is érvényes, meg gyenge délnyugati:
Link
Link
Ogimeten ez a 14:10-es adatnak felel meg ránézésre (Metész 13:53-as is ennyi). Furcsa, hogy óra 10-es és 40-es adatok vannak fönt Ogimeten. Met.hu-n a 13:50-es kerekített 27 fok, előtte és utána 28 fok. Valószínűleg ez 27.2 a jó adat. Szél gyenge D.-i.
Sajnos sok lett a felhő (6 okta), így a Takt is csak 27,2 fok, pedig már 29 is volt kerekítve...
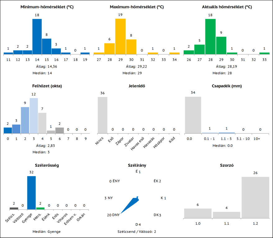
Elkészült az összefoglaló.
Az előző fordulóhoz hasonlóan ez sem tűnik túl izgalmasnak, megint lehet átlagot javítani. 

Na akkor aki még versenyben szeretne lenni, hamar kreáljon egy egynullást, én már megtettem