Információk az előrejelzési versenyhez
Versenyinformációk
A VERSENYSZABÁLYZATÚj előrejelzés elküldése az előrejelzési versenybe
A legutóbbi forduló eredménye
A verseny összesített állása
A 3 kieső fordulót nem tartalmazó összesített lista
A synop-kódok értelmezéséhez egy kis segítség
Szélirány-meghatározáshoz segítség
Stelvio segítségével megjelenített összesített ranglista
Stelvio segítségével megjelenített örökranglista
Stelvio segítségével megjelenített dicsőséglista
A meteorológiai állomások elhelyezkedése
A meteorológiai állomások beosztása

Ez alapján kerekített 6 mm lett Mosonmagyaróvár.
Tehát az 5-10 mm tipp lenne a nyerő.
F.h.: Bp. XXII. ker.
Tmin: 0,0°C
Tmax: 4,7°C (ugye itt 13 HLT-ig vannak meg az adatok, de utána sem mehetett nagy valószínűséggel fel 6 fokig)
Takt : 0,8°C
Felh: 8 okta
Szél: gyenge ÉNY
Szign : nem volt
A 24 órás csapadékról valószínűleg holnap tudunk meg valamit, amikor is 24 órás szolgálatban lesz az állomás, mert 5-e óta semmi nincs felrögzítve. Remélhetőleg holnap pótolja…
Tmax: 4,7°C (ugye itt 13 HLT-ig vannak meg az adatok, de utána sem mehetett nagy valószínűséggel fel 6 fokig)
Takt : 0,8°C
Felh: 8 okta
Szél: gyenge ÉNY
Szign : nem volt
A 24 órás csapadékról valószínűleg holnap tudunk meg valamit, amikor is 24 órás szolgálatban lesz az állomás, mert 5-e óta semmi nincs felrögzítve. Remélhetőleg holnap pótolja…
Szerintem töröljük a fordulót, és írjuk ki újra, mindenki jobban jár.
Tmin 0 °C (?)
Tmax +5 °C (?)
Takt +1 °C
Felh 8 okta
Szél gyenge ENY
Szign nem volt
Csap ?
A kérdöjeleseket sem a synopban az ogimeten, sem a METESZ-en nem látom. Tegnap délután adatkimaradás volt, igy alig került ki valami pl. a met.hu-s térképekre is. Valaki belelát...?
Tmax +5 °C (?)
Takt +1 °C
Felh 8 okta
Szél gyenge ENY
Szign nem volt
Csap ?
A kérdöjeleseket sem a synopban az ogimeten, sem a METESZ-en nem látom. Tegnap délután adatkimaradás volt, igy alig került ki valami pl. a met.hu-s térképekre is. Valaki belelát...?
Nekem tetszik 
Az utóbbi 24 óra röviden összefoglalva az állomáson:
13 °C => 0 °C => 12 °C => 0 °C => 4 °C
A hideg, párás, nem átkeveredett levegö felszinközelben ide-oda lötykölödött és többször bekebelezte az állomást. Közben megjött a csapadék is.
Az utóbbi 24 óra röviden összefoglalva az állomáson:
13 °C => 0 °C => 12 °C => 0 °C => 4 °C
A hideg, párás, nem átkeveredett levegö felszinközelben ide-oda lötykölödött és többször bekebelezte az állomást. Közben megjött a csapadék is.
Beszarás! Ilyen hülye helyszínt kijelölve! Rosszabb mint az előző, nem kell gonosznak lenni.

202501070600 AAXX 07061 12815 25/// /3301 10008 21002 39928 40079 52022
333 60005 90710 91103 91003==
Reggel 3 után 10 fokot esett a hőmérséklet cirka 1 óra alatt 12-ről 1,6C-ra. A szél irány nem változott, DNy, de kiderült.
Talán ködmező is érkezett?
Talán ködmező is érkezett?
Elkészült az összefoglaló.
Ez a forduló sem lesz eseménytelen, és bár olyan nagy szórás nincs a tippek között, azért a sok kisebb eltérés is sokra mehet, márpedig az szinte mindenhol van, a hőmérsékletektől kezdve a 7-8 okta felhőzeten és a két különböző csapadékmennyiségen át a szélig.
És persze van 8 esős jelenidős tipp is. 

Alakul a fordulónk 
Volt ma már az állomáson 12,9°C is, csak aztán a délnyugati szél északira fordult és visszatódult talajközelben a hideg, átkeveretlen levegő...
Forrás: Link => 16:10
Volt ma már az állomáson 12,9°C is, csak aztán a délnyugati szél északira fordult és visszatódult talajközelben a hideg, átkeveretlen levegő...

Forrás: Link => 16:10
Utólagos gratula tőlem is mindkettőtöknek, legfőképp a Tmax 0 fokhoz. Ennyi hiányzott nekem első MetNetes állomás győzelmemhez (holtversenyben). Szólhattál volna
Brahi tipp volt a köd és szélcsend, nem kis mák is kellett hozzá. És hogy kerültem az összetett 1. helyre, az külön talány. Na majd Moson!
Köszönöm, de ég a bőr.. mert ez után a forduló után Hófúvásnak és Neked is jár a gratuláció
Szereplésemet nézve asszem kedden minden a helyére kerül
Szereplésemet nézve asszem kedden minden a helyére kerül
Most már sok minden letisztult, szinte.... 
+ Egy megkésett gratuláció Satyának az előző fordulóbeli győzelemhez.
Szerencsére nem mertem kivenni az 1,2-es ködömet 1,0-val az Alpokban vonatozva, ahol a határidőhöz közeledve hol volt net, hol nem, de inkább nem
+ Egy megkésett gratuláció Satyának az előző fordulóbeli győzelemhez.
Szerencsére nem mertem kivenni az 1,2-es ködömet 1,0-val az Alpokban vonatozva, ahol a határidőhöz közeledve hol volt net, hol nem, de inkább nem
Pihenje ki mindenki az újév fáradalmait, és ha már Szolnok nincs, akkor legyen a hozzám "közeli" Mosonmagyaróvár, január 7. napja, reggel 7 (UTC 6), ha lehet.
Kicsit megkésve, de elkészült a januári beosztás. Így jocika8627-től szeretnénk kérni egy helyszínt és egy időpontot.
Beosztás: Link
Beosztás: Link
Köszönöm, vak tyúk is felrepül a tetőre, de azt nem tudom javítani, bár...
Ne mentegetőzz, nagy győzelem volt!
Gratulálok!
Fel is álltam tisztelegni előtted a jakuzzi-tetőre.
Gratulálok!
Fel is álltam tisztelegni előtted a jakuzzi-tetőre.
Köszönöm
Ilyenkor van az, hogy a munkára tudom fogni a győzelmet, ugyanis szombaton el kellett mennem dolgozni, amikor haza értem még eszemben volt, hogy módosítok -jelenidő nincs, enyhébb nappal, felhőzet- de mire eszméltem, már este fél 9 volt.
Úgyhogy néha a rossz dolgok is jól sülnek el
Ilyenkor van az, hogy a munkára tudom fogni a győzelmet, ugyanis szombaton el kellett mennem dolgozni, amikor haza értem még eszemben volt, hogy módosítok -jelenidő nincs, enyhébb nappal, felhőzet- de mire eszméltem, már este fél 9 volt.
Úgyhogy néha a rossz dolgok is jól sülnek el
Mivel csapadék reggelig nem lesz így pontoztam.
Na, de satya, úr, na de kérem! Hát mi ez a forduló győzelem?! Gratulálok!
Forduló: Link
Összetett: Link
14,3 pontos 1,1-et dobtam 8 pontos 1,0-ért.
jocika8627 lesz a következő kiíró, így szeretnénk kérni egy helyszínt és egy időpontot. Ha beosztásos állomást szeretnél választani, akkor januári beosztás este lesz majd.
Választható helyszínek:
Bécs (Wien-Hohe Warte) [11035]
Békéscsaba [12992]
Budapest-Pestszentlőrinc [12843]
Kékestető [12851]
Lomnici-csúcs (Lomnicky Stít) [11930]
Miskolc-Diósgyőr [12772]
Mosonmagyaróvár [12815]
Nagykanizsa [12925]
Paks [12950]
Pécs-Egyetem [38528]
Siófok [metnet-es észlelő]
Zágráb-Maksimir [14240]
Na, de satya, úr, na de kérem! Hát mi ez a forduló győzelem?! Gratulálok!
Forduló: Link
Összetett: Link
14,3 pontos 1,1-et dobtam 8 pontos 1,0-ért.
jocika8627 lesz a következő kiíró, így szeretnénk kérni egy helyszínt és egy időpontot. Ha beosztásos állomást szeretnél választani, akkor januári beosztás este lesz majd.
Választható helyszínek:
Bécs (Wien-Hohe Warte) [11035]
Békéscsaba [12992]
Budapest-Pestszentlőrinc [12843]
Kékestető [12851]
Lomnici-csúcs (Lomnicky Stít) [11930]
Miskolc-Diósgyőr [12772]
Mosonmagyaróvár [12815]
Nagykanizsa [12925]
Paks [12950]
Pécs-Egyetem [38528]
Siófok [metnet-es észlelő]
Zágráb-Maksimir [14240]
Szintén zenész, de szerintem vagyunk így néhányan
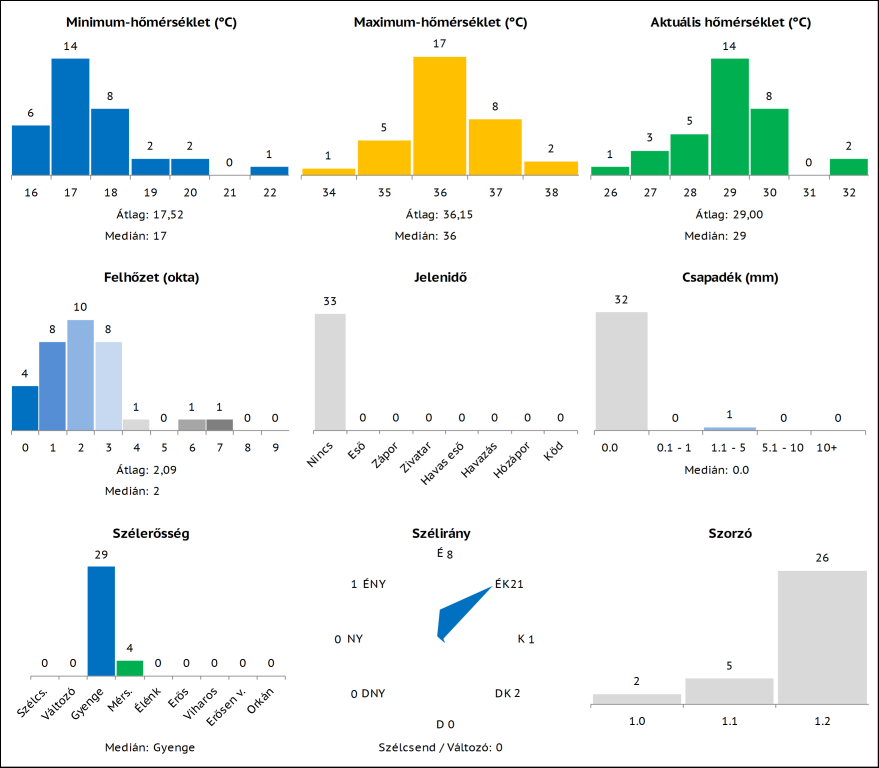
Az előrejelzési verseny aktuális fordulójában leadott adatok a következők:
Tmin: -2 °C
Tmax: 2 °C
Felhőfedettség: 9 okta
Jelenidő: Ködről akkor beszélünk, ha a látástávolság 1000 m alatti.
Hőmérséklet: -2 °C
Szél: gyenge déli
Csapadék: 0.0 mm
Az időtényező értéke: 1.2
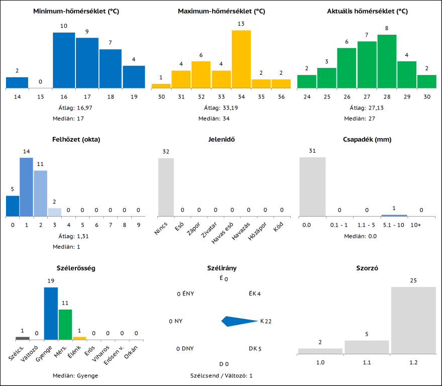
Az előrejelzési verseny aktuális fordulójában leadott adatok a következők:
Tmin: -2 °C
Tmax: 2 °C
Felhőfedettség: 9 okta
Jelenidő: Ködről akkor beszélünk, ha a látástávolság 1000 m alatti.
Hőmérséklet: -2 °C
Szél: gyenge déli
Csapadék: 0.0 mm
Az időtényező értéke: 1.2
Na, legalább a tizedek megkegyelmeztek, ha már a szél nem!
Satyának, Hófúvásnak ez komoly menet lesz!
Satyának, Hófúvásnak ez komoly menet lesz!
Ne aggódj, nem csak te b.... el, nekem is sikerült, második kieső forduló is megvan
T min: -5,7°C
T max: -0,2°C
Itt lehet nézni, ahogy bekebelezte a köd a falut: Link
Ezt az 1,1-es tippet dobtam el:
Tmin: -3 °C
Tmax: 2 °C
Felhőfedettség: 8 okta
Jelenidő: Ködről akkor beszélünk, ha a látástávolság 1000 m alatti.
Hőmérséklet: -1 °C
Szél: gyenge délkeleti
Csapadék: 0.0 mm
Az időtényező értéke: 1.1
Ezért:
Tmin: -5 °C
Tmax: 7 °C
Felhőfedettség: 1 okta
Jelenidő: nincs szignifikáns jelenség
Hőmérséklet: -1 °C
Szél: gyenge délkeleti
Csapadék: 0.0 mm
Az időtényező értéke: 1
Márpedig a köd ott lesz szerintem…
Úgyhogy gratulálok magamnak.
T max: -0,2°C
Itt lehet nézni, ahogy bekebelezte a köd a falut: Link
Ezt az 1,1-es tippet dobtam el:
Tmin: -3 °C
Tmax: 2 °C
Felhőfedettség: 8 okta
Jelenidő: Ködről akkor beszélünk, ha a látástávolság 1000 m alatti.
Hőmérséklet: -1 °C
Szél: gyenge délkeleti
Csapadék: 0.0 mm
Az időtényező értéke: 1.1
Ezért:
Tmin: -5 °C
Tmax: 7 °C
Felhőfedettség: 1 okta
Jelenidő: nincs szignifikáns jelenség
Hőmérséklet: -1 °C
Szél: gyenge délkeleti
Csapadék: 0.0 mm
Az időtényező értéke: 1
Márpedig a köd ott lesz szerintem…
Én úgy tudom, ez az állomás játszik hőmérséklet szempontjából: Link És ezen -5 az alja!
A másik (HungaroMet)-es állomásról úgy tudom, csak a széladatokat vesszük.
Szerk: Ja, most látom, hogy Imi írta, hogy minden adat a HungaroMet-es automatáról jön. Ezek szerint a hőmérséklet is. Kár érte...
"Siófoki fordulósan" gondolkodtam...
A másik (HungaroMet)-es állomásról úgy tudom, csak a széladatokat vesszük.
Szerk: Ja, most látom, hogy Imi írta, hogy minden adat a HungaroMet-es automatáról jön. Ezek szerint a hőmérséklet is. Kár érte...
Hatvan évem alatt ilyet még nem láttam, hogy reggel kisüssön a nap, és délben ködösödik be.
Egyre inlább déli, délkeleti a szél, szóval jó eséllyel a Váli-völgybe is bekúszik majd az itt nálunk, és a Mezőföldön már reggel óta jelen lévő köd. És ilyen áramlás mellett a Vértes, Gerecse torlasztásában ez be is szokott általában ragadni. Pláne egy völgyes helyen. 
Jelenleg -1 fokot látok, még 2 fokot emelkedjen, aztán jöhet a köd.
Jelenleg -1 fokot látok, még 2 fokot emelkedjen, aztán jöhet a köd.
Elkészült az összefoglaló.
Elég szívatós fordulónak néz ki, a ködfelhőzet (vagy inkább annak hiánya) elég rendesen megkavarhatja a dolgokat. Én végül némi hezitálás után bent hagytam az 1.2-es tippemet, hátha legalább estére bejön a köd, és majd a szorzó kompenzál (már ha lesz mit
), de lehet, érdemes lett volna inkább rámennem a módosításra, főként a T-k miatt. 

Átgondoltam, de lecsúsztam a 20 óráról... 
Tmax-ot felvittem volna 1 fokról 6-ra, Tmin-t -4-ről le -5-re.
Na, mindegy. hátha mégis beragad holnap a köd, vagy a stratus (ha egyáltalán kialakul)
Aztán lehet még itt nálunk sem alakul ki (mondjuk egy napos vasárnapot azért adnék)
Tmax-ot felvittem volna 1 fokról 6-ra, Tmin-t -4-ről le -5-re.
Na, mindegy. hátha mégis beragad holnap a köd, vagy a stratus (ha egyáltalán kialakul)
Aztán lehet még itt nálunk sem alakul ki (mondjuk egy napos vasárnapot azért adnék)
Leadtam valamit, de kb mintha bekötött szemmel történt volna az egész.
Nem igazán tudom mi lehet itt vasárnap este 8-kor, de így szép az egész (vagy nem
)
Nem igazán tudom mi lehet itt vasárnap este 8-kor, de így szép az egész (vagy nem
Nekem igen, de az is csak pár percen múlott...
Gonosz kis fordulónak tűnik sok-sok buktatóval... Komolyan, nehezebb, mint a múlt heti csíkszeredai forduló!
Ja, hogy ma van csütörtök.... 
Imi, jmertünk gonoszak lenni, jól ki is b...tunk velem.
Imi, jmertünk gonoszak lenni, jól ki is b...tunk velem.
Persze, hogy 8 után olvasom...
Nem baj, azt senki nem mondta, hogy csak egykettes tipp nyerhet.