Információk az előrejelzési versenyhez
Versenyinformációk
A VERSENYSZABÁLYZATÚj előrejelzés elküldése az előrejelzési versenybe
A legutóbbi forduló eredménye
A verseny összesített állása
A 3 kieső fordulót nem tartalmazó összesített lista
A synop-kódok értelmezéséhez egy kis segítség
Szélirány-meghatározáshoz segítség
Stelvio segítségével megjelenített összesített ranglista
Stelvio segítségével megjelenített örökranglista
Stelvio segítségével megjelenített dicsőséglista
A meteorológiai állomások elhelyezkedése
A meteorológiai állomások beosztása
....és sikerült! Végig arról álmodtam, hogy nem ébredek fel idöben
Gratulálok Papó 
Gondoltam egyedül jobb nyerni, így gyorsan, még határidő előtt eldobtam az egykettesemet
"...Kedves satya !
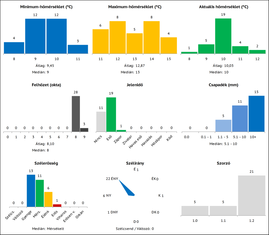
Az előrejelzési verseny aktuális fordulójában leadott adatok a következők:
Tmin: 9 °C
Tmax: 12 °C
Felhőfedettség: 8 okta
Jelenidő: Tartós, többnyire erős csapadékhullás jelentős mennyiségű csapadékkal.
Hőmérséklet: 9 °C
Szél: mérsékelt északnyugati
Csapadék: 10+ mm
Az időtényező értéke: 1.2..."
Eccer élünk
Gondoltam egyedül jobb nyerni, így gyorsan, még határidő előtt eldobtam az egykettesemet
"...Kedves satya !
Az előrejelzési verseny aktuális fordulójában leadott adatok a következők:
Tmin: 9 °C
Tmax: 12 °C
Felhőfedettség: 8 okta
Jelenidő: Tartós, többnyire erős csapadékhullás jelentős mennyiségű csapadékkal.
Hőmérséklet: 9 °C
Szél: mérsékelt északnyugati
Csapadék: 10+ mm
Az időtényező értéke: 1.2..."
Eccer élünk
Köszi, pontoztam, Télember a szélen kívül minden paramétert eltalált és nyert, gratulálok 
Forduló: Link
Összetett: Link
A következő kiíró zseegee lesz, így szeretnénk kérni egy helyszínt és egy időpontot.
Választható helyszínek:
Miskolc-Diósgyőr [12772]
Paks [12950]
Siófok [metnet-es észlelő]
Meteorológiai állomások beosztása: Link
Forduló: Link
Összetett: Link
A következő kiíró zseegee lesz, így szeretnénk kérni egy helyszínt és egy időpontot.
Választható helyszínek:
Miskolc-Diósgyőr [12772]
Paks [12950]
Siófok [metnet-es észlelő]
Meteorológiai állomások beosztása: Link
8 okta
Jelenidö: szitálás
Takt 9 (9,4°C)
Tmin 9 (9,1°C)
Tmax 12 (12.4°C)
Szélcsend
Csap 10+ (25 mm)
A 12 pontos 1.2-esemet sikerült egy 11 pontos 1.0-sra módosítanom. De legalább a csapadék jó lett
Jelenidö: szitálás
Takt 9 (9,4°C)
Tmin 9 (9,1°C)
Tmax 12 (12.4°C)
Szélcsend
Csap 10+ (25 mm)
A 12 pontos 1.2-esemet sikerült egy 11 pontos 1.0-sra módosítanom. De legalább a csapadék jó lett
Pedig a szélcsend is a paklimban volt, azt az előrék korábbra adták, azt hittem hogy 7 óra felé meglódul a szél valamerre, mint ék.-kelet felé. Hát késett mint minden Ic. vonat. Bezzeg majd most 17 felé rázendít a keleti szél Pest környékén.
Talán januárban! (itt a Bakonyalján vannak a legnagyobb hófúvások (innen a nick), gyerekkorom élményeiről tudnék mesélni, tán lesz is egyszer alkalmunk pár korsó sör mellett). A csélcsöndöt azért te sem merted bevállalni! T nem nagyon lő ki, 12.1-nél táborozik éppen. Sovány forduló lett ez.
A te nick neved is mókás, mikor is jön el jelenidőben? (Jan. 10. ?)
Az alattam tippelő Pericoval megosztva bejött a szélcsend= nyugati+keleti gyenge= 0

Az alattam tippelő Pericoval megosztva bejött a szélcsend= nyugati+keleti gyenge= 0
Mókás! Este tippeltem, aztán szinte rá se néztem,, nem is láttam a nagy mennyiségű csapadékot, csak mikor itt megjelentek a tippek, akkor néztem mi is van
Atomi pontossággal tippeltünk, aztán az időjárás döntött egy szitálás és szélcsend mellett Bukta forduló, nem lesz könnyű a kiesőst számolni
Hogy mi mindent figyelembe kellett volna venni. Névre szóló beosztást ismerök elönyben 
A Tmin valóban 9,1°C lett. Erröl módosítottam 10-re, remek
A Tmin valóban 9,1°C lett. Erröl módosítottam 10-re, remek
Ejj, az a fránya szitálás! Persze számíthattam volna rá, hiszen a SZITA Laci ott az észlelő... 
Most nézem, hogy az 1,2-es tippem egy az egyben megegyezik Hófúvás 1,2-esével, ami mellett ö kitartott. Igy most duplán vagy triplán
is számít, hogy bejöjjön a módosításom ebben a bizonytalan idöjárási helyzetben.
Én már eleve 1,1-es szorzóról és 5,1-10 mm-ről indultam, így csak emiatt nem módosítottam 10+ mm-re. Máson meg amúgy sem nagyon akartam volna.
A csapadék vitt rá végül az 1.0-s módosításra, mert a Tmin/Tmax megemelés + a szél gyengítés önmagában még valószínüleg nem lett volna elég ehhez. Viszont az 1,2-es 1,1 - 5 mm-es csapadékom 0 pontot ért volna 10+ mm csapadék esetén, így végül nem tudtam ellenállni a szorzóvesztéssel járó csábításnak
A szombat éjjel / vasárnap hajnal sajnos "elintézheti" a 10 mm alatt tippelőket... Bár ugye láttunk mi már sok mindent...
Elkészült az összefoglaló, végre egy izgalmas forduló.
Bár ahhoz képest a tippek meglehetősen egységesek. Amin állhat vagy bukhat a forduló, hogy lesz-e jelenidő (kisebb eséllyel, de akár be is jöhet valami szemerkélés), leesik-e a 10+ mm csapadék, na meg persze ott van a szél is, ami bizonytalan. 
Gondolkoztam amúgy a módosításon, de aztán úgy voltam vele, hogy hadd szóljon az 1.2-es.
Gondolkoztam amúgy a módosításon, de aztán úgy voltam vele, hogy hadd szóljon az 1.2-es.

Pedig nem olyan nehéz....
Vagy lesz eső vagy nem. Vagy sok lesz vagy nem. Vagy lesz szél vagy nem és vagy hideg lesz vagy nem.
Vagy lesz eső vagy nem. Vagy sok lesz vagy nem. Vagy lesz szél vagy nem és vagy hideg lesz vagy nem.
Holnap reggel hétig egykettes, mivel könnyű fordulónak néz ki, aki egykettessel játszik, hatalmas előnnyel indul
Hát eddig szép volt, de most ez a forduló csúnya bukta lett részemről, ugyanis a tétova kiírás belecsúszott egy elutazásba, ahol térerőt is alig lehetett fogni. Pestimet rettentő veszélyes ellenfél, de nem csak ő!
4-5 fordulóval ezelőtt én is a 20-25. hely környékén tanyáztam, ha jól emlékszem, szóval még nincs veszve semmi!
Lassan esélytelen beverekedjem magam a 20-ba.... nem baj, játék az élet! Azért megpróbálom 
Te viszont szépen vezeted a mezőnyt, le a kalappal!
Te viszont szépen vezeted a mezőnyt, le a kalappal!
A fordulót lepontoztam, amit matyi06 nyert.
Forduló: Link
Összetett: Link
A következő kiíró Blizzard lesz, így szeretnénk kérni egy helyszínt és egy időpontot.
Választható helyszínek:
Budapest-Pestszentlőrinc [12843]
Miskolc-Diósgyőr [12772]
Paks [12950]
Siófok [metnet-es észlelő]
Meteorológiai állomások beosztása: Link
Forduló: Link
Összetett: Link
A következő kiíró Blizzard lesz, így szeretnénk kérni egy helyszínt és egy időpontot.
Választható helyszínek:
Budapest-Pestszentlőrinc [12843]
Miskolc-Diósgyőr [12772]
Paks [12950]
Siófok [metnet-es észlelő]
Meteorológiai állomások beosztása: Link
Na 31,5 fok lett a napi maximum. Mivel már nem fog fentebb menni a T, igy cserélek egy elemet a T és Rh szenzorban, mert elvileg gyenge. Aztán hátha megoldja a szélproblémát.
Úgyhogy nem kell megijedni, ha nagyon magas értékeket láttok.
Úgyhogy nem kell megijedni, ha nagyon magas értékeket láttok.
Jó lenne, ha legalább a kerekített 32 °C még összejönne, de elég neccesnek érzem. Akkor 4 pontot veszítenék a hőmérsékleti paraméterekkel, a többi viszont hibátlan lehet (hacsak nem lesz valami meglepi csapi reggelig).
Imitől az infók:
Tmin: 16,6
Takt: 26,3
Felhőzet: 1 okta
Jelenidő: nincs
Szél: mérsékelt (5 m/s) keleti (96°)
Tmin: 16,6
Takt: 26,3
Felhőzet: 1 okta
Jelenidő: nincs
Szél: mérsékelt (5 m/s) keleti (96°)